Sci论文 - 至繁归于至简,Sci论文网。 设为首页|加入收藏
当前位置:首页 > 经济论文 > 正文

数字服务贸易壁垒与全球价值链升级论文

发布时间:2024-03-21 14:16:42 文章来源:SCI论文网 我要评论














SCI论文(www.lunwensci.com):
 
      【摘 要】 在“双循环 ”新发展格局和价值链数字化的大趋势下,探究数字服务贸易壁垒对全  球价值链升级的影响具有重要意义 。通过构建跨国生产嵌套模型分析数字服务贸易壁垒对全球  价值链升级的双重影响效应,并基于 2014—2020 年全球投入产出数据进行实证分析 。研究发现: 数字服务贸易壁垒对全球价值链升级存在“抑制效应 ”与“保护效应”,主要表现在促进工艺流程  升级和产品升级 、阻碍功能升级和链条升级,此影响效应在经济体发展水平 、行业以及数字服务  贸易限制措施等方面存在差异 。 因此,需通过双边或多边谈判,加快数字贸易政策合作,合理设  置数字管制壁垒,以期在多边合作机制下推动高质量发展和高水平对外开放 。

      【关键词】 数字服务贸易壁垒 ; 全球价值链升级 ;抑制效应 ;保护效应

       一、引言

       随着全球产业分工细化,全球价值链主导了世界分工模式 [1] 。各国价值链的重构与升级趋势 [2] , 成为全球经济增长的关键推动力 。 当前 ,通信水平的大幅提升及新一代信息技术的快速发展和应  用 ,加速数字产品和服务嵌入全球价值链 ,价值链逐渐趋于数字化 ,并由此催生出全新的贸易监管  问题 。加之 ,如今逆全球化思潮愈演愈烈 ,数字贸易壁垒水平日渐上升 ,对数字服务贸易和价值链  升级的影响不可忽视 。在此背景下 ,国内有关数字服务贸易与全球产业分工的议题热度较高 ,2022  年中国共产党第二十次全国代表大会报告指出 ,致力于创新服务贸易发展机制 ,发展数字贸易 ,深  度参与全球产业分工和合作,才能推动高质量发展和高水平对外开放 。

       在国际政治风向和价值链数字化的驱动下 ,联合国贸易和发展会议( UNCTAD )探讨贸易监管 问题并在《2021 年数字经济报告》中指出 ,国际数据流动带来的好处颇多 ,但数据流限制政策仍在 不断变化 ,关于如何监管跨境数据流动的国际辩论陷入僵局 ,立场趋于两极分化 ,监管格局参差不 齐,各国政府面临着国际交易安全和政策方面的全新监管挑战 。

       价值链的数字化转型使得贸易交付乃至中间品生产均依托于数字技术进行 ,更易实现 、更加快 捷 、保护力度更强的数字服务贸易壁垒 ,对全球价值链升级的影响较其他方式的壁垒更为明显 。那 么 ,如何构建全球价值链升级测度体系? 数字服务贸易壁垒如何影响全球价值链升级? 探讨以上 问题 ,对科学看待并有效应对数字服务贸易壁垒 ,加速数字服务贸易发展 、促进全球价值链升级具 有重要的现实意义 。

       二、文献综述

       从已有研究来看,与我们研究相关的文献主要有以下三个方面 。

       第一类是全球价值链升级的测度研究 。 学者们尝试从各细分维度对全球价值链升级进行测  度,将商品和服务的整个价值链条拆分,从工艺 、产品 、功能 、技术等方面来衡量全球价值链升级 [3][4] 。 除宏观层面的拆分 ,有学者从微观角度以企业出口国内附加值率刻画全球价值链升级 [5] ,也有学者以价值增值能力和控制能力来衡量全球价值链升级 [6] ,Antras( 2012 )[7] 和 Miller( 2017 )[8] 从行业和产 品层面对全球价值链升级进行度量 。

       第二类是数字服务贸易壁垒的效应研究 。一些学者立足于国家层面 ,发现数字服务贸易限制 措施会显著阻碍双边服务出口 [9] 。细化至行业层面 ,数字服务贸易壁垒对服务业 [10] 以及制造业服务 化 [11] 也有抑制效应 。对政策制定者而言 ,数字服务贸易限制措施对国际贸易的影响力度需要进行 全面的衡量与评估,而发达国家和发展中国家的监管异质性则会带来较为不同的结果 [12] 。

       第三类文献主要探讨贸易保护措施与全球价值链的关系 。有关贸易保护主义对全球价值链的 影响 ,已有文献持有的看法并不一致 。有学者认为贸易保护对全球价值链的影响为负 [13] ,另有学者 认为贸易保护对全球价值链的影响为正 [14] 。可见,贸易保护对于全球价值链的影响并非单向 。

