Sci论文 - 至繁归于至简,Sci论文网。 设为首页|加入收藏
当前位置:首页 > 理工论文 > 正文

气相色谱法测定室内环境中16种挥发性有机物含量的不确定度评定论文

发布时间:2025-01-15 17:06:48 文章来源:SCI论文网 我要评论














  摘要:采用气相色谱法测定室内环境中的16种挥发性有机物(TVOC),识别和评定测试过程中的不确定度。根据不确定来源,对测量重复性引入的不确定度进行A类评定,对采样体积、标准溶液配制、校准曲线拟合引入的不确定度进行B类评定,合成相对标准不确定度及扩展不确定度。经测定,某室内环境中TVOC质量浓度为16.806 mg/m3±2.336 mg/m3,k=2,扩展不确定度为13.9%,校准曲线的拟合是不确定的主要来源。
 
  关键词:不确定度评定,总挥发性有机物,气相色谱法,室内环境
 
  0引言
 
  总挥发性有机物(简称TVOC)是室内环境中常见的污染物,一般指沸点在50~260℃,室温下饱和蒸气压超过133.32 Pa,以蒸汽形式存在的一系列有机物化合物,主要为C6~C16之间的烷烃、苯系物、醛、酮等物质[1-2),具有强烈的刺激性和致癌性,危害人体健康4,室内环境中TVOC的主要来源为木制品板材、油漆涂料、胶黏剂等装饰装修材料”,检测可依据GB50325-2020《民用建筑工程室内环境污染控制标准》*,标准中规定I类建筑TVOC限量不超过0.45 mg/m.本文依据GB 50325-2020附录E,采用热解吸-气相色谱法测定室内环境中TVOC含量,并对测定结果的不确定度进行评定,依据CNAS-GL006-2019《化学分析中不确定度的评估指南》及JJF 1059.1-2019《测量不确定度评定于表示》7,建立数学模型,分析来源,合成标准不确定度及扩展不确定度,为进一步优化检测流程,提高结果限值判定的可靠性提供参考[8·16)。
 
  1验部分
 
  1.1仪器与试剂
 
  气相色谱仪(7890A),Agilent公司;色谱柱,非极性,50 mx 0.32mmx 1.0μm;热解吸仪(MasterTD),DANI公司;老化炉(LAB-TA10B),莱创;大气采样仪(QC-2D),科安劳保;风速气象仪(NK5500),Kestrel公司:Tenax-TA吸附管,填料200mg,北京科安劳保。正己烷、苯、三氯乙烯、甲苯、乙酸丁酯、1-辛烯苯、乙苯、对二甲苯、间二甲苯邻二甲苯苯乙烯正壬烷、异辛醇、正十一烷、正十四烷、正十六烷,16种TVOC混合标准物,1000 mg/L,坛墨质检。
 
  1.2实验条件
 
  热解吸条件:干吹1min,280℃脱附8 min,脱附气流量30 mL/min;阱低温-15℃,阱高温300℃保持4 min,柱流量2.0 mL/min,样品注入量4.9%;取样阀200℃,传输线200℃。气相条件:升温程序50℃保持5 min,以10℃/min升至250℃保持5 min。FID检测器:温度280℃,氢气40 mL/min,空气400mL/min,氮气尾吹10 mL/min.
 
  1.3实验过程
 
  采样:房间密闭1h以上,用吸附管以0.5L/min流量采样20min,记录现场大气压、温度。
 
  检测:样品管经热解吸仪脱附后,用气相色谱仪检测,以保留时间定性,外标法定量,统计正己烷到正十六烷之间化合物总和,未知物以甲苯为参比计算。
 
  2不确定度评定
 
  2.1数学模型
 
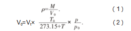
  根据GB 50325-2020附录E,室内环境中TVOC的含量按式(1)、式(2)进行计算:

\
 
       式中:p为样品中TVOC质量浓度mg/m;M为样品中TVOC总和,μg;V为标况体积,L;V为实际体积,L;T为现场温度,℃;T。为标况温度,273.15K;p为现场大气压,kPa;po为标况大气压,101.325kPa。
 
  2.2不确定度来源及识别
 
  由数学模型公式(1)、式(2)可以推断出,测量不确定度主要的主要来源为各TVOC化合物含量的测定、采样体积的计算等相关分量见图1.
 
  TVOC含量测定的不确定度主要来源于三个方面:
 
  1)用热解吸仪脱附气相色谱仪测定等重复性引

\

\
\

\
 

文章出自SCI论文网转载请注明出处:https://www.lunwensci.com/ligonglunwen/80812.html

发表评论

Sci论文网 - Sci论文发表 - Sci论文修改润色 - Sci论文期刊 - Sci论文代发
Copyright © Sci论文网 版权所有 | SCI论文网手机版 | 鄂ICP备2022005580号-2 | 网站地图xml | 百度地图xml