Sci论文 - 至繁归于至简,Sci论文网。 设为首页|加入收藏
当前位置:首页 > 教育论文 > 正文

“工程教育专业认证”背景下电气工程及其自动化专业的培养目标综合评价方法论文

发布时间:2021-06-28 10:13:50 文章来源:SCI论文 我要评论














SCI论文(www.lunwensci.com):
 
 Comprehensive Evaluation Method of Training Objectives of Electrical Engineering and Automation

Specialty in the Background of“Engineering Education Professional Certification”

YU Lei, CHEN Liang,HUANG Jun, YANG Xin-hao,GAO Yu ,JI Qing

(School of Mechanical and Electrical Engineering of Soochow University, Suzhou Jiangsu)


Abstract: The major of electrical engineering and automation mainly trains high-quality composite engineers with strong engineering practice ability, innovative ability, and ability to solve complex engineering problems. Under the background of professional certification, the electrical major needs to adapt to social and economic development and school positioning,

construct a talent training and evaluation mechanism based on  the comprehensive calculation method of  rationality evaluation  and achievement evaluation, track the career development of graduates, and adopt the employment units and graduates. The analysis of the comprehensive evaluation results of the two aspects resulted in the comprehensive evaluation results of the talent training program, which greatly improved the quality of talent training.

Key words: Electrical engineering and automation major; Training objectives; Rationality evaluation; Achievement evaluation

一 引言

电气工程及其自动化专业紧跟社会经济发展需求,围绕苏州当地智能制造业的持续快速发展,多年来就业率一直名列前茅。本专业毕业生具有较强的社会竞争优势,除直接到国内外著名大学及科研院所攻读硕士学位继续深造外,大多进入电力、电气、电子、计算机、新能源、通讯、轨道交通、机械、智能制造等涉及国家战略性新兴领域的工作 [1-4,7]。由于本专业注重内涵建设与专业特色建设,学生具有分析理解能力、基础理论和专业知识、创造性思维能力及解决复杂工程问题能力,多年来本专业学生的就业率和就业层次都很高,深受社会欢迎。毕业生工作五年后,大多数可成为企事业单位、科研机构等部门电气工程及其自动化领域以及相关领域从事软硬件研究设计、应用开发、系统维护和技术管理的高级骨干技术人才, 担任复杂工程设计的项目主管或中坚技术骨干,发展前景广阔 [5-10]。

\

二 人才培养方案的综合评价机制

(一) 人才培养方案的合理性评价

本专业人才培养方案的目标的合理性评价机制为:依据数据分析和发放调查问卷回收结果,对本专业本科毕业生各方面数据信息进行调研分析,主要依据本专业人才培养方案的指标完成度与社会经济定位等各个方面的匹配度 [8-12]。通过行业调研、用人单位反馈调查、毕业生反馈调查进行信息收集, 实现对本专业培养目标的合理性评价。通过行业、用人单位的走访调研以及收集的相关反馈调查数据, 表明了本专业人才培养方案的指标完成度与社会经济定位等各个方面的匹配度均很高。

本专业的学院教学指导委员会依据人才培养质量报告及相关的调查问卷,完善教学评价体系,从专业定位和指导思想到师资队伍建设、教学条件建设、专业整体建设、人才培养方案制定与修订等各个环节,进行持续不断的落实和改进,并对学生学习、就业、用人单位反馈意见等方面进行跟踪,以完成学生的培养,实现培养目标。进而改善毕业生的社会评价反馈机制和教学达标方面的匹配度,持续改进教学和修订培养计划,改进人才培养模式,提高人才培养质量。另外,学院依据认证标准,制定了《电气工程及其自动化专业企业调研问卷》和《电气工程及其自动化专业校友调研问卷》,通过电子邮件或快递的方式发送给企业和校友,收集数据,整理反馈信息,了解毕业生们的自我评价和对母校的建议和评价。近几年本专业教师深入多家企事业单位,征求用人单位对本专业毕业生各方面能力的评价指标,主要包括对专业人才培养目标持续改进的建议,对电气专业学生各方面的能力和技能提出建设意见,对电气专业课程体系设置的建议并对学生工程能力方面发展提出建议等, 一方面获取毕业生当前工作状况,另一方面从此途径获知企业对本专业人才的评价信息,进一步对培养目标的达成情况进行衡量和评估。

(二) 人才培养方案的达成度评价

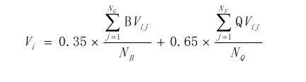
本专业人才培养方案的达成度评价采取五分制,1.0 分表明非常不达标;2.0 分表明不达标;3.0 分表明基本达标;4.0 分表明达标;5.0 分表明非常达标, 每项的分值大于 4 我们就表示达标合理。我们将毕业生和行业企业两类型的问卷按照人才培养方案的五个指标点分别作平均加权值计算,得到:
 
