SCI论文(www.lunwensci.com)
摘 要:住宅小区的需求侧管理在能源转型过程中发挥着至关重要的角色,通过管理可再生能源的波动性和提高能源使用 的灵活性,来实现用户与配电网络的能量供需平衡。本研究针对综合能源系统在居民小区的应用场景,在不影响居民用电行为 的情况下,优化电力需求曲线,向客户提供综合能效服务。所提出的优化模型采用深度学习的全数据驱动的控制方法,方法可 以有效的实现风 - 光 - 储 - 荷的协调运行,使企业达到经济收益最大和成本最小的目的。
关键词:人工智能 ;深度学习 ;综合能源系统运行策略 ;人工神经网络 ;风 - 光 - 储 - 荷协调运行
Optimal Operation Strategy of Integrated Energy System Based on Deep Learning Drive
YANG Hongzhao
(School of Software, Changsha Social Work College, Changsha Hunan 410004)
【Abstract】:The demand side management of residential quarters plays a vital role in the process of energy transformation. By managing the volatility of renewable energy and improving the flexibility of energy use, the energy supply and demand balance between users and distribution network can be realized. Aiming at the application scenario of integrated energy system in residential areas, this study optimizes the power demand curve and provides customers with comprehensive energy efficiency services without affecting residents' power consumption behavior. The proposed optimization model adopts the deep learning full data-driven control method, which can effectively realize the coordinated operation ofwind light storage load, so as to maximize the economic benefit and minimize the cost.
【Key words】:artificial intelligence;deep learning;operation strategy of integrated energy system;artificial neural
0 引言
综合能源系统是以各种分布式发电为基础,以冷、热、气、电等为主要产品,以能量耦合装置系统为纽带,可以将电力网络、供热网络、供气网络相互集成和协调,通过利用多能耦合,大大提高系统的整体能效 [1]。综合能源系统的应用和推广作为未来能源互联网的重要的特征,已经成为不可逆转的发展趋势。尤其在工业园区、商业楼宇中,其经济、高效、灵活且绿色环保的优点将得到更加具体的应用。但是综合能源系统中大量间歇性、复杂性和变化性的分布式可再生电源的接入,对已有的能源网络产生诸多不利的安全影响 [2]。为此,综合能源系统不仅要满足固有的技术约束条件,还要满足风光新能源发电的高渗透率、出力的间歇和波动性,以及 终端用户的主动响应等复杂的应用场景要求[3]。
随着智能电网的技术变革,高级计量基础架构、广 域监视系统和市场交易系统的广泛部署涌现出大量数据, 进一步推动人工智能在综合能源系统和电力网络协同运 行中的应用研究 [4]。近几年,国内外学者开始关注局域 综合能源系统,利用各类能源转换设备和储能设备做到 电 / 热 / 气网协同运行,达到综合能效的显著提升和可 再生能源的就地消纳是综合能源系统优化运行的目标。 大部分相关研究都是基于能源中心的优化调度 [5-6]。常用 算法开发包括了线性优化和混合整数优化、分层优化、 凸松弛、动态算法、模型预测控制方法、智能算法、分布式算法等方法 [7-8]。文献 [9] 采用分层优化方式对储能 的有功功率进行优化调度,从而提高综合能源系统的运行效率。文献 [10] 采用遗传算法来平抑随机因素的影响, 以最大限度地提高能源利用率。文献 [11] 提出了基于多 场景的综合能源随机优化方法,处理可再生能源和负荷 的不确定性。文献 [12] 提出了在高比例可再生能源渗透 下的综合能源系统日内两阶段优化调度模型,模型通过 对综合能源系统中的运行设备实现小时级时间尺度和分 钟级时间尺度的优化运行,从而实现快速调度的目的。
