Sci论文 - 至繁归于至简,Sci论文网。 设为首页|加入收藏
当前位置:首页 > 教育论文 > 正文

浅谈大学物理中伯努利方程的课程设计论文

发布时间:2020-05-19 15:02:18 文章来源:SCI论文网 我要评论














SCI论文(www.lunwensci.com):

摘要:伯努利方程是大学物理中流体力学的基本方程,也是教学中的重点和难点。为了提高学生的学习兴趣与课堂思考能力,本文首先以一个简单的实验为切入点,引出伯努利方程,并且介绍了伯努利方程的应用。本课程的设计增强了学生独立思考的能力,取得了较好的教学成果。

关键词:大学物理;伯努利方程;课程设计

本文引用格式:周清晓.浅谈大学物理中伯努利方程的课程设计[J].教育现代化,2019,6(62):256-258.

The Course Design of Bernoulli Equation in College Physics

ZHOU Qing-xiao

(College of Physics and Engineering,Henan University of Science and Technology,Luoyang)

Abstract:Bernoulli equation is the basic equation of fluid mechanics in University physics,and it is also a key and difficult point in teaching.In order to improve students’interest in learning and thinking ability in class,this paper introduced Bernoulli equation from a simple experiment and its application.The design of this course could enhance the ability of students to thinkindependently and achieve good teaching results.

Key words:College physics;Bernoulli equation;Course design

伯努利方程是大学物理中流体力学基础章节的核心内容,而大学物理又是大学中理工科专业的必修课。一些同学在高中时期或多或少学习了一些伯努利方程的内容,在大学物理教学中,更注重方程的推导过程与思想,同时多介绍生活与科技中伯努利方程的应用,以激发学生独立思考,增加学生对大学物理的学习兴趣。本文主要介绍在教授伯努利方程这一节内容时,对课程的设计以及讲解内容,为同行提供参考。首先我们演示一个小实验,通过让学生观察实验结果,思考实验原理;其次,讲解伯努利方程的推导过程,让学生领会其中的物理思想与思维;最后联系生活与科技,介绍伯努利方程的应用,调动学生的主观能动性,能够把所学的物理知识联系实际生活[1]。

一 教学流程

(一) 实验演示


实验室物理学的基础,通过对实验现象的观察、分析,加深对物理知识的理解与掌握。讲课时,首先在讲台做一个乒乓球的悬浮实验来演示伯努利效应[2,3]。实验装置的简化图如图1所示,实验器材是一个漏斗和一个乒乓球,仪器简单有益于学生自己在课下重复实验。整个实验流程分为两步,首先把乒乓球放在较为粗糙的硬纸板上,其次把漏斗放在乒乓球上空,对漏斗的狭小空间内吹气。结果发现,乒乓球离开硬纸板,被吸附在漏斗的锥形区域内。教师演示这个实验之后,请两到三位学生上来重复这个实验,调动学生的积极性。学生在看到乒乓球旋转悬浮在纸板之上,会感到十分惊奇,此时已经充分调动了学生的好奇心,接下来让学生带着问题开始学习伯努利方程的内容。


\

(二) 伯努利方程

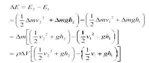
伯努利方程是由瑞士物理学家伯努利1738年提出来的,是理想流体做定常流动时的动力学基本规律,它反映了理想液体作稳定流动时,压强、流速和高度三者之间的关系。接下来我们利用功能原理来推导这一方程[4]。如图2所示,在作定常流动的理想流体中,我们任意选一个细流管,假设在某个时刻t,流管中一段流体所处的位置为a1a2,在a1、a2处流管的横截面积分别为△S1、△S2,流速分别为v1、v2,高度分别为h1、h2,压强分别为p1和p2,经过很短的时间△t,这段流体运动至位置b1b2。我们先来研究这段流体从a1a2运动至b1b2时的机械能变化。由于选取的研究对象是在作定常流动的理想流体,所以流体的压强、密度、流速等物理量不随时间发生变化,因此从图中我们可以得到b1a2段的流体在运动状态在流动过程中没有变化,我们只需考虑a1b1和a2b2两段流体的机械能变化即可,用E1和E2来分别表示这两段流体的机械能。



\


由之前学过的连续性方程可知,a1b1和a2b2两段流体的质量、体积、和密度均相等,我们可以分别设为△m、△V和ρ,则这两段流体的机械能增量可表示为


\

 
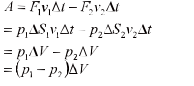
在流体流动的过程中,前方的推力 F1 作正功,后方的阻力 F2 做负功,所以在 a1a2 流体运动至 b1b2的过程中,外力的总功可表示为



\


\


(三) 伯努利方程的应用

伯努利方程只适用于理想液体做稳定流动的情况。对于黏性较小的水、乙醇等液体或流动中密度变化很小的气体,当它们作稳定流动时,伯努利方程仍近似成立。伯努利方程在水利、造船、航空等领域有着广泛的应用,下面我们举几个生活中常见的例子加以说明[5,6]。

