Sci论文 - 至繁归于至简,Sci论文网。 设为首页|加入收藏
当前位置:首页 > 经济论文 > 正文

基于 EVA 和 B-S 模型的互联网企业价值评估论文

发布时间:2024-12-26 15:23:42 文章来源:SCI论文网 我要评论














  摘要:我国高度重视互联网行业的发展,但是互联网作为一个风险高增长快的行业,如何对其进行准确、恰当、合理的价值评估对投资者以及企业管理者来说十分重要。文章以网易为研究对象,基于EVA法确定企业的现有价值,基于实物期权法中的B-S模型确定企业的潜在价值,提出互联网企业价值评估的有效方案。通过对网易的实证分析,发现这一组合评估模型估计的企业价值与企业实际价值十分接近,在一定程度上解决了互联网企业资产价值估值难的问题,为该类企业的评估提供了思路。
 
  关键词:互联网,EVA,实物期权,企业价值评估
 
  引言
 
  1994年4月,我国首次接入因特网,经过短暂的泡沫破灭我国网络很快蓬勃发展起来。中国有数量巨大且快速增长的网络用户群,互联网用户数量居全球前列。中国互联网络信息中心(CNNIC)发布的第52次《中国互联网络发展状况统计报告》表明,截至2023年6月,我国网民规模达10.79亿人,较2022年12月增长1 109万人,网络普及率达到76.4%。随着互联网的日益发展,网络用户的规模快速增长,再加之信息技术的高速发展,催生出百度、京东、阿里、网易等互联网公司。
 
  互联网企业普遍存在高投入、高风险的特征,与此同时,互联网企业的并购、重组以及上市都要求对其进行合理的价值评估[1]。本文通过分析发现传统的估值模型并不适合该类企业的评估,企业的实际价值无法真实体现,因而亟需构建一个准确合理的互联网企业估值模型。网易是我国领先的互联网科技公司,本文以网易为例,认为其价值包含现有价值和潜在价值两部分,对现有价值的评估选用EVA模型,运用B-S模型衡量网易的潜在价值。分析发现,组合模型评估的方法不仅能全面、客观、合理地衡量出企业的价值,也能丰富相关领域的研究,进而为利益相关者提供有效的价值参考,利于互联网行业的长足发展。
 
  一、互联网企业的特征与价值评估难点
 
  (一)互联网企业的特征
 
  1.高投入、高风险
 
  互联网企业属于专业化知识密集型企业,知识在互联网企业体系中起到决定性作用。因此这类企业往往对员工的整体素质要求高,人力资源也构成企业的核心竞争力,因而需要投入较多的人员成本。互联网企业不同于传统企业,其初创阶段需要大量的研发投入以进行产品的研发和推广以及平台的构建,高额的研发费用也意味着企业需要承担相应的风险。且大部分互联网企业的发展并不是一蹴而就的,通常都要先经历起步阶段,这往往需要巨额的融资作为支撑,一旦资金链断裂或者对技术前景的预测存在失误,就很容易会被淘汰。在持续的投资过程结束后才有可能达到规模点进而上市,由此可见,该类企业的发展风险极大。
 
  2.无形资产占比高
 
  由于互联网企业的主要业务活动是在线上进行的,互联网企业的核心竞争力是研究开发的技术型无形资产。与传统企业相比,存货、厂房和机器设备等有形资产的比重较低,专利技术和员工能力的重要性要远远大于实物资产,是典型的轻资产行业。
 
  3.更新迭代速度快
 
  互联网企业秉持着“用户至上,流量为王”的生存法则,用户是互联网企业价值的重要来源,这就要求企业能够实现快速更新换代以满足人们各项需求。面对复杂多变的市场环境以及国家的政策调整,互联网企业技术以及商业模式需要不断交替更新,相应的各项研发活动也会一直持续,且发展趋势难以准确把握。因此,时效性在互联网行业中弥足重要。
 
