SCI论文(www.lunwensci.com):
摘要:培养学生的思维能力,是数学教学的核心任务.在高考数学三个常规轮次的复习中,一线教师较难把握的是二轮复习,因为它是学生突破能力瓶颈,从而实现“思维进阶”的关键时期.基于此,本文结合高考二轮复习中的一些教学案例,从增进发散和聚合思维融合、增强逆向思维训练、跳出思维定式和培养创新思维三个方面进行分析,阐述二轮复习策略.
关键词:二轮复习;发散思维;聚合思维;逆向思维;微专题;创新思维
随着高考改革的深入,高考试题已由“解答试题”转向“解决问题”.“解决问题”的关键在于思维.在高中数学一轮复习中,大多数教师都是根据知识体系进行教学,以知识框架掩盖学生思维发展框架的现象较为普遍,以思维为主线的教学往往处于低水平状态.大部分学生虽然初步建立了知识体系,但不能完全建立知识间的纵横联系.二轮复习则起着承上启下的作用,是学生形成系统化、条理化知识的重要时期,也是促进他们内化知识、并不断提升知识迁移能力、阅读能力、分析问题和解决问题能力的关键期.因此,在二轮复习中,促进学生的思维方式、思维结构、思维品质向高层次发展,实现思维能力的进阶,是提高数学学习力、理解力和应用力的可行路径.
1体系重建,方法重构,增进聚合与发散思维融合
聚合性的思维是从已有的知识储备和经验之中找到能够解决问题的有一定方向性、条理性的一种思维方式,它可以让我们对所掌握的知识、方法得以巩固.而发散性的思维则是针对同一个问题从不同的途径和角度来进行假设、探究和分析.
在二轮复习中,我们可以引导学生在解决问题的过程中对一轮复习中的核心概念、思想方法再次进行提炼,“聚合”成完备的知识、方法体系,再对问题的解法、结果进行发散思考,增进聚合与发散思维融合.笔者在二轮复习中,以下题为例对学生进行知识、方法和思维的聚合与发散.
例1①tanB=2tanC,②3b2-a2=12,③bcosC=2ccosB三个条件中任选一个,补充在下面问题中的横线上,并解决该问题.
问题:已知△ABC的内角A,B,C及其对边a,b,c,若c=2,且满足.求△ABC的面积的最大值.
笔者请学生继续思考:①或③转化为sinBcosC
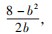
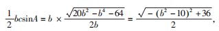
=2 sinCcosB后一定要转化到②吗?是不是我们对这个等式的结构分析不到位?学生马上发现这个等式的结构与sin(B±C)的展开式有关,再考虑到三角形中sinA=sin(B+C)=sinBcosC+cosBsinC,就会将此等式等价变形为:sinBcosC+cosBsinC=3 sinCcosB,即:sinA=3 sinCcosB,从而得到:a=3 ccosB=6 cosB.因此,S△ABC=
acsinB=asinB=6 sinBcosB=3 sin2B.易知,当B=
时△ABC面积取得最大值3.
随后,笔者引导学生跳出三角恒等变换与解三角形这一知识模块,向其它模块迁移.先请学生继续思考:本题的所有已知条件其实就是“c=2,且3 b2-a2=12”.这两个条件是不是说明此三角形隐藏了某种几何特征?
为此,笔者先引例铺垫:△ABC中,c=2,且①b=2a(或者②b+a=2c),求△ABC的面积的最大值.学生简单作图后发现,△ABC的几何特征是“顶点A、B固定,顶点C是动点,它与定点A、B的距离之比(和)为定值”,于是很快得出“三角形的顶点C在圆(椭圆)上”.此时,他们的思维也逐渐发散开来,开始猜想—这“隐藏的几何特征”虽然不能直接看出,但可以通过“坐标法”求出.于是,以AB所在直线为x轴、AB的中垂线为y轴建立平面直角坐标系,易知顶点C(x,y)满足:3[(x+1)2+y2]-[(x-1)2+y2]=12,化简得:(x+2)2+y2=9.显然,当顶点C运动至点(-2,,3)处时,△ABC面积取得最大值3.
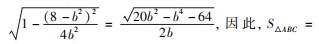
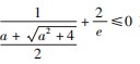
笔者趁热打铁,继续追问:可否尝试直接用①中的两角的正切之间的关系解决问题?此时,学生心中的疑惑集中在:如何作图体现此三角形的几何特征—“一个角的正切是另一个角的正切的2倍”?笔者引导学生发现这两角有公共边BC后,学生想到—将他们都放入直角三角形中,那么正切之比可能是直角边之比.于是,过A作边BC的高AD来构造直角三角形,就会发现DC=2BD.设BD=x,
则:
所以,当且仅当x2=2时,△ABC面积取得最大值3.这样,学生在探寻不同的解决方案的过程中,知识体系、思想方法得以完善,更重要的是,思维在聚合—发散—聚合中得以锻炼.
2执果索因,反向思考,增强逆向思维训练
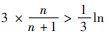
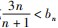
逆向思维是在研究问题时从反面观察事物,做与习惯性的思维方向完全相反的探索.在中学数学教学中,无论是逆运算和逆定理,还是反例法、反证法、分析法等,逆向思维的思想无处不在,可以说逆向思维是贯穿整个中学阶段的一种重要思维方式.下面笔者例举一个数列放缩与函数相结合问题来说明逆向思维的运用.
3跳出常规,消除“思维定式”,升华“微专题”的应用,培养创新思维
“微专题”是从具体考点开始研究,将其所涉及的基本概念、原理、解题方法通过题组形式呈现,它能帮助学生内化知识,掌握解决此类问题的“通法”.但是,它的双重性在于:它既可能启发学生总结规律,也可能导致僵化的思维:因为学生仅仅获得熟悉情景下的数学问题的解决能力,却无法自主分析和解决新情景下的数学问题.
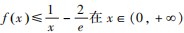
例3已知函数