       以上文献为我们研究数字服务贸易壁垒与全球价值链升级提供了诸多启示 。一方面 ,数字服 务贸易壁垒的影响效应经大量学者实证检验 ,主要聚焦于单向影响 ;另一方面 ,对于全球价值链升 级的测度 ,许多学者从多角度进行理论层面的讨论分析以及实证层面的检验 ,指标体系逐渐趋于多 样化和全面化 。 因此 ,我们立足于已有研究 ,旨在构建较为全面的全球价值链升级指标体系 ,重点 研究数字服务贸易壁垒对全球价值链升级的双重影响效应及影响机制 ,以充实已有文献积累 ,具有 一定的理论意义 。

       我们的边际贡献主要在于:第一 ,通过理论模型的构建探讨数字服务贸易壁垒对全球价值链升 级的双重影响效应并进行实证检验 ;第二 ,尝试从工艺流程 、产品 、功能 、链条四个维度构建全球价 值链升级指标体系 ,丰富该领域的研究 ;第三 ,为构建国家 -行业 -年份三维面板数据集 ,使用世界 投入产出表计算各行业占有率 ,构建行业层面的数字服务贸易限制指数 ,以解决自变量 、因变量数 据维度不匹配问题 。

       三、理论模型

       (一)模型假定

       生产结构嵌套融入国际贸易是大势所趋 ,全球价值链的生产序贯模式在其中扮演着重要角  色 。Eaton  et  al( 2002 )假设由一国中间品生产的不可贸易综合品 ,既可用来生产本国所需的最终  品 ,又可用来生产出口至他国的可贸易中间品 [15] ,使得生产结构嵌套与国际贸易融入统一框架 。基  于此 ,我们在 Dornbusch  et.al( 1977 )提出的 Ricardian模型 [16] 的基础上 ,加入 Eaton( 2002 )的假设条件 , 参考刘斌( 2020 )的研究 ,在双边中间品贸易模式中加入生产嵌套循环 [17] 深入探究数字服务贸易壁  垒如何影响全球价值链升级 。

       模型的具体假设如下:在两国经济体系中 ,不可贸易的数字综合中间品由可贸易的数字中间产 品生产而成 ,而数字综合中间品既可用来生产最终品 ,又可用来生产数字中间产品 ,形成一个生产 嵌套循环 ;一国数字中间产品的生产 ,除需本国数字综合中间品和本国劳动力外 ,还需要国外进口 的数字中间产品 ;一单位数字中间产品的生产只需投入一单位当地劳动力 。 因此经济中的唯一生 产要素是劳动力 。

