Sci论文 - 至繁归于至简,Sci论文网。 设为首页|加入收藏
当前位置:首页 > 教育论文 > 正文

《环境化学》远程混合式教学的探索与实践论文

发布时间:2021-07-19 14:35:30 文章来源:SCI论文网 我要评论














SCI论文(www.lunwensci.com):

        摘 要:随着互联网技术的不断发展,高等教育信息化全面推进。混合式教学模式作为一种新型教学模式,具有更好的时间和空间的灵活性,可为远程教育的顺利开展提供新的方案。特别是在新型冠状病毒感染的肺炎疫情期间,全国各高校纷纷响应教育部“停课不停教、停课不停学”的号召,纷纷开展远程线上教学。环境化学是环境类专业的一门专业必修课程。本文探讨了本校环境化学团队在疫情防控期间,基于前期已在超星学习通平台建立的环境化学在线课程资源,与 QQ 群屏幕分享直播相结合的方式,开展环境化学远程混合式教学的探索与实践,以期最大程度地降低突发性公共卫生事件对教学的影响,并进一步提高教学质量和教学效果。

       关键词:环境化学;远程教育;混合式教学

       本文引用格式: 闫钰,于瑞莲,胡恭任, 等 .《环境化学》远程混合式教学的探索与实践 [J]. 教育现代化 ,2020,7(105):11-14.

exploration of the Distance Blending teaching of environmental chemistry course

YAN Yu, YU Ruilian, HU Gongren, LIN Huirong, WENG Bosen, LIU Xianrong

(College of Chemical Engineering, Huaqiao University, Xiamen Fujian)

       Abstract: With the continuous development of Internet technologies, the informationization of higher education is in comprehensive advancement. As a new teaching mode, blending teaching has better flexibility in time and space and can provide    a new scheme for the distance education. Especially, during the special period of COVID-19 epidemic, universities and colleges across China have responded to  the Ministry of  Education’s call for “suspended classes, non-stopped classes” and carried out     the long-distance online teaching. Environmental chemistry is a compulsory course for the majors related to environment. This paper discusses the exploration of the distance blending teaching of environmental chemistry course during epidemic prevention and control by using the superstar learning app and QQ group to minimize the impact of the sudden public health incidents on teaching and further improve the teaching quality and teaching effectiveness.

        Key words: environmental chemistry; distance education; blending teaching

一 引言

       随着互联网技术的迅猛发展,远程教育逐步普及,并引发了远程教育过程中教学方式的变革。特别是一场突如其来的新型冠状病毒感染的肺炎疫情,使得全国上下进入战“疫”模式。为防止疫情在校园蔓延扩散,各高等学校、地方所属院校、中小学校、幼儿园等学校均适当推迟了春季学期开学时间。尽管返校时间推迟,各学校均积极响应教育部“停课不停教、停课不停学”的号召,纷纷组织开展大规模的线上教学 [1-3]。在此疫情防控期间,如何利用不接触式的远程教学模式完成高质量教学,成为了师生双方共同面对的严峻考验。

       环境化学课程是面向环境类专业同学的专业核心课程,针对此课程已有较多的高校开展多种方式的教学改革 [4-7]。由于本课程具有理论性强、学科前沿发展迅速、与实践紧密结合的特点,本校环境化学教学团队依据长期积累的教学经验和成果,积极投身“线上与线下”混合式教学实践,已构建了基于超星学习通的环境化学“线上与线下”混合教学模式 [8,9]。在此疫情期间,教学团队及时调整教学方式,将“线上线下”的混合式教学模式转变为“纯线上”的远程混合式教学模式。因此,本文将对此特殊时期内的环境化学“纯线上”远程混合式教学探索和实践加以总结,最大限度减少突发性公共卫生事件对环境化学教学效果的影响,并以此为契机,进一步推动教学理念、教学内容和教学方法的改革, 不断提升教学质量。
\

二 远程在线教学中存在的主要挑战

      虽然目前互联网络发达,在线教学资源众多, 但远程在线教学仍面临着诸多挑战。以我校环境化学课程教学为例,疫情期间环境化学课程的远程在线教学主要面临着以下几个挑战。

(一) 教学平台选择

       虽然目前已有超星学习通、中国大学 MOOC 和智慧树等诸多在线教学平台,并可采用腾讯会议、ZOOM 和 QQ 群屏幕分享等诸多直播平台,但在疫情初期,各大平台均存在拥堵的现象,部分功能无法正常使用。此外,远程在线教学依赖于师生双方的网络畅通,但在线授课期间,常常会出现部分同学信号较差的现象,无法及时展开互动,因此,选择适当的教学平台保证教学顺利开展就显得尤为重要。

(二) 教学方式选择

       在传统课堂授课中,师生之间可以面对面交流, 任课教师可直接通过同学们的面部表情等直观判断课堂反应,可自如调整教学节奏和进度。而在远程授课期间,为保证网络顺畅,正常授课期间学生端的视频及麦克风处于关闭状态,只有在提问等互动环节中同学们才打开麦克风,任课教师无法随时了解同学们的学习反应。此外,无法面对面交流,也导致课堂纪律较难把控,部分同学在上课期间存在着一心多用的现象,上课的同时还进行着其他活动,影响学习效果。因此,如何在上课期间增加互动环节,充分调动学生积极性成为教学设计中需重点关注的问题。