若关于x的不等式

上恒成立,
求a的取值范围.

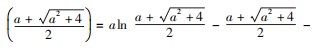
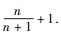
难以求解.此时,学生再无思路.笔者引导学生思考:我们真正需要的是什么?是g(x)的最大值!一定要通过x0与a的关系式“-x0 2+ax0+1=0”将x0消去、从而将gmax(x)表示成关于a的函数吗?学生开始尝试先消去a,由a=x0
.笔者再引导学生思考:用此不等式求的是x0的取值范围,这与我们的目标—求a的取值范围是否矛盾?学生已能自信回答:可先求出x0的取值范围,再由
求出a的取值范围!接下来,学生构造函数
顺利解出
从而得到a的取值范围为
至此,学生开始反思—求解不顺的原因是定式思维:一定要将gmax(x)≤0表示成关于a的不等式.当然,被它束缚的也许还有老师们.我们更应该反思我们的教学—学生不能只会机械套用公式、解法而不懂它的来龙去脉.我们为学生设计的各种专题和题组训练,要尽量一题多变,在实现知识、方法迁移的同时,帮助学生完善思维能力、从而提高学科素养.
总之,“数学是思维的体操”.虽然高考改革、生情的变化、教学资源的差异,都会使二轮复习的策略随之改变.促进学生思维良性发展,既是我们数学课堂教学的灵魂,也是保证复习效率的关键.坚持以思维进阶为导向来实施教学,不仅仅是培养学生解决数学问题的能力,更是通过数学思维训练,帮助学生形成良好的思考习惯和多元思维能力,从而提升创新思维能力,使其成为具有终身学习能力的人.
参考文献:
[1]德夫林.数学思维导论:学会像数学家一样思考[M].北京:人民邮电出版社,2016.
[2]教育部考试中心.中国高考评价体系[M].北京:人民教育出版社,2019.
[3]史宁中.数学的基本思想与教学[M].北京:商务印书馆,2018.
[4]祝进.浅议发散性思维与聚合性思维的培养[J].中学教育,2016(11):34.
[5]简志鹏.高中数学总复习中的思维训练[J].考试周刊,2015(49):48.
[6]唐郁文.“微专题”课型在高考数学二轮复习中的实践与思考[J].中学数学研究,2019(6):26-27.
[7]郝结红,钱健,张登林.基于思维品质的高阶思维进阶教学[J].中小学数学,2021(5):1-3.
关注SCI论文创作发表,寻求SCI论文修改润色、SCI论文代发表等服务支撑,请锁定SCI论文网!
文章出自SCI论文网转载请注明出处:https://www.lunwensci.com/jiaoyulunwen/47170.html