Sci论文 - 至繁归于至简,Sci论文网。 设为首页|加入收藏
当前位置:首页 > 理工论文 > 正文

水中总磷的测定及不确定度评定论文

发布时间:2024-07-03 09:21:35 文章来源:SCI论文网 我要评论














SCI论文(www.lunwensci.com):

  摘要:目的:测量水样中总磷含量并进行评定。方法:采用钼酸铵分光光度法进行测定,通过测量的重复性、标准溶液的配制和标准曲线的拟合等分量对测量中影响水样总磷含量结果的不确定度因素进行评定。结果:水样中总磷质量浓度的扩展不确定度为0.027 mg/L,总磷质量浓度为0.350 mg/L±0.027 mg/L。结论:标准溶液配制引入的不确定度为影响不确定度的主要因素,水样单从总磷质量浓度来看为Ⅳ类水质。

  关键词:总磷;不确定度;分光光度法

  0引言

  测量误差按照性质分为系统误差和偶然误差,但两者在评定和量化方法上不一致,故在进行分析结果评定时,误差难以作为测量时统一的可信度指标。现代计量科学与企业质量管理更多采用测量不确定度作为实验数据客观性和有效性的衡量指标[1-2]。

  磷是生物生长的必需元素之一,但当水中磷含量过高时,可造成藻类的过度繁殖,水体富营养化,水的透明度降低,对鱼虾类水中生物产生毒害。太湖流域气候四季分明,雨水较为丰沛,热量充裕,总磷浓度趋势呈由西北至东南先增大后减小,流域中部浓度较高,整体水质在不同水域和不同时段介于Ⅱ类至Ⅳ类之间[3]。水中总磷的检验检测方法有钼酸铵分光光度法、ICP-AES法、流动注射分析-分光光度法、离子色谱法以及ICP-MS等。本实验采用钼酸铵分光光度法测定太湖水体某次送检水样中的总磷含量,同时为了确保水中总磷的测定结果的准确程度符合标准实验室计量要求,实验还进行了不确定度的评价。

  1实验方法

  1.1仪器


  本实验采用上海仪电分析仪器有限公司生产的L5型紫外可见分光光度计作为测量仪器。

  1.2实验方法

  本实验的前处理过程,实验流程采用水中总磷含量测定的推荐性国家标准GB/T 11893—1989中的钼酸铵分光光度法进行测定。

  实验环境条件为25.94℃。

  1.3实验原理

  在酸碱度为中性的情况下用过硫酸钾来消解水样,将水样中的其他价态的磷氧转化为正磷酸盐。调节溶液使其呈酸性,此时正磷酸盐与钼酸铵反应,在有锑盐存在的情况下可生成磷钼杂多酸,迅速使用抗坏血酸还原磷钼杂多酸,生成的蓝色配合物可于700nm最大吸收波长处测定吸光度,在一定的浓度范围内磷的含量的高低与吸光度的大小成正比[4]。

  2实验结果

  2.1标准溶液配制


  总磷标准溶液:本次实验采用北京坛墨质检科技有限公司提供的标准物质配制的总磷标准溶液,标准编号:GBW(E)083181a-1,批号:B1912087,质量浓度:0.100 g/L,不确定度:0.03(k=2)。

  总磷标准工作溶液:选择A级2 mL吸量管移取2 mL标准磷酸盐溶液于A级100 mL容量瓶中,定容至刻度线,摇匀备用。磷酸盐溶液质量浓度为2.00μg/mL。

  其他试剂均为符合国家标准的分析纯试剂。

  2.2标准曲线及标准回归方程

  在7个50 mL比色管中分别加入2.00μg/mL的磷酸盐标准溶液0.00、0.50、1.00、3.00、5.00、10.00、15.00 mL,加水至25.00 mL。再分别移取4.00 mL过硫酸钾溶液于各比色管中,用布和丝线将比色管盖固定后,置于大烧杯中,调节使得温度为120℃,压力值为0.107 8 MPa,在高压釜中加热消化样品,消化时间为30 min。消化完成后,冷却消化液至室温。用1 mL吸量管向各比色管中分别移取1 mL抗坏血酸并混和均匀,30 s后再分别向各比色管中加入2 mL钼酸盐溶液,摇匀后定容,室温下放置15 min。最大吸收波长为700 nm,用3 cm比色皿,以水作参比,测定各色阶的吸光度[4]。以总磷质量为横坐标,吸光度为纵坐标,绘制标准曲线,此标准系列总磷质量分别为0.00、1.00、2.00、6.00、10.0、20.0、30.0μg。结果见表1、图1。

水中总磷的测定及不确定度评定论文

水中总磷的测定及不确定度评定论文

  回归方程:y=0.032 0x-0.002 7,r=0.999 9。

  2.3样品测定

  用10 mL移液管向250 mL容量瓶中移取10.0 mL待测样品并定容。采用步骤2.2中的实验方法测量各浓度阶梯的吸光度,样本容量为6,表2为以标准曲线法进行数据处理所得实验结果。统计处理表明平行测定结果可靠,实验结果以平均值表示。

水中总磷的测定及不确定度评定论文

       样品中总磷的质量浓度以式(1)进行计算:

水中总磷的测定及不确定度评定论文

  式中:ρ为样品中总磷质量浓度;a为截距;b为斜率;f表示稀释倍数;A为溶液吸光度;KB为空白值;V为测定取用体积。

  3不确定度各组成分量的评定

  3.1水样平行检测引起的不确定度u1的评定(分类归为A类分量)