三  基于超星学习通和 QQ 屏幕分享直播的环境化学远程混合式教学探索

      本校环境化学教学团队在疫情发生之前,已积极推行混合式教学方式,初步建立了基于超星学习通平台的环境化学混合式教学模式。因此,在疫情发生后,本校环境化学教学团队利用已有的在线资源及“线上和线下”的混合式教学经验,进行了基于超星学习通和 QQ 屏幕分享直播的“纯线上”环境化学远程混合式教学探索。本文将分别从自主微课学习、直播翻转课堂和课程保障及考核设计三方面进行阐述。

(一) 自主微课学习

       本校教学团队已拍摄了完整的七个章节(共计72 个知识点)的微课视频,并建立了与此相匹配的题库,可供同学们开展自主的线上学习。鉴于疫情期间,学习平台存在较大的拥堵概率,因此,在此“纯线上”教学设计中,安排三分之一学时,供同学们自由安排时间,自主开展微课学习。具体而言,教学团队每周按时发布学习任务及教学重难点,同学们在学习通平台自由选择时间观看视频并完成相应的测验题,达到预习并掌握其中较易知识的目的。此外,针对视频中尚未理解之处,同学们可在学习通讨论区发起讨论,不仅教师可及时了解到同学们尚未理清的重难点,还可随时引导同学们自由展开讨论,碰撞思维。

(二) 直播翻转课堂

       在正式上课前,已通过问卷调查,确认全班同学均具有至少两台电子设备(手机、平板或电脑),可利用双设备开展翻转课堂学习。因此,除三分之一学时的自主微课学习外,本校环境化学教学团队将剩余的三分之二学时通过超星学习通和 QQ 群屏幕分享相结合的方式开展直播翻转课堂的教学。具体而言,任课教师首先在上课前利用手机端学习通界面,导入授课 PPT 并插入对应的课堂活动(选人、抢答、测验、主题讨论和小组讨论等),形成含互动的完整在线教案。其次在上课期间,将手机端学习通界面的教案在电脑进行投屏后,利用 QQ 群屏幕分享功能对电脑所投屏的界面进行直播,并利用学习通手机端进行遥控, 实现 PPT 翻页、互动活动发布及屏幕板书。与此同时, 学生端可利用双设备进行翻转课堂学习,其中一台设备登录 QQ,用于观看 QQ 群屏幕分享直播和语音讨论回答问题,另一台设备打开学习通,参与互动。在此过程中,任课教师不仅可以向同学们通过 PPT 仔细直播讲解课程的重难点部分,还可随时发起讨论互动, 并可将互动结果及时投屏展示分析,从而深度掌握学生学习动态。在直播课程结束后,教师布置相应的作业,同学们通过作业的完成,进一步巩固学习成效。

(三) 课程保障和考核设计

        由于此种“纯线上”混合式教学较为复杂,需要学生有较好的自觉性和较强的互动参与度,因此其课程保障和考核设计尤为重要。首先,由于居家学习期间,同学们所用学习软件繁多,并面对着除学习外更多的诱惑,学习监督急需加强。除在学习通每周发布学习任务、发起通知并对学习进度缓慢的同学发起预警外,还利用课程学习 QQ 群进行不定期督促,并私聊学习有困难的同学,了解其面临的主要问题,及时帮助解决,跟上学习进度。此外, 尽管随着疫情好转,全国不少高校学生陆续返校, 但由于我校作为“侨校”,大量学生为境外生的实际情况,全校本科非毕业班同学在本学期并未返校, 而进行整学期的远程线上教学,因此结课后的考核也需针对线上特点精细设计。由于在线考核存在监考难等问题,本课程在考核设计方面改变传统以期末闭卷考试为主的方式,提高平时成绩所占比重。在平时成绩考核中,丰富考核形式,将出勤、视频观看情况、在线讨论、课堂讨论汇报、测验和作业情况有机结合,全面考察学生平时学习情况。在期末考试过程中,利用学习通平台人像比对及切屏记录等手段,客观题从题库随机抽题,主观题侧重案例分析论述等方式,遏制作弊行为,确保考核的公平性。

\

四   环境化学远程混合式教学模式成效及问题

      通过对此种远程混合式教学方式一学期的学习数据统计可知,同学们改变了传统课堂以听讲为主的学习方式,自主学习时间大大增加,互动参与度较高。微课视频平均观看时常达到 905 分钟,其中最高为 1825 分钟,表明同学们都能基本完成视频的观看, 并有不少同学反复观看视频,巩固学习效果。在自主线上讨论部分,平均讨论数为 24.2 次,其中最高为51 次。并通过对讨论数与期末成绩进行相关性分析可以发现(图 1),两者之间存在着极显著相关性(R2=  0.58,p  <  0.01),无疑表明,学习积极的同学更易取得较好的成绩,达到较好的学习效果。