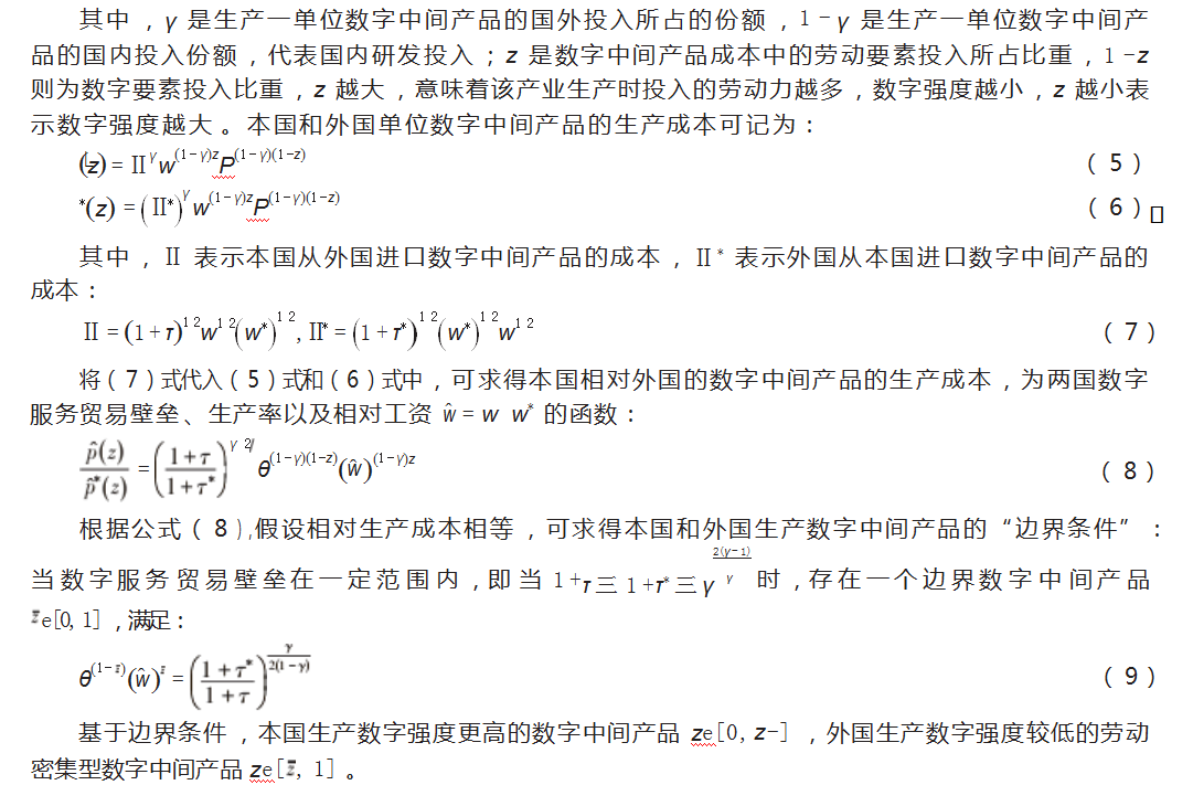
       为简化分析 ,假设本国数字综合中间品生产率较高 ,外国数字综合中间品生产率较低 。本国进 口数字服务贸易壁垒为 τ , 外国进口数字服务贸易壁垒为 τ∗(国外变量用上标 *表示),且有 τ ≤ τ∗ ( 一般生产率高的国家数字服务贸易壁垒更低)。 劳动力在国际不流动 ,本国工资率记为 w ,外国 工资率为 w∗ 。两国数字综合中间品 S 都需要用连续可贸易数字中间产品 q(z) 以 Cobb−Douglas 形式 生产:其中 ,z∊[0, 1] ,θ 为生产率参数 ,θ 越大代表生产率越低 。为简化分析 ,将外国生产率标准化为 1,本国生产率为 θ < 1 。 由于数字中间产品可自由贸易 ,因此各国的数字综合中间品生产商会购买 更 便 宜 的 数 字 中 间 产 品 ,本 国 和 外 国 单 位 数 字 综 合 中 间 品 的 价 格 为 数 字 中 间 产 品 p(z) 的 Cobb−Douglas 加总:数字中间产品的生产需要投入本国劳动力 L(z) 、本国数字综合中间品 S(z) 以及外国数字中间产 品 F(z) ,数字中间产品生产函数如下:

\
 
       其中 ,z∊[0, 1] ,θ 为生产率参数 ,θ 越大代表生产率越低 。为简化分析 ,将外国生产率标准化为 1,本国生产率为 θ < 1 。 由于数字中间产品可自由贸易 ,因此各国的数字综合中间品生产商会购买 更 便 宜 的 数 字 中 间 产 品 ,本 国 和 外 国 单 位 数 字 综 合 中 间 品 的 价 格 为 数 字 中 间 产 品 p(z) 的 CobbDouglas 加总:

\
\
\

       (二)市场出清

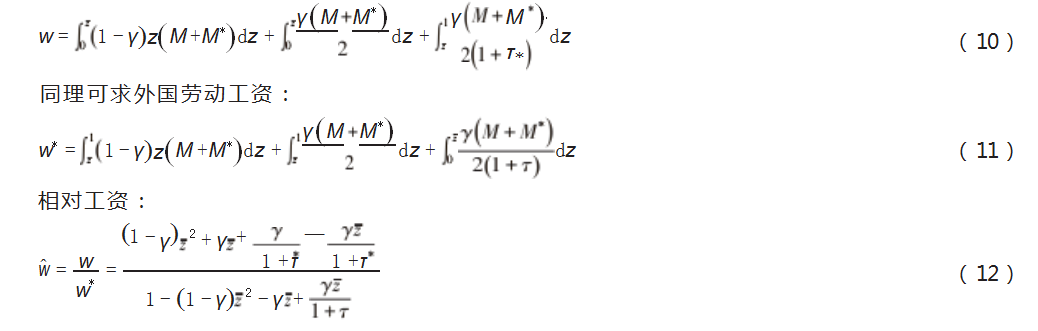
       本国生产数字综合中间品的产值为 M ,外国生产数字综合中间品的产值为 M* ,由数字综合中 间品生产的 Cobb—Douglas 形式可知 ,每种数字中间产品 z 的产值为 (M +M*)dz 。本国工资收入主要 来源于以下三部分:本国数字中间产品生产收入 、本国综合中间品生产收入以及用于外国数字中间 产品的生产收入 。 由式( 5 )可知 ,每种数字中间产品 z 的产值中有 (1 - γ)z 份额作为工资回报 ;每种 数字综合中间品 S 的产值占数字中间产品产值的 γ 份额 ,其中有一半支付给外国劳动者;由于数字 服务贸易壁垒的存在,本国劳动者从外国数字中间产品生产中获得的实际收入需除以 1 +τ* ,因此有:

