Sci论文 - 至繁归于至简,Sci论文网。 设为首页|加入收藏
当前位置:首页 > 理工论文 > 正文

有机胺吸收与解吸 CO2 的变化过程分析研究论文

发布时间:2024-07-05 09:48:09 文章来源:SCI论文网 我要评论














SCI论文(www.lunwensci.com):

  摘要:随着化石燃料的频繁使用,CO 2浓度持续增长。为研究有机胺吸收和解吸CO2的变化过程,以有机胺羟乙基乙二胺和四乙烯五胺为研究对象,以介孔分子筛材料为吸收剂,通过控制不同胺负载量来研究有机胺对CO 2的吸收变化过程。采用吸附动力学Avrami模型,对不同温度下的CO 2解吸过程进行分析。结果表明,通过有机胺吸附剂的表征分析验证了实验的可行性。当胺负载量为30%的羟乙基乙二胺时,吸附剂的吸收效率最高。温度为110℃时,吸附剂在12 min就完成了大部分CO2的解吸,解吸效率最高。

  关键词:CO2;有机胺;解吸CO2;化学吸收

  0引言

  随着经济社会的不断发展,化石燃料的使用越来越频繁,CO2浓度持续增长,气候变暖导致温室效应问题日益严重,研究有效吸附CO2的方法具有重要的现实意义。传统的物理和化学CO2吸收方法存在水溶性差、吸收效率不高和能耗高等问题[1],化学有机胺溶液吸附法是目前CO2吸附性能较好、应用最为广泛的方法,单乙醇胺(MEA)、五乙烯六胺(PEHA)、有机胺四乙烯五胺(TEPA)、二乙烯三胺(DETA)和羟乙基乙二胺(AEEA)等有机胺是目前吸附效率最高的有机胺,但该方法仍然存在吸附容量小和热稳定性较差的问题[2-3]。因此,本次研究将AEEA和TEPA有机胺负载到介孔分子筛SBA-15固体吸附剂中进行CO2吸附实验,增强吸附剂的稳定性和吸附速率,并通过控制不同胺负载量来研究有机胺对CO2的吸收变化过程,通过吸附动力学Avrami模型来对不同温度下的CO2解吸过程进行分析。

有机胺吸附 CO2 方法及解吸动力学研究论文

  1有机胺吸附与解吸CO2性能研究

  1.1有机胺实验材料及固体吸附剂选取研究


  此次研究选取的主要研究材料为有机胺羟乙基乙二胺(AEEA)、有机胺四乙烯五胺(TEPA)、吸附剂介孔分子筛(SBA-15)材料、CO2(体积分数≥99.995%)、N2(体积分数≥99.999%)和无水乙醇。实验主要器具有马弗炉、磁力搅拌器、立式开启式石英反应器和清洗器等。

  研究选用的固态胺吸附剂负载方法为物理浸渍法,该方法先将两种有机胺溶液混合,再将混合后的有机胺溶液溶在其他溶剂中,然后,将其加入选用的固体吸附剂中[4]。常用的有机胺溶剂有甲醇和无水乙醇等,本次研究选用无水乙醇。有机胺固体吸附剂制备方法如下:

  对吸附剂材料SBA-15进行实验预处理,去除吸附剂材料本身吸附的杂质,将其放在马弗炉中进行500℃高温煅烧1 h。

  按照不同比例将质量分数分别为10%、20%和30%的AEEA和TEPA溶液混合,溶解到50 mL的无水乙醇溶液中,并将溶液放入磁力搅拌器中进行充分搅拌,使有机胺充分溶解。

  将经过处理的SBA-15吸附剂放置到混合溶液中进行浸渍处理,并将其放入干燥箱内进行高温干燥处理,去除溶液中的乙醇。

  将干燥完成的固态颗粒吸附剂进行冷却处理,得到制备好的吸附剂。研究将通过T和A来代表有机胺TEPA和AEEA,分别用x和y来代表TEPA和AEEA在吸附剂中的质量占比情况,即制备好的吸附剂表示为Tx%-Ay%SBA-15。

