Sci论文 - 至繁归于至简,Sci论文网。 设为首页|加入收藏
当前位置:首页 > 理工论文 > 正文

三种废渣吸附剂对稀土氨氮废水的吸附动力学研究论文

发布时间:2024-08-07 11:34:07 文章来源:SCI论文网 我要评论














SCI论文(www.lunwensci.com):

  摘要:以改性的粉煤灰、煤矸石、水淬渣作为材料,研究了三种废渣稀土氨氮废水中氨氮的吸附性能及其吸附动力学行为,讨论了吸附平衡时间、反应级数、吸附速率控制步骤,并将三种废渣的吸附性能进行比较。实验结果表明:粉煤灰与水淬渣较先达到吸附平衡,煤矸石与准二级动力学拟合直线的相关性最好为0.997 8,化学反应是改性粉煤灰、改性水淬渣吸附氨氮的主要控制步骤,液膜扩散、颗粒扩散是改性煤矸石吸附氨氮的主要控制步骤。

  关键词:废渣;吸附剂;稀土氨氮废水;动力学

  0引言

  氨氮废水来源甚广且排放量大,氨氮具有很高的耗氧量,完全氧化1 mg氨氮约需4.6 mg溶解氧。水体中含有大量的氨氮,使水体产生富营养化效应,刺激并加速水生植物的生长,导致水体生态平衡失调,含氨氮的污水排入水体后,在硝化细菌的作用下氧化成亚硝酸盐和硝酸盐,严重影响水体质量[1-2]。吸附法处理中、低浓度氨氮废水兼顾流程简单、具有投资节省、技术成熟、控制方便、无二次污染等优点。本文对比了粉煤灰、煤矸石、水淬渣三种废渣吸附剂改性对稀土氨氮废水的吸附动力学研究。

三种废渣吸附剂对稀土氨氮废水的吸附动力学研究论文

  1材料与方法

  1.1实验材料


  实验用水样为包头某稀土厂氯铵废水,稀释后氨氮浓度为110 mg/L,pH值为7.18。实验用粉煤灰由包头市郊第一热电厂提供,其主要化学组分SiO2含量为47.8%,Al2O3含量为37.5%,Fe2O3含量为5.4%,Na2O+K2O含量为1.31%,MgO含量为0.93%,CaO含量为4.08%,P2O5含量为0.31%,SO3含量为1.29%,TiO2含量为1.10%。煤矸石取用的是内蒙古自治区鄂尔多斯市某洗煤厂的煤矸石,其主要化学组分SiO2含量为50%,Al2O3含量为20%,CaO含量为2.5%,MgO含量为2.4%,Fe2O3含量为0.09%,TiO2含量为1.9%,Na2O含量为1.4%。水淬渣取自包头钢铁集团炼铁厂第四号高炉,主要化学组分SiO2含量为36.77%,Fe2O3含量为0.94%,CaO含量为37.78%,MgO含量为8.46%,Al2O3含量为8.86%。

  (1)碱改性粉煤灰吸附剂的制备:粉煤灰除杂→过120目筛→焙烧(500℃,2 h)→加热回流2 h(CNaOH 2 mol/L,固液比1∶5)→浸泡24 h→水洗至中性→干燥(105℃,4 h)。

  (2)碱改性煤矸石吸附剂的制备:煤矸石粉碎→焙烧(500℃,2 h)→过120目筛→加热回流2 h(CNaOH2 mol/L,固液比1∶5)→浸泡24 h→水洗至中性→干燥(105℃,4 h)。

  (3)铁改性水淬渣吸附剂的制备:1 g 120目原水淬渣:14 mg Fe3+的比例在500℃下焙烧制得。

  1.2实验方法

  准确称取一定量吸附剂,分别放入一系列250 mL的锥形瓶中,然后分别加入50 mL氨氮废水,在摇床上于120 r/min振荡一定时间,澄清过滤取上清液,蒸馏预处理后取适量液体用纳氏试剂分光光度法测定水样的吸光度。由标准曲线计算出溶液中氨氮的浓度,计算氨氮去除率,从而计算几种废渣对氨氮的吸附量。

  2结果与讨论

  2.1平衡时间的确定


  吸附动力学实验就是研究吸附剂对吸附质达到吸附平衡时间之前,吸附量与时间的关系。三种废渣对氨氮的吸附量随时间的变化关系如图1所示。由图1可以看出粉煤灰、煤矸石、水淬渣对氨氮的吸附平衡时间分别在120、180、120 min。

三种废渣吸附剂对稀土氨氮废水的吸附动力学研究论文

  2.2反应级数的确定

  Lagergren提出的准一级和准二级动力学方程通常用于描述液-固吸附过程[3-5]。它是目前应用最广泛的吸附动力学速率方程。采用准一级、准二级动力学方程对氨氮的吸附过程进行拟合。