(1)火车站台的两米线

在火车站台上,都会在距离火车轨道两米处的站台上,刷上一条长长的黄色警示线,每当有列车即将进站的时候,车站里总是会广播:列车即将进站,请候车的旅客不要越过地面黄色的警示线。同时,地面的执勤人员也会提醒乘客不要越过警示线。这是什么原因呢?我们可以通过伯努利方程来分析。通常列车通过车站或者进站的时候速度比较快,前行速度较大的列车会带动周围空气快速的流动。这时,我们可以选取一个水平流管,根据(2)式,可知速度大的地方压强小,速度小的地方压强大。站台上的空气流速与车厢附近的空气流速相比较小,压强就较大,这样在人体的两侧会产生一个压力差,好比存在一个将人推向列车的推力。这是非常危险的情况,很容易发生意外,因此在站台候车的旅客要站在两米安全线以外。

\

 
(2)船吸现象

1912年秋天,“奥林匹克”号正在大海上航行,在距离100米处,有一艘比它小得多的铁甲巡洋舰“豪克”号正在向前疾驶,两艘船似乎在比赛,彼此靠的很近平行着驶向前方。忽然,正在疾驶中的“豪克”号好像被大船吸引似地,一点也不服从舵手的操纵,竟一头向“奥林匹克”号闯去,酿成一件重大海难事故。在水上航行的两艘船,航行期间不能距离太近并行,很容易发生相撞。我们可以根据伯努利方程来分析原因。根据学过的连续性原理,两船之间的水流截面积减小,流速加快。在垂直于船行方向上,两船之间与外侧水流速度存在差值,根据伯努利方程速大压小的结论,可得知两船的外侧压力大于内侧的压力,就好像存在压力使得两船向一齐靠拢,最终发生相撞。

(3)大风掀起屋顶

著名的诗人杜甫有一首诗《茅屋为秋风所破歌》中有一句:“八月秋高风怒号,卷我屋上三重茅”。在风大打的时候,房屋的屋顶被风吹走,这其中也蕴含着伯努利方程的知识。曾有新闻报道,2013年7月江苏省高邮市遭遇龙卷风袭击,大量的房屋屋顶被风吹走。我们来思考一下怎么来解释这种现象。当暴风来袭时,空气的流速非常大,甚至可以达到200km/s或者更大,而屋内的空气流速可以近似的看成零。根据伯努利方程,速度大处压强小,可以得知屋顶外的压强远远小于屋内的压强,当屋顶内外压强差达到一定程度时,就会把屋顶掀翻。


\


(4)“香蕉球”原理

香蕉球又称为弧线球,指运动员运用脚法,踢出球后并使球在空中向前作弧线运行的踢球技术。香蕉球常用于攻方在对方禁区附近获得直接任意球时,利用其弧线运行状态,避开人墙直接射门得分。英国著名的足球运动员贝克汉姆在2002年世界杯预选赛,对希腊一战中最后一分钟以一脚香蕉球闻名于世界。我们仔细观察足球的运动状态会发现,足球在前进的过程中在不停的旋转。,当足球转动时,四周的空气会被足球带动,形成旋风式的流动。足球的两侧,一侧是逆风行驶,另一侧则是顺风,从而造成了足球两侧的空气流速有一定的差值,我们根据伯努利方程可知,有速度差存在,足球的两侧就存在着压强差。足球在前行的过程中同时也会受到朝一侧放入推力,从而行驶出类似于香蕉形状的弧线轨迹。



\

二 总结

伯努利方程是大学物理流体力学章节中的重点,也是学生学习的难点。本课程设计的教学过程,以一个实验为开端引起了学生的学习兴趣和疑问,从而根据功能原理推导出伯努利方程。最后基于伯努利方程,解释生活中常见的几个现象。既加深了学生的理解,又提高了学生知识应用的能力。希望本课程的讨论,为其他老师在讲解伯努利方程时,提供一些课程设计的思路与参考。

参考文献

[1]张志颖,付申成.浅谈大学物理教学中存在的问题[J].长春理工大学学报,2007,20(1):71-72.
[2]李海宝,姜洪喜,张琳,等.一例关于伯努利方程知识点的教学案例[J].物理与工程,2015,25(1):61-64.
[3]孟庆昌,邓辉,王冲,等.问题导入式教学法在流线伯努利方程讲授中的应用[J].力学与实践,2019,41(1):98-103.
[4]张庆国,陈庆东.普通物理学[M].中国农业出版社,2011.
[5]何云兵,兰善红,等.浅析伯努利方程的应用[J].山东化工,2015,44(11):81-82.
[6]吴明眼.伯努利方程原理及其应用[J].信息记录材料,2018,19(9):115-117.


关注SCI论文创作发表,寻求SCI论文修改润色、SCI论文代发表等服务支撑,请锁定SCI论文网!
文章出自SCI论文网转载请注明出处:https://www.lunwensci.com/jiaoyulunwen/16097.html

发表评论

Sci论文网 - Sci论文发表 - Sci论文修改润色 - Sci论文期刊 - Sci论文代发
Copyright © Sci论文网 版权所有 | SCI论文网手机版 | 鄂ICP备2022005580号-2 | 网站地图xml | 百度地图xml