  (二)互联网企业价值评估难点
 
  1.未来收益具有不确定性
 
  互联网企业的生命周期相较于传统企业短,通常都是在短时间内成立并飞速发展起来的,而行业高风险的特征更加剧了未来收益的不确定性。尤其是在初创阶段,大量的投入与现金流量呈负相关的现象比比皆是。同时,随着技术的持续变革以及市场环境的不断变化,相关互联网企业的盈利模式也在不断地改变,对于其产生的现金流量以及相应的持续时间也难以预测,互联网企业的发展具有不确定性。
 
  2.存在潜在的非财务价值
 
  财务因素与非财务因素共同催生出互联网企业的价值,因此在对互联网企业的评估体系中,既包含财务指标也有非财务指标,例如学习与创新、内部经营能力和用户。这些潜在的价值并未体现在企业财务报表中,但是又对于互联网企业的评估有着举足轻重的影响。仅依靠传统的评估方法无法满足互联网企业的估值需要,潜在非财务价值的存在给互联网企业的评估增加了难度。
 
  二、互联网企业评估方法对比
 
  (一)传统三大方法
 
  1.成本法
 
  成本法的基本原理是先估算出资产的重置成本,并且分析被估资产的实体性减值、功能性减值以及经济性贬值,并将其从重置成本中减除,从而得出被评估资产价值的一类方法。其主要依据是企业的资产负债表,这种方法计算简便,却忽视了无形资产、人力资源等不在资产负债表列示的项目。因此,不适用于无形资产占比高的互联网企业的价值评估。
 
  2.市场法
 
  市场法是通过分析比较量化差异、目标企业相同或类似资产的市场价格来确定企业市场价值的评估方法,按照比较财务指标的不同,在实践中常用市盈率(PE)模型与市净率(PB)模型。使用这种方法需要有相同或类似的其他企业作为参照,但对于互联网企业来说,大多数企业还未上市甚至处于初创期,部分独角兽企业的企业文化、领导能力也是大相径庭,很难满足市场法的适用条件。且市场法在选择可比对象过程中容易受评估人员的主观性影响,因此本文在进行方法选择时,避开了市场法。
 
  3.收益法
 
  收益法是利用现金流折现的思路,通过估计被估资产未来产生收益的现值来确定资产价值的各类方法的总称,其关键就是合理预测未来现金流量与折现率。与前两种方法相比,这种方法虽然能考虑到企业的未来收益水平,但是对于未来的投资机会和管理的灵活性带来的潜在价值没有办法准确衡量,从而忽略了企业的潜在获利能力。
 
  (二)EVA和B-S模型的组合评估
 
  EVA方法又叫经济增加值法,该方法计算出的企业价值是企业评估基准日的资本总额和预测未来期EVA现值的加总,其核心思想是用企业的税后净营业利润减去全部投入资本来表示其经济增加值[2]。EVA不仅考虑了企业的权益资本成本,而且还充分包含了企业的债务资本成本,有效弥补了传统方法的不足。同时针对互联网企业高投入、高风险等特征,EVA模型对研发费用、递延所得税、财务费用等对企业利润影响较大的会计科目进行调整,能够对企业的现有价值进行合理的评估。但与收益法相似,该模型同样也忽略了机会价值带来的潜在获利能力,从而使评估价值偏低,因此需要其他模型进行补充。
 
  实物期权(real options)这一概念最初是由梅耶斯在MIT时提出的,他认为未来可选的投资机会和获利组成投资方案的价值源泉[3]。实物期权价值是投资者拥有的一个对未来企业经营决策的选择权,该选择权赋予企业一定的潜在价值。而实物期权模型把金融市场上的期权引入企业中,适用于评估处于高度不确定性的经济环境中的企业,用于规划与管理战略投资。实物期权中的B-S模型用偏微分方程和边界条件变化的形式来反映期权的价值及其变化,将互联网企业的期权价值与股票价格的变化相结合,从而评估出期权的价值。该模型可以方便企业管理者进行灵活化的管控,通过量化企业经营管理的价值,来预测企业新项目产生的不确定性流量,进而使其转化为企业的竞争优势。因此本文将B-S模型运用到评估互联网企业的价值之中,以弥补EVA方法的局限性。
 