  2.2.1拟合方程

  (1)准一级动力学方程,广泛适用于液固系统吸附的Lagergren一级吸附速率方程,是基于吸附可逆这一假设简化推导出的[3-5],如式(1)所示:

三种废渣吸附剂对稀土氨氮废水的吸附动力学研究论文
 

  式中:qt和qe分别为t时刻和平衡态时的吸附量(mg/g);k1为平衡速率常数(min-1)。

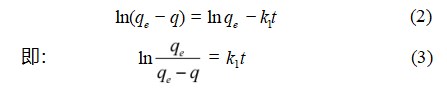
  由边界条件:t=0,q=0;t=t,q=q,可得式(2)和式(3):

三种废渣吸附剂对稀土氨氮废水的吸附动力学研究论文

  (2)准二级动力学方程。由于实际的吸附过程中,不易准确测得其平衡吸附量qe值,所以采用准二级动力学方程对数据进行拟合分析,准二级速率方程如式(4)[6-8]:

三种废渣吸附剂对稀土氨氮废水的吸附动力学研究论文

  由边界条件:t=0,q=0;t=t,q=q,得式(5):

三种废渣吸附剂对稀土氨氮废水的吸附动力学研究论文

  上式转化为线性方程得到式(6):

三种废渣吸附剂对稀土氨氮废水的吸附动力学研究论文

  式(4)~式(6)中:k2为平衡速率常数(g/(mg·min))。

  2.2.2拟合结果

  (1)将三种废渣吸附剂对稀土氨氮废水中氨氮的吸附实验数据进行准一级动力学方程拟合,用ln(qe-qt)对t作图,拟合结果如图2所示。

三种废渣吸附剂对稀土氨氮废水的吸附动力学研究论文

  得出三种废渣吸附剂对稀土氨氮废水中氨氮吸附的准一级动力学拟合方程分别为:

三种废渣吸附剂对稀土氨氮废水的吸附动力学研究论文

  (2)将三种废渣吸附剂对稀土氨氮废水中氨氮的吸附实验数据进行准二级动力学方程拟合,用t/qt对t作图,拟合结果如图3所示。

三种废渣吸附剂对稀土氨氮废水的吸附动力学研究论文

  得出三种废渣吸附剂对稀土氨氮废水中氨氮吸附的准一级动力学拟合方程分别为:

三种废渣吸附剂对稀土氨氮废水的吸附动力学研究论文

  2.2.3三种改性废渣吸附剂吸附效果的比较

  现将三种改性废渣吸附剂吸附稀土氨氮废水的动力学参数值列于表1。

三种废渣吸附剂对稀土氨氮废水的吸附动力学研究论文

  通过比较图2和图3动力学拟合曲线以及表1的拟合参数可以得出,三种废渣对稀土氨氮废水中的氨氮吸附过程中,均较好地符合准二级动力学拟合直线,其中煤矸石与准二级动力学拟合直线的相关性最好,为0.997 8。这说明准二级动力学方程能够更真实、全面地反映氨氮在废渣上的吸附机理[9-10]。表1给出了粉煤灰、煤矸石、水淬渣用准二级方程计算出的平衡吸附量qe分别为1.518 8、1.193 2、1.694 3 mg/g;与实验测量值(图1所示)分别为1.56、1.38、1.62 mg/g非常接近。准一级方程的局限性在于拟合作图时采用了实验测得的平衡吸附量,这与实际吸附过程的真实平衡吸附量存在误差,所以描述性较差,适合描述吸附初始阶段的动力学行为,对整个吸附过程的描述不够准确[11]。

  2.3吸附速率控制步骤的确定

  和Mn+(代表某离子)在溶液和废渣吸附剂中相互扩散,整个传质过程包括下面五个步骤:(1)溶液中的NH4+离子扩散到吸附剂表面,在其表面上总存在着一层薄膜,NH4+离子要通过这层薄膜才能进入吸附剂内,称为液膜扩散;(2)NH4+离子进一步扩散到吸附剂颗粒内部,称为颗粒扩散;(3)NH4+离子与吸附剂中可交换离子进行化学交换反应;(4)被交换下来的Mn+离子离开吸附剂内部;

  (5)被交换下来的M n+离子通过液膜而进入溶液[12]。

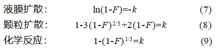
  第四步骤是第二步骤的逆向过程,第五步骤是第一步骤的逆向过程,理论上认为第一与第五,第二与第四步骤是以相同速度进行的,所以前三个步骤是影响废渣吸附氨氮速度的主要因素,即动边界模型的液膜扩散(film diffusion)、颗粒扩散(particles diffusion)和化学交换反应(absorption reaction),其中速度最慢的一步决定了吸附过程的速度。动边界模型是目前广泛应用于描述多孔材料吸附行为的模型,动边界模型的液膜扩散、颗粒扩散和吸附反应控制方程可分别表示为式(7)~式(9)[13]:

三种废渣吸附剂对稀土氨氮废水的吸附动力学研究论文

  式(7)~(9)中:F(qt/qe)为离子交换度,代表t时刻的吸附分数;k为温度t时刻的速率常数。

  用吸附动力学实验数据与动边界模型的3个方程进行拟合,结果如图4所示。所得的拟合方程及参数列于表2。

三种废渣吸附剂对稀土氨氮废水的吸附动力学研究论文

三种废渣吸附剂对稀土氨氮废水的吸附动力学研究论文

  由图4和表2可以看到,改性粉煤灰、改性水淬渣对稀土氨氮废水中氨氮的吸附过程与化学反应阶段的拟合曲线的相关性R2高于液膜扩散和颗粒扩散两个阶段,这表明化学反应是改性粉煤灰、改性水淬渣吸附氨氮的主要控制步骤,改性粉煤灰、改性水淬渣在吸附氨氮的过程中化学反应速度较其他两个过程慢。煤矸石对稀土氨氮废水中氨氮的吸附过程与液膜扩散、颗粒扩散的相关性R2均为0.956 1,高于化学反应的相关性,即液膜扩散、颗粒扩散较化学反应速度慢,是改性煤矸石吸附氨氮的主要控制步骤。

  3结论

  (1)三种废渣对氨氮的吸附平衡时间分别为粉煤灰120 min、煤矸石180 min、水淬渣120 min。

  (2)三种废渣对稀土氨氮废水中的氨氮吸附过程中,均较好地符合准二级动力学拟合直线,其中煤矸石与准二级动力学拟合直线的相关性最好,为0.997 8。

  (3)改性粉煤灰、改性水淬渣对于稀土氨氮废水中氨氮的吸附过程与化学反应阶段的拟合曲线的相关性R2高于液膜扩散和颗粒扩散两个阶段,即化学反应是改性粉煤灰、改性水淬渣吸附氨氮的主要控制步骤;矸石对于稀土氨氮废水中氨氮的吸附过程与液膜扩散、颗粒扩散的相关性R2均为0.956 1,高于化学反应的相关性,即液膜扩散、颗粒扩散较化学反应速度慢,是改性煤矸石吸附氨氮的主要控制步骤。

  参考文献:

  [1]钱易,唐考炎.环境保护与可持续发展[M].北京:高等教育出版社,2000.

  [2]唐善宏,伍昭化,束世平,刘乃鸿.氨氮废水处理技术[J].上海化工,2007,32(9):14-16.

  [3]OZACAR M.Equilibrium and kinetic modeling of adsorption of phosphorus on calcined alunite[J].Adsorption,2003(9):125-132.

  [4]SU-HSIA LIN,RUEY-SHIN JUANG.Heavy metal removal from water by sorption using surfactant-modified montmorillonite[J].Journal of hazardous materials,2002,B92:315-326.

  [5]张敬,姜斌,刘瑞轩,等.生物膜载体吸附剂对Cr3+的吸附动力学研究[J].昆明理工大学学报(理工版),2005,32(2):78-82.

  [6]韩德刚,高盘良.化学动力学基础[M].北京:北京大学出版社,1987.

  [7]CHANG M Y,JUANG R S.Equilibrium and kinetic studies on the adsorption of surfactant,organic acids and dyes from water onto natural biopolymers[J].Colloids&surfaces a physicochemical&engineering aspects,2005,269(1-3):35-46.

  [8]ANDINI S,CIOFFI R,COLANGELO F,et al.Adsorption of chlorophenol,chloroaniline and methylene blue on fuel oilfly ash[J].Journal of hazardous materials,2008(157):599-04.

  [9]李坤权,郑正,罗兴章,等.KOH活化微孔活性炭对对硝基苯胺的吸附动力学[J].中国环境科学,2010,30(2):174-179.

  [10]CHANG M Y,JUANG R S.Adsorption of tannic acid,humic acids,and dyes from water using the composite of chitosan and activated clay[J].Journa l of colloid and interface science,2004(278):18-25.

  [11]丁世敏,封享华,汪玉庭,等.交联壳聚糖多孔微球对染料的吸附平衡及吸附动力学分析[J].分析科学学报,2005,21(2):127-130.

  [12]李健昌.沸石去除中低浓度工业氨氮废水研究[D].赣州:江西理工大学,2009.

  [13]王春峰,李健生,王连军,等.粉煤灰合成NaA型沸石对重金属离子的吸附动力学[J].中国环境科学,2009,29(1):36-34.

寻求SCI论文修改润色、SCI论文代发表等服务支撑,请锁定SCI论文网!
文章出自SCI论文网转载请注明出处:https://www.lunwensci.com/ligonglunwen/78611.html

发表评论

Sci论文网 - Sci论文发表 - Sci论文修改润色 - Sci论文期刊 - Sci论文代发
Copyright © Sci论文网 版权所有 | SCI论文网手机版 | 鄂ICP备2022005580号-2 | 网站地图xml | 百度地图xml