\
 
公式中,BV 表示毕业生方面评价的打分值, QV 表示企业方面评价的打分值;Nb 毕业生评价数, NQ 表示企业评价的数据量。

三 培养目标的综合评价案例分析

验证人才培养方案的目标实现,本专业人才培养小组及教学指导委员会定期地对毕业生尤其毕业五年后的毕业生的社会发展进行跟踪与调查。本专业调研毕业生的各种信息,对人才培养目标体系采取基于合理性评价和达成度评价相结合的计算方法进行综合评价。本文案例选取 2012 届本专业毕业生及用人单位的调查问卷分析。

首先,通过邮箱、函调、问卷和座谈的形式对电气工程及其自动化专业毕业 5 年左右的学生进行了培养目标合理性调查,主要负责人是班主任、辅导员、任课老师等。本次调查针对 2012 年毕业的本专业学生,该专业 2012 届共有毕业生 56 人,收回调查表 53 份,超过毕业生总数的 94.6%。统计结果显示,毕业生对电气工程及其自动化专业各培养目标的合理性评价统计值最小为 4.09,即满足培养目标要求 ( 如表 1 所示 )。分析得出 2012 届本专业毕业生毕业 5 年左右能够具备在电气领域及与其相关的领域的设计方法、设备开发、系统建造和工程管理的技术能力,但在团队合作精神和企业管理方面需要经过不断锻炼逐渐提高这方面的能力。通过对毕业生的反馈可以获取毕业生服务社会状况的资料,以及获知社会对本专业办学水平和办学效果的评价信息。

同时,本专业充分利用每年召开的毕业生招聘会、教师参加的科研教学研讨会等机会,通过电子邮件及问卷的方式发送给企业和校友,整理反馈信息。通过用人单位、招聘单位以函调和座谈的形式对 2012 届电气工程及其自动化毕业生就业单位反馈信息做了合理性调查收回用人单位调查表 25 份(超过毕业生总数的40%)。统计结果显示,行业企业对电气工程及其自动化专业各培养目标的合理性评价统计值最小为 4.19( 如表 2 所示)。结果表明,行业企业对毕业生在学习更新能力,持续学习能力及其全球视野能力等方面评价较高,对解决复杂工程问题能力方面的评价相对较低。因此,通过对行业企业的反馈信息可以不但获取毕业生当前工作状况,而且获知企业对本专业人才的评价信息。

采取达成度评价公式,通过综合毕业生和用人单位两方面的反馈分析计算,形成了培养目标的系统综合分析结论,如表 3 所示。表 1 数据分析得到结论表明,5 个人才培养目标的企业评价和毕业生两个方面的评价打分都是大于 4.0,最小的打分值为4.15。制定的电气专业人才培养方案满足行业需求和学校定位发展,学生毕业五年左右能够具备在电气领域及与其相关的领域的设计方法、设备开发、系统建造和工程管理的技术能力,但在企业管理、团队合作和人文能力等方面需要不断改进,接下来就需要对本专业的人才培养体系进行不断优化调整并进行持续改进。
 本专业培养目标的修订过程可以通过图 1 进行描述。

\

电气工程及其自动化专业每年由校教务部发文启动,依据学院教学指导委员会制定专业培养方案评价与修订实施细则,由专业教学指导委员会对培养目标和课程体系进行全面修订,最后由学院教学委员会交教务部备案及向社会公开并负责执行。本专业教学指导委员会成员包括:专业负责人、系主任、企业专家、骨干课程教师等。针对每年的课程的优化调整,学院领导会定期组织专业教师与企业专家或用人单位开展人才培养讨论会,参加有关专业规范建设的研讨会。首先对“应届毕业生跟踪反馈机制” 进行整定(持续改进),由毕业要求工作小组对应届毕业生进行定量毕业要求达成度评价(每两年一次) 和定性的毕业要求达成度评价(每一年一次),经对比分析后由专业教学指导委员会出具《毕业要求达成度综合评价报告》,并作为毕业要求持续改进的依据。“社会评价机制”处于最外环,每五年左右整定(持续改进)一次。国家经济发展需求、学校专业定位等是制订和改进培养目标的主要依据。通过分析毕业生质量信息数据库与调查问卷,对评价指标体系进行进一步完善,总结社会评价调查经验,改善用人单位和高校的毕业生质量评价制度,从而不断完善毕业生社会评价反馈与教学适应体系以及教学目标达成度,不断完善教学方案和修订培养计划,在培养目标达成度评估的基础上对培养目标进行持续改进人才培养模式,提高人才培养质量。