  三、互联网企业评估模型构建
 
  网易公司是我国领先的互联网科技公司之一,其成立于1997年6月,2000年6月在美国纳斯达克上市。成立初期以提供免费电子邮件服务为主要业务,随着网易的快速发展,其业务模式也更加多元化,主要业务囊括网络游戏、在线教育、网易新闻、网易云音乐、网易严选等多个板块。其中,网易游戏一直处于网络游戏自主研发领域的前端,2001年网易推出了自主研发的网页游戏《大话西游》,从此向游戏行业转型,陆续推出《阴阳师》《光遇》《蛋仔派对》以及《逆水寒》等。
 
  其中,《蛋仔派对》的爆火使其成为了网易有史以来DAU最高的游戏,《逆水寒》上线首月玩家便超过了4 000万。据相关财报显示,2022年网易公司全年收入964.96亿元,其中游戏及相关增值服务收入为745.66亿元,占营业收入的77.27%,游戏带来了网易的核心收益。与此同时,网易全年研发投入超过150亿元,占营业收入的15.6%,研发强度保持行业领先。可见网易的发展动力足,发展前景良好,本文以网易为案例进行实证研究,更具代表性和说服力。
 
  (一)估值过程
 
  现有价值评估:本文选定的评估基准日为2022年12月31日,2018—2022年为历史期。分为以下三步,首先计算出历史期EVA,其次对网易的高速发展期和稳定增长期进行EVA预测,最后运用EVA两阶段模型得到网易的现有价值。
 
  1.计算历史期EVA
 
  EVA计算公式为:NOPAT-WACC×TC(见表1)。因此在计算时首先要根据网易历史期的财务数据确定出其税后净营业利润、资本总额以及加权平均资本成本。其中,在计算税后净营业利润时要对研发费用进行调整,本文将相应研发费用扣除摊销额进行处理,摊销年限定为4年。在确定加权平均资本时,在Wind数据库中提取到网易2018—2022年的β系数平均值为0.82(以周为指标计算);考虑到网易公司在美国纳斯达克上市,并活跃于美国资本市场。因此,选用5年期美国国债利率在2018—2022年期间的年末数值作为Rf,数据来源于Investing.com;选用Wind数据库查询的2018—2022年美国纳斯达克综合指数平均收益率14.01%(以周为指标计算)作为市场的风险Rm。
 
 \
 
  2.预测高速增长期和稳定期EVA
 
  本文预计网易在2023—2027年处于高速发展阶段,2028年企业开始进入稳定增长阶段。计算预测期EVA时,主要采用销售百分比法和历史均值法。
 
  (1)预测营业收入
 
  网易营业收入在2018—2022年的同比增长率分别是:15.17%、15.75%、24.63%、18.92%、10.15%,平均值为16.86%。本文通过对互联网企业整体发展水平的判断以及结合网易公司自身的经营发展状况,出于谨慎性考虑我们假设高速发展阶段营业收入增长速度稳定在15%,稳定增长阶段的增长率为4%。
 
  (2)预测税后净营业利润
 
  在预测税后净营业利润时,分为以下三步。第一步,确定网易高速发展阶段利润表预测项目的依据。其中营业成本、销售费用、管理费用、财务费用、研发费用、投资收益及利息收入本文采用近五年占营业收入比率的平均值进行预测,分别为46.42%、18.39%、5.12%、-0.63%、14.87%、0.18%;营业外净收益以及税率本文使用近五年平均值来预测,分别是6.64亿元和20%。第二步,以此和上文预测的高速发展阶段的营业收入为基础来确定本阶段的利润表,通过对营业收入的一系列调整,我们得到高速发展阶段2023—2027年网易的净利润分别是:136.30亿元、155.95亿元、178.54亿元、204.53亿元、234.41亿元。第三步,在计算高速发展阶段净利润的基础上,我们可以得到高速发展阶段的税后净营业利润,如表2所示。
 