  研究选用的吸附剂表征方法有氮气吸附脱附(BET)、X射线衍射分析(XRD)、透射电子显微镜分析(TEM)、扫描电子显微镜分析(SEM)、原位红外(In-situ FTIR)、元素分析(EA)、傅里叶红外分析(FTIR)和热重分析(TG/DTG)[5]。其中,热重分析方法通过热重分析表征手段来验证混合有机胺吸附剂的CO2吸收和解吸的可行性,研究选用STA 449F5 NETZSCH型热重分析仪进行热重测试。具体的操作步骤为:取出5 mg的实验混合后的样品,通过热重分析仪的氧化铝坩埚,获得混合有机按样品的分解信息。

  1.2有机胺吸附CO2方法及解吸动力学研究

  1)进行CO2吸附和解吸实验时,要对反应器进去预处理,即事先用100 mL/min的惰性气体对反应器进行吹洗操作,去除反应器内的杂质气体,研究选用的惰性气体为N2,同时,升高温度到120℃,并持续20 min,去除反应器内吸附剂的水蒸气。

       2)降低温度到实验适宜温度,向反应器输入研究模拟烟气,再将φ(CO2)=15%和φ(N2)=85%的混合气体以100 mL/min的流速引入反应器中,并把进气的质量流量控制在40 mL/min,关闭反应器开始实验。

  3)升高反应器温度到研究设置的解吸温度,引入高纯度的N2进行CO2脱附反应,持续90 min脱除CO2后,记录数据,进行相关解吸测试验证。

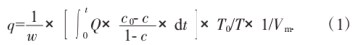
  解吸完成后的CO2气体浓度采用红外气体分析仪测定,并根据气体体积的变化计算CO2吸附量。具体的吸附量数学计算计算公式[6]如式(1):

有机胺吸附 CO2 方法及解吸动力学研究论文

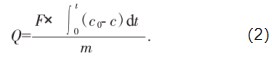
  式中:q为CO2的吸附量;Q为CO2的吸附饱和值;w为吸附剂的质量;t为吸附时长;c0为CO2的进口浓度;c为CO2的出口浓度;T为当前吸附温度;T0为初始温度,275 K;Vm为吸附速率。重复上述吸附脱附实验过程,即为循环吸附实验。吸附饱和值Q的吸附曲线积分方程如式(2):

有机胺吸附 CO2 方法及解吸动力学研究论文

  式中:Q为CO2的吸附饱和值;F为CO2的进气量;m为吸附剂的整体质量。

  本次研究通过吸附动力学模型方法对实验的CO2解吸变化过程进行分析,吸附动力学模型能够描述固体吸附材料上CO2的吸附和脱附过程,传统的拟一级和拟二级模型存在只能描述反应早期容量的问题。因此,选用性能更好的Avrami动力学模型来分析有机胺的CO2解吸过程[7]。

  2有机胺吸附与解吸CO2性能结果分析

  研究配置的有机胺吸附剂为纯SBA-15吸附剂、T30%-A10%SBA-15、T30%-A20%SBA-15、T30%-Ay30SBA-15和T30%-A40%SBA-15,通过对5种吸附剂的CO2吸附实验来研究胺负载量对吸附性能的影响。

  通过BET等温线表征能够得出,T30%-A30%SBA-15的有机胺负载情况最好,大部分孔隙负载了胺,而其他配置的吸附剂存在CO2不可逆吸收和滞涩的现象。通过In-situ FTIR表征结果能够得出,混合胺没有损坏SBA-15吸附剂的骨架结构,且红外光谱峰值均有增强,表明复合胺充分负载到了吸附剂中。通过热重分析表征结果可得,在温度不超过200℃时,各种配置的有机胺吸附剂均有良好的热稳定性,进一步验证了混合吸附性通过控制温度来进行吸附和解吸实验的可行性。通过TEM表征分析结果得出,胺功能化后的SBA-15结构与纯SBA-15材料的硅质骨架变化不大,孔隙结构变得相对无序,表明混合胺的负载没有破坏吸附剂结构。总体来说,有机胺吸附剂的表征分析可以验证,通过实验来分析有机胺吸收与解吸CO2的变化过程有一定的可行性。有机胺负载量对CO2吸附性能影响的实验结果如图1所示。