在培养目标修订工作启动后,在前期通过邮件、电话等方式听取了行业和企业专家对于培养目标修订的部分意见和建议。2016 年 3 月,学院分别召开了电气工程及其自动化专业人才培养与用人单位专题研讨会、专业教学指导委员会会议,邀请了苏州华辰电气有限公司、苏州亚太金属有限公司、江苏苏州大学科技创业园有限公司及苏州工业园区格比机电有限公司等企业专家和部分往届毕业生参加, 提出培养目标修改建议。与会专家就人才培养目标和教学计划展开了热烈讨论,通过专业调研、同行交流,结合培养目标合理性评价结果、毕业要求达成度分析、行业和企业专家意见、用人单位意见调查与反馈及毕业生反馈意见,给出的具体意见如下。

1)企业专家反映学生培养过程中要以学生为中心,教学过程与活动要面向每一位学生,提高学生综合素质的同时需要进一步加强学生的社会主义现代化建设责任感。
2)企业专家反映应明确专业特色,加强学生工程实践能力培养,围绕复杂工程问题开展课程教学和实习实践,培养学生分析问题、解决工程问题能力。
3)企业专家反映应加强学生接受新知识、新技术的意识和能力,具有良好的职业规划意识与职业素养,不断加强对项目管理、组织管理、沟通交流、团队合作等能力。
最终,本专业构建如下的培养目标:能够运用专业知识和工程技能,具有独立发现、研究与解决实际中复杂工程问题的能力;具备企业管理能力, 团队合作能力和人文素质能力;具备在电气领域及与其相关的领域的设计方法、设备开发、系统建造和工程管理的技术能力;具有较强的学习能力和创新能力,以及适应能力;具有全球视野开拓能力, 能适应社会经济发展。

四 总结

电气工程及其自动化专业培养既有实践技能又有理论知识的综合型高素质工程师。本文依靠专业认证背景下的电气专业的地方经济服务和地方智能制造等方面的需求,构造了基于达成度评价和合理性评价综合分析的人才培养评价丰富,不断完善人才培养体系,提高学生就业的核心竞争力与科技创新能力,培养出深受社会欢迎的电气类高级专业技术人才。

参考文献

[1]黄云志 , 张毅 . 面向工程教育专业认证的课程改革与实践 [J]. 电气电子教学学报 ,2018,40(1):25-28.
[2]张家勇 , 张家智 . 新世纪哈佛大学本科生课程改革及启示 [J]. 比较教育研究 ,2006,1:28-33.
[3]许鹏奎 , 虞庐松 . 我国高等工程教育的发展现状、问题及趋势分析[J]. 武汉理工大学学报(社会科学版),2013,26 (4):633-637.
[4]李拓宇 , 李飞 , 陆国栋 . 面向“中国制造 2025”的工程科技人才培养质量提升路径探析 [J]. 高等工程教育研究 , 2015,6:17- 23.
[5]胡敏强 , 程明 , 李扬 . 新形势下电气工程及其自动化专业人才培养模式与知识体系框架 [J]. 电气电子教学学报 ,2003,25(2):44-46.
[6]陈平 . 专业认证理念推进工科专业建设内涵式发展 [J]. 中国大学教学,2014(1):42-47.
[7]任红卫 , 刘美 . 工程教育专业认证背景下培养目标和毕业要求的制定——以广东石油化工学院电气工程及其自动化专业为例 [J]. 教书育人 ( 高教论坛 ),2016 (15):20-21.
[8]刘向荣 , 吴晓洁 . 专业认证导向下我国高校工科专业培养目标设定研究——以我国高水平大学为例 [J]. 河北工业大学学报( 社会科学版 ),2018,10(01):84-89.
[9]张越锋 . 应用型大学的定位及人才培养模式探究 [J]. 教育现代化 ,2019.105:160-162.
[10]陈则王 , 王友仁 . 改革实验教学 , 培养工科研究生工程实践和创新能力 [J]. 电气电子教学学报 ,2003,25(6):109-111.
[11]王孙禺 , 赵自强 , 雷环 . 国家创新之路与高等工程教育改革新进程 [J]. 高等工程教育研究 ,2013(1):14-22.
[12]靳皓,杨仁杰,董桂梅,等 . 浅谈以学生为中心的教育理念在工程教育专业认证中的体现[J]. 教育现代化,2019,101:194- 195.

关注SCI论文创作发表,寻求SCI论文修改润色、SCI论文代发表等服务支撑,请锁定SCI论文网!

文章出自SCI论文网转载请注明出处:https://www.lunwensci.com/jiaoyulunwen/31911.html

发表评论

Sci论文网 - Sci论文发表 - Sci论文修改润色 - Sci论文期刊 - Sci论文代发
Copyright © Sci论文网 版权所有 | SCI论文网手机版 | 鄂ICP备2022005580号-2 | 网站地图xml | 百度地图xml