 \
 
  (3)预测投入资本
 
  在预测网易高速发展阶段的投入资本时,先要对其相关项目进行预测。其中股权资本保持评估基准日的数值1 089.00亿元;短期借款和长期借款均按照近五年占营业收入的平均值计算;研发费用的资本化金额、递延所得税贷方余额以及递延所得税借方余额按近五年均值计算,分别为:25.09亿元、9.92亿元、11.67亿元。基于此确定了网易高速发展阶段的投入资本,如表3所示。
 
 \
 
  (4)预测WACC
 
  本文采用历史均值法预测加权平均资本成本,假设2023—2027年的加权平均资本成本为2018—2022年的平均值:10.05%。
 
  (5)预测高速发展阶段EVA
 
  预测高速发展阶段EVA的预测如表4所示。

\
 
  (6)预测稳定增长阶段EVA
 
  上文已经预测网易稳定增长阶段的增长率为4%,这里不再对其赘述。假设网易公司2028年WACC和高速发展阶段保持一致,为10.05%,网易稳定增长阶段EVA的预测值,如表5所示。
  
 \
 
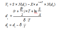
  潜在价值评估:期权定价模型基于对冲证券组合的思想,投资者可建立期权与其标的股票的组合来保证确定报酬。其具体公式如下。

\ 
 
  式中:S为标的资产的现值;X为期权的执行价格;T为期权的有效期限;r为无风险利率;δ标的资产的价值波动率。
 
  本文选用评估基准日网易公司资产负债表中企业的总资产价值作为企业的现行价值,即S=1 728亿元;以资产负债表中的负债总额作为标的资产的执行价格,即X=638.9亿元;在综合经济周期理论、企业生命周期理论等相关理论研究之后,并按照以往的研究经验确定本文期权的有效期限为5年;用2022年的五年期国债利率作为本文的无风险利率,无风险利率取2.64%;标的资产的收益波动率,即公司股票的波动率,选取2022年全年网易公司的股价,分别对每一天股票的前收盘价格与收盘价格之比取自然对数,利用STDEV函数求出这个自然对数的标准差,再乘以2022年所包含的251个有效交易日的平方根,得到的即为历史波动率,据此计算所得δ=54.66%。
 
  综合上述数据,代入期权公式计算可得:
 
 \
 
  (二)结果有效性分析
 
  截至评估基准日,网易公司的总市值为3 261.27亿元,EVA和B-S组合模型评估出的结果为V1+V2=3 357.57(亿元),偏差率仅为2.95%,评估合理。因此,本文的估值结果可靠。
 
  四、结论
 
  通过对互联网行业的特点分析,本文认为传统的估值方法并不适用。因此,构建了EVA和B-S组合模型来评估企业价值。该模型将企业价值分为现有价值和潜在价值两部分,EVA模型以相关报表数据为基础,通过调整会计项目,完整的考虑了企业的现有价值。而互联网企业的不确定性恰好与实物期权的随机性、灵活性吻合,使用实物期权法能充分衡量企业的潜在价值[4]。因此本文开拓了对互联网企业价值评估研究的思路,为后续研究提供了方法。
 
  参考文献:
 
  [1]曾丽婷.基于梅特卡夫模型的互联网初创企业价值评估[J].财会通讯,2019(23):58-62.
 
  [2]徐利飞,王雪娇.储能企业价值评估模式研究以宁德时代为例[J].会计之友,2022(15):18-25.
 
  [3]郭建峰,王丹,樊云,等.互联网企业价值评估体系研究基于实物期权模型的分析[J].价格理论与实践,2 017(7):153-156.
 
  [4]曾银,关勇军.基于EVA和B-S模型的人工智能企业价值评估[J].商业观察,2024,10(2):44-48.

文章出自SCI论文网转载请注明出处:https://www.lunwensci.com/jingjilunwen/80437.html
本文标签: 互联网 ,EVA ,实物期权

发表评论

Sci论文网 - Sci论文发表 - Sci论文修改润色 - Sci论文期刊 - Sci论文代发
Copyright © Sci论文网 版权所有 | SCI论文网手机版 | 鄂ICP备2022005580号-2 | 网站地图xml | 百度地图xml