可以看出,综合能源系统优化方法被扩展和引入综合能源系统优化时,面临着新的挑战。可以利用专家系统、机器学习、深度学习等人工智能的方法来解决可再生能源的就地消纳,提高综合能源系统稳定优化运行能力。因此,本文从深度学习驱动的综合能源系统优化运行决策等方面出发展开研究工作。
1 综合能源系统模型刻画
1.1 风力发电功率模型
导致风力发电功率出力变化的因素很多,在这考虑上 下游风速对风力发电机的影响,发电机输出功率模型如下 :
式中, Pi表示风电单台发电机组的输出功率 ;λ 表示空气密度 ;π 表示圆周率,R 表示发电机转子半径 ; V 表示上下游风速 ;α表示发电机感应系数值 ;o 表示 上下游风向对发电机的偏移值, γ1 ∈ R表示模型参数值。
1.2 光伏发电功率模型
光伏电站的输出功率遵循太阳光辐射的原理,光伏 电站的发电模型如下 :
式中, Pi(Iit ) 表示在时间 t 内光伏电站输出的功率 ; ηPV表示光伏组件的转换效率 ;ASi 表示光伏电站安装光伏 组件的面积 (m2) ;t0 表示光伏电站时间 t 内的环境温度。
1.3 储能功率模型
目前,主要用于电力网络中的储能电池有锂电池和 铅酸蓄电池两种。由于电池成本较高,以及使用寿命制 约了储能电池在电网中的应用。储能电池的功率模型应 考虑储能的最优成本特性,储能电池的功率模型如下 :

式中, C表示在时间 t 内馈线 i 上储能电池的经 济成本 ;Pi表示在时间 t 内储能电池的输出功率 ;ali 为成本系数 ;Pi表示储能电池最大输出功率。
1.4 可控负荷功率模型
目前,城镇地区使用较多的是空调系统, 它占用相当比例的用电负荷。综合能源服务商作为综合能源系统 的管理单位,可以根据用电负荷对电网的影响情况,来 管理用户的空调系统,实现电力的供需平衡。可控负荷 功率模型如下 :
式中, CL 表示空调负荷的成本值 ;PiItL 表示空调负 荷的可调节功率 ;δ1 , δ2 表示空调用电成本系数 ;θit , θit 表示可控负荷上下限值 ;PDit 表示在时间 t 内空调负荷对电量的需求 ; D 表示负载的节点数。2 深度学习驱动的学习模型
人工神经网络是构建深度学习模型的一种有效的方 法,该方法可预测电网中可控负荷的功率变化。通过对 居民小区用户电表数据进行分析,采用神经网络训练 可控负荷的变化行为属性。风 - 光 - 储 - 荷的协调运行 策略目标为 :居民小区的可控负荷所需电量尽量由风、 光、储电源进行提供,当居民小区可控负荷需求减弱 时,风、光发电可向储能电池进行电能输送。
为了生成用于训练和测试的人工神经网络模型的数 据集,建模分析春、夏、秋、冬季节对可控负荷变化造成的影响。从用户电表得到用电行为数据,每小时的颗粒度对应于随机改变的负荷值。首先采用如下的经济安全约束调度作为综合能源系统运行策略模型。

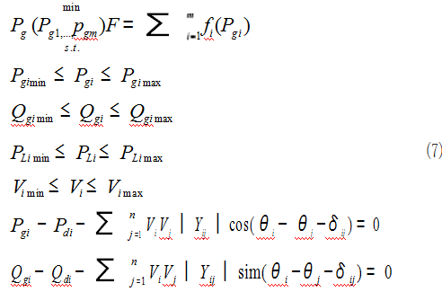
式中, fi 是第 i 发电单元的成本函数 ;pgi和Qgi 分别是 第 i 个发电单元的发电功率与无功功率 ; pgi min , pgi max , Qgi min和Qgi max 分别为对应发电机组pgi min的最小最大有 功功率与最小最大无功功率 ;pli 是第 i 条输电线路的输 电功率, pli min和pli max 分别为对应线路的最小最大输电 功率 ;Vi , Pdi 和Qdi 分别是节点 i 的电压、有功功率与无功功率, Vi min和Vi max 分别为对应节点可承受电压的下限 和上限 ;Yij 为节点 i 到节点j 线路的导纳 ;θi 为电压Vi 的 相角 ;δi 为导纳Yij 的相角。
然后将运行策略问题转化为马尔科夫决策过程,并采用深度确定性策略梯度求解。目标策略网络基于如下方法进行“软更新”的或参数更新。

式中,μ 表示在线策略网络 ;μ' 表示目标策略网络 ; Q 表示在线 Q 网络 ;Q' 表示目标 Q 网络。
3 算例分析
为了验证本模型的有效性,采用两种方案进行算例 分析。方案 1 :基于综合能源系统运行的二阶段随机运 行模型,将可再生能源网络与电力网络设备进行分离, 设备之间无关联性 ;方案 2 :基于深度学习驱动的综合 能源系统运行模型。