\

图 1 在线讨论数与期末考试成绩相关性分析
 
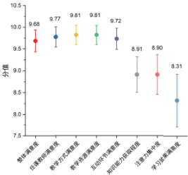
      此外,为了进一步深入了解在此次远程混合式教学过程中学生学习状态,于课程结束后通过问卷星网络问卷调查学生学习行为及教与学的效果。首先通过对多个维度的课程满意度进行调查(图 2,满分为 10分),学生们对课程整体满意度较高,平均分为 9.68 分。此外,针对任课教师、教学方式、教学资源和互动环节, 同学们均表示有较高的满意度,平均分均超过 9.7 分。然而,以学生为主体的学习满意度调查可以发现,学生对此次课程的知识能力获取程度平均分为 8.91 分,注意力集中度平均分为 8.90 分,而学习效果满意度为8.31 分;这表明尽管同学们对教师、教学方式和教学资源等都较为满意,但对于自身的学习效果仍有提高的空间。因此,“纯线上”混合式教学更考验教师的课堂设计,仍坚持以学生为导向,通过丰富案例、增强互动等方式,提高同学们的知识能力获取程度和注意力集中度,充分发挥学生学习的主观能动性。
 
\

图 2 课程满意度调查(满分为 10 分)
 
       进一步对此次远程在线混合式教学的优势进行调查(图 3)。结果发现,学生认为最大的优势集中在可以反复听、不出门、省事省力和较好运用了课前、课中和课后三个环节进行学习。并且接近半数的同学认为可以通过网上痕迹对学习起到有效地监督,约三分之一的同学认为有利于知识和能力的提高,学习起来心理较轻松。

 
\

图 3 远程混合式教学优势(最多选三项)
 
       此外,对本次远程在线混合式教学的劣势同样进行了调查(图 4)。结果发现,同学们认为最为突出的劣势为网络不稳定,影响效果和心情;并且过半数同学认为在远程在线教学过程中,缺少与老师面对面的交流,针对上述问题,教师在授课过程中也有同样的体会,特别是在课程直播过程中,部分同学信号较差, 无法及时开启麦克风回答问题,导致课堂节奏及互动效果受到影响。因此,良好的网络是远程在线开展教学的基础,在今后的混合式教学过程中,仍应保持适当比例的线下教学环境,达到更好的教学效果。
 
\

图 4  远程混合式教学劣势(最多选三项)
 
五 结语

       总之,本校在此次疫情特殊时期,基于超星学习通和 QQ 群屏幕分享直播的环境化学课程远程混合式教学探索与实践中发现,通过课前自主微课学习、课中翻转课程直播和课后作业监督等学习保障,精心组织教学各环节,使同学们不仅可以更为个性化把握学习节奏,还可以充分参与互动,提高学习积极性,保证在疫情期间的学习效果。而在今后的教学过程中,亦可利用此次特殊时期的教学经验,进行后续的持续改进,进一步完善混合式教学模式。

参考文献

[1]朱婉莹, 刘妍. 疫情防控期间生物化学在线课程建设的探索[J]. 基础医学教育 ,2020, 22(04):285-287.
[2]周翔 . 疫情下高校“停课不停学”线上教学可持续发展的探讨[J]. 福建教育学院学报 ,2020, 21(04):75-77.
[3]邱文洪 , 胡承林 , 付艾妮 , 等 . 新冠疫情下地方高校基层教学运行的探索与实践 [J]. 基础医学教育 , 2020,22(04):305-307.
[4]金宏 , 李强 , 吴亚丽 , 等 .《环境化学》课程教学改革与实践研究 [J]. 教育现代化 , 2018,5(39):97-98.
[5]董昆明 , 缪莉 , 周晓见 , 等 . 海洋环境化学研究性教学的教与学探讨 [J]. 教育现代化 ,2016,3(2):147-148.
[6]董洪霞 , 陈熙 , 陈伟华 , 等 . 地方高师院校“环境化学”课程教学实践与改革探讨 [J]. 上饶师范学院学报 , 2020,40(03):52-55.
[7]密丛丛 , 王爱香 , 徐文军 , 等 . 科研助推环境化学课程教学的实践探索 [J]. 教育现代化 , 2019,6(78):33-34.
[8]于瑞莲 , 胡恭任 , 刘贤荣 . 面向环境类本科生的环境化学教学改革探索 [J]. 广东化工 ,2017,44(06):178-179.
[9]闫钰 , 于瑞莲 , 胡恭任 , 等 . 基于超星学习通的环境化学课程混合式教学探索与实践 [J]. 广东化工 , 2019,46(23):116-117.

关注SCI论文创作发表,寻求SCI论文修改润色、SCI论文代发表等服务支撑,请锁定SCI论文网!

文章出自SCI论文网转载请注明出处:https://www.lunwensci.com/jiaoyulunwen/32087.html

发表评论

Sci论文网 - Sci论文发表 - Sci论文修改润色 - Sci论文期刊 - Sci论文代发
Copyright © Sci论文网 版权所有 | SCI论文网手机版 | 鄂ICP备2022005580号-2 | 网站地图xml | 百度地图xml