有机胺吸附 CO2 方法及解吸动力学研究论文

  由图1可知,单独负载AEEA的A30%SBA-15吸附剂的CO2吸附量最低,为1.6 mmol/g。混合溶液配置为T30%-A30%SBA-15吸附剂的吸附容量最高,为4.08 mmol/g。单独负载有机胺TEPA的T30%SBA-15吸附剂吸附容量为2.75 mmol/g,随着AEEA的负载量增加,CO2吸附容量也在增长,T30%-A10%SBA-15吸附剂的吸附容量为3.34 mmol/g,T30%-A20%SBA-15吸附剂的CO2吸附容量为3.52 mmol/g,直到溶液配置为T30%-A30%SBA-15时,吸附量达到最高。当AEEA的负载量增加到40%时,混合胺吸附量降低,为3.71 mmol/g。造成吸附量降低的原因是,当吸附剂的胺负载过多时,有机胺会形成团聚现象,造成胺分布不均,影响CO2的吸收容量。对比可知,当胺负载配置为T30%-A30%SBA-15时,吸附剂的CO2吸收效率最高。

  通过TPD实验得出,随着AEEA负载量的增加,解吸效率越高,T30%-A30%SBA-15的解吸峰面积最大,解吸温度为105.6℃,即在较低的温度下就能够达到解吸效果。因此,研究将对T30%-A30%SBA-15混合胺吸附剂通过Avrami动力学模型进行程序升温脱附实验,并分析CO2解吸性能。T30%-A30%SBA-15混合胺不同温度下的解吸效果如图2所示。

有机胺吸附 CO2 方法及解吸动力学研究论文

  Avrami拟合曲线是Avrami模型对CO2吸附数据的拟合情况。数据偏离Avrami曲线,则表示CO2解吸成功。如图2所示,环境温度为80℃时,解吸效率最低。在31 min之后,解吸成功,完成大部分CO2解吸。随着温度的增高,解吸速率也在增高,温度为110℃时,吸附剂在12 min就完成了大部分CO2的解吸,表明该温度下的解吸效率最高。

  3结论

  传统的物理和化学CO2吸收方法存在水溶性差、吸收效率不高和能耗高等问题,本次研究将混合有机胺负载到SBA-15固体吸附剂,来增强吸附剂的稳定性和吸附速率,并通过控制胺负载量来研究有机胺对CO2的吸收变化过程。采用Avrami模型,研究不同温度下的CO2解吸过程。通过有机胺吸附剂的表征分析,证明了有机胺的负载不影响介孔分子筛材料的结构,验证了实验的可行性。当胺负载配置为T30%-A30%SBA-15时,吸附剂的CO2吸收效率最高,吸附量为4.08 mmol/g。温度为110℃时,吸附剂在12 min就完成了大部分CO2的解吸。实验结果表明,本次研究的混合胺吸附剂能够在较低的温度下完成CO2的解吸,效率较高,且成本较低,值得推广。

  参考文献

  [1]翟尚鹏,王延民,王建国.微波辅助合成Ni-gallate(镍基没食子酸金属有机框架)用于CO2吸附的性能研究[J].化工新型材料,2023,51(Supple1):224-227.

  [2]陈荐,吕伟,程中桦,等.硼酸基富氮共轭微孔聚合物的制备及其CO2吸附性能[J].东华大学学报(自然科学版),2023,49(3):68-73.

  [3]张友浩,徐运飞,王菲菲,等.ZnO对于CaO吸附CO2性能影响的DFT研究[J].中南大学学报(自然科学版),2022,53(12):4657-4665.

  [4]刘飞,祁志福,胡杭天,等.基于有机胺构效关系优选燃煤烟气CO2吸收剂[J].中国电机工程学报,2023,43(9):3458-3468.

  [5]元慧力,钟雯诗,郑淑娟,等.柔性碳纤维基吸附剂的制备及CO2吸附性能[J].高校化学工程学报,2023,37(1):61-67.

  [6]杭咏平,李金昊,代钢,等.多孔固体吸附剂的CO2吸附性能研究[J].应用化工,2020,49(11):2877-2881.

  [7]Kolle J M,Fayaz M,Sayari A.Understanding the effect of water on CO2 adsorption[J].Chemical Reviews,2021,121(13):7 280-7 345.

关注SCI论文创作发表,寻求SCI论文修改润色、SCI论文代发表等服务支撑,请锁定SCI论文网!
文章出自SCI论文网转载请注明出处:https://www.lunwensci.com/ligonglunwen/77922.html

发表评论

Sci论文网 - Sci论文发表 - Sci论文修改润色 - Sci论文期刊 - Sci论文代发
Copyright © Sci论文网 版权所有 | SCI论文网手机版 | 鄂ICP备2022005580号-2 | 网站地图xml | 百度地图xml