如图 1 所示比较了方案 1 和方案 2 每小时综合能源 系统与居民小区配电系统进行功率交换情况。从中可以 看出,可控负荷需求电量与风、光发电量供需平衡,在 方案 2 上最优。储能功率交换主要集中在晚上 20 点至 早晨 8 点之间,这时候是峰谷电价最低的时候。方案 1 和方案 2 的购买电量分别为 :1.85MWh 和 0.62MWh, 而总的售电量分别为 36.12MWh 和 37.12MWh, 可见 方案 2 比方案 1 从电力公司购买的电能要少, 向用户出 售的电量更多。
4 小结
本文提出了基于人工神经网络的深度学习模型,该 模型由风力发电系统、光伏发电系统、和储能设备构成, 通过模型可以确定综合能源系统的最优投资决策。提出 的综合能源系统最优运行决策,能最大使用风、光发电 系统的电能,减少可控负荷和储能电池对配电网电能的 需求,使综合能源系统整体运行费用最小。仿真结果表 明, 通过对比二阶段随机运行模型与所提出模型的优化结 果,发现深度学习驱动的综合能源系统的运行成本最优。
参考文献
[1] Han B C,Cheng W L,Li Y Y,et al.Thermodynamic analysis of heat driven Combined Cooling Heating and Power system (CCHP)with energy storage for long distancetransmission[J]. Energy Conversion and Management,2017,154:102-117. [2] Abbasi M,Chahartaghi M,Hashemian S M.Energy, exergy,and economic evaluations of a CCHP system by using the internal combustion engines and gas turbine as prime movers[J].Energy Conversion and Management, 2018,173:359-374.
[3] 金炜,李宗,葛斐,等.可再生能源高渗透率区域"网-源-储-荷" 协调规划案例分析[J]. 中国电力,2017,50(10):153-158.[4] Wang Z,Han W,Zhang N,et al.Proposal and assessment of a new CCHP system integrating gas turbine and heat- driven cooling/power cogeneration[J].Energy Conversion and Management,2017,144:1-9.
[5] 杨挺,赵黎媛,王成山.人工智能在电力系统及综合能源系统 中的应用综述[J].电力系统自动化,2019,43(1):2-14.
[6] 帅轩越,马志程,王秀丽,等.基于主从博弈理论的共享储能与 综合能源微网优化运行研究[J/OL].电网技术,2022(1):1-12.
[7] 王梦雪,赵浩然,田航,等.典型综合能源系统仿真与规划平台 综述[J].电网技术,2020,44(12):4702-4712.
[8] 杨洪朝,牛犇,孟科,等.考虑可控负荷功率调整的电力服务商分 段式补偿定价决策[J].电力系统保护与控制,2020,48(22):100-108. [9] Saboori H,Hemmati R,Ghiasi S M S,et al.Energy storage planning in electric power distribution networks–A state- of-the-art review[J].Renewable and Sustainable Energy Reviews,2017,79:1108-1121.
[10] 张涛,郭玥彤,李逸鸿,等.计及电气热综合需求响应的区域综 合能源系统优化调度[J].电力系统保护与控制,2021,49(1):52-60.
[11] 刘海涛,朱海南,李丰硕,等.计及碳成本的电-气-热-氢综合 能源系统经济运行策略[J].电力建设,2021,42(12):21-29.
[12] 杨洪朝,杨迪,孟科.高比例可再生能源渗透下多虚拟电厂 多时间尺度协调优化调度[J].智慧电力,2021,49(2):60-68.
64
关注SCI论文创作发表,寻求SCI论文修改润色、SCI论文代发表等服务支撑,请锁定SCI论文网 文章出自SCI论文网转载请注明出处:https://www.lunwensci.com/jisuanjilunwen/38047.html