水中总磷的测定及不确定度评定论文

  3.2配制磷标准液的不确定分量u2的评定

  3.2.1磷标准液的不确定度u2.1的评定


  磷标准液的不确定度采用北京坛墨质检科技有限公司提供的数值经过还原后可直接进行计算。u2.1=1.5%。

  3.2.2 2 mL A级吸量管容积所引起的标准不确定分量u2.2的评定

  引起玻璃仪器不确定度的因素主要由三部分构成:一是玻璃仪器制造时的实际容积和标称容积的允许误差引起的校准不确定度;二是进行测量读数时由于估读的不确定性引起的的不确定度;三是玻璃仪器和待测溶液的测定温度和仪器的铭牌温度不同而导致的不确定度,通常情况下液体容积的变化受温度的变化影响较大,故一般只需考虑待测溶液温度变化而导致的不确定度[5]。

  2 mL A级吸量管的容积检校准误差属于B类不确定度,由于吸量管容积仪器本身的误差为±0.010 mL,通过三角分布可得到标准偏差。0.010 mL÷■6=0.004 08 mL。

  吸量管在盛满液体至标线进行估读时,平行测定10次的标准差为0.01 mL(服从均匀分布,k值大小取■3),则估读变动不确定度大小为0.010 mL÷■3=0.005 78 mL。

  吸量管和待测液体的实际温度与校正时温度不同所引起的容积不确定度,当置信概率为0.95时,容积变化范围为=24.78×10-4 mL,也就是标准偏差为1.26×10-3。

  通过上面3项合成可得不确定度为0.007 19 mL。

  3.2.3 100 mL A级容量瓶的不确定分量u2.3的评定

  100 mL容量瓶的容积校准属于B类不确定度,由于容量瓶的容积允许误差为±0.10 mL,转换成标准偏差为0.040 8 mL。

  容量瓶在盛满液体至标线进行估读时,重复2次测量的极差大小为0.03 mL,故估读变动不确定性为0.026 5 mL(n=2时极差系数取值为1.13)

  容量瓶和待测液体的实际温度与校正时温度不同所引起的容积不确定度为0.123 9 mL,即标准偏差为0.063 2 mL。

  通过以上3项合成可得不确定度为0.113 mL。故相对不确定度为:u2.3=1.33×10-3 mL。

  根据溶液本身、吸量管以及容量瓶的不确定性可得进行磷标准液配制时的不确定度结果如下:u2=■u2.12+u2.22+u2.32=0.038 9 mL。

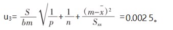
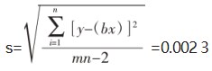
  3.3标准工作曲线拟合所引起的不确定度分量u3的评定

  标准工作曲线拟合的不确定度主要包括工作曲线标准差、浓度差方和以及样品测定数据处理。

  标准差s的大小为:

水中总磷的测定及不确定度评定论文

  浓度差方和的不确定度为:

水中总磷的测定及不确定度评定论文

  样品数据值处理的不确定度为:

水中总磷的测定及不确定度评定论文

  3.4仪器示值误差不确定度u4的评定

  本次实验重复测定6次,分光光度计重复测量的不确定度已归集于平行测定之中,不再另行计算。

  3.5合成不确定度的评定

  根据以上结果可得合成不确定度uc=√u12+u22+u32=0.039。

  3.6扩展不确定度的评定

  包含因子K取值2,故扩展不确定度大小为:U=kuc=2×0.039=7.8%。

  综上,本次不确定度评定的结果如表3:

水中总磷的测定及不确定度评定论文

  4结论

  本次测量的水样中总磷含量的扩展不确定度为0.027 mg/L,因此水样中总磷质量浓度为0.350 mg/L±0.027 mg/L。根据《地面水环境质量标准》(GB 3838—2002),本次测定的水样单从总磷含量来看为Ⅳ类水质。究其原因,可能与本次测定水样的取样时间处于春季有关,由于取样点附近农田密布,养殖业兴旺,春季施肥和生活污水排放进河流会导致水中含磷量增加,需要关注污染排放问题。在影响不确定度的因素中,标准溶液配制引起的不确定度为主要因素,需关注溶液配制过程中的各种影响因素,控制并修正测定条件,使实验设计方案更加合理可靠,实验数据更具有客观性和有效性,满足第三方检测的公平公正合规要求。

  参考文献

  [1]国家质量监督检验检疫总局.测量不确定度评定与表示:JJF 1059.1—2012[S].北京:中国计量出版社,2012.

  [2]陈一虎,周伟.水质氨氮的分光光度法测定及不确定度评定[J].河南科技,2022(9):85-88.

  [3]陈禹.江苏省太湖流域总磷时空变化[J].南京工业大学学报,2022(5):344-348.

  [4]环境保护部.水质总磷的测定钼酸铵分光光度法:GB/T 11893—1989[S].北京:中国环境科学出版社,1990.

  [5]国家质量技术监督检验检疫总局.常用玻璃量器:JJG 196-2006[S].北京:中国计量出版社,2007.

关注SCI论文创作发表,寻求SCI论文修改润色、SCI论文代发表等服务支撑,请锁定SCI论文网!
文章出自SCI论文网转载请注明出处:https://www.lunwensci.com/ligonglunwen/77860.html

发表评论

Sci论文网 - Sci论文发表 - Sci论文修改润色 - Sci论文期刊 - Sci论文代发
Copyright © Sci论文网 版权所有 | SCI论文网手机版 | 鄂ICP备2022005580号-2 | 网站地图xml | 百度地图xml