\

\
 
       四、计量模型和变量

       (一)基准计量模型

       基于以上理论分析,为探讨数字服务贸易壁垒对全球价值链升级的影响,构建如下基准计量模型:

\
 
        其中 ,下标 i,j,t 分别表示经济体 ,行业 ,年份 ;被解释变量UGVCijt  表示 t 年份 i 经济体 j 行业的 全球价值链升级 ,分别从工艺流程升级 、产品升级 、功能升级和链条升级四个维度来衡量 ;核心解 释变量 DSTRIijt  代表 t 年份 i 经济体 j 行业的数字服务贸易壁垒 ;Controls 表示控制变量 ;vi   ,vj   ,vt 分别表示经济体 、行业和时间固定效应 ;εijt  为随机扰动项 。为保证数据平稳 ,降低异方差 ,我们对 数值较大的控制变量取自然对数,此外,回归结果均经过聚类个体效应获得稳健标准误 。

       (二)指标度量

       1.被解释变量 。Humphrey  et  al.( 2000 )指出 ,提高企业生产和营业活动的技能含量或进入存在 壁垒的市场 ,在一定程度上与来自其他国家的竞争力和压力隔绝 ,这种活动被称为“升级 ”[18] ,全球 价值链升级主要包括工艺流程升级 、产品升级 、产业功能升级和价值链升级 [19] 。基于此 ,从以下四 个维度构建全球价值链升级指标体系 。

      ( 1 )工艺流程升级( IORijt  )。 全球价值链中的工艺流程升级指的是对生产流程进行改进以提高 各生产环节的响应速度 ,通过重新组织生产系统或引入先进技术对其进行更新升级 ,更有效将投入转化为产出 。根据此定义,用各行业的投入产出比率来衡量工艺流程升级,公式如下:

\
 
      ( 2 )产品升级( IRTVijt  )。 产品升级指的是引入更复杂的加工技术和包装方法以推动产品进入 更复杂的产品线 ,而出口技术复杂度能较为合理地反映出一国出口产业或产品涵盖的技术水平 ,因 此,我们遵循已有文献的做法 [20],使用出口产品技术复杂度作为产品升级的代理变量,参考 Koopman ( 2014 )中对新显性比较优势指数的定义[21] ,构建行业层面的出口产品技术复杂度指数,公式如下:

\
 

       其中 ,HINRijt  为功能升级指标 ,表示 t 年份 i 经济体 j 行业的高附加值行业投入比率 ,该值越  大 ,意味着该行业已实现从低附加值生产活动为主转变为以整体技能含量较高的高附加值活动参  与全球价值链 ,则该行业的功能升级水平越高 。 Iiℎt  表示 i 经济体高附加值行业 ℎ 在 t 年的投入额 , TIijt  表示 i 经济体 j 行业在 t 年的总投入 。通过对各行业附加值率的计算 ,选取 C20~C22 、C26~C34  等 12个行业作为高附加值行业 。

 
       ( 4 )链条升级( GVCPijt  )。 参考 Wang( 2017b)对全球价值链平均生产长度的研究 ,定义全球价值  链地位指数为正向(至价值链末端)平均生产长度与逆向(至价值链起点)平均生产长度的比值[22] 。 公式如下:

\
 
       3. 控制变量 。为缓解变量遗失问题 ,选取以下七个控制变量:人均国内生产总值对数 ,以人均 国内生产总值的现价美元衡量 ;经济自由度 ,衡量经济体的制度环境与政策环境 ;专利申请量对 数 ,衡量经济体的创新能力 ;贸易条件指数对数 ,衡量经济体的贸易环境 ;外商直接投资水平 ,以标 准化后的对外直接投资净流入表示 ;行业规模 ,以行业产出总值对数计算 ;国内生产配套水平 ,以 生产部门消耗的中间品中国内配套的比重的对数来计算 。其中 ,行业规模和国内生产配套水平为 行业层面,其他控制变量均为国家层面 。

      (三)数据来源及描述性统计

       将 OECD-DSTRI 数 据 库 与 亚 洲 开 发 银 行 区 域 间 投 入 产 出 表( ADB-MRIO )进 行 匹 配 ,选 择2014 — 2020 年 38 个经济体 35个行业的“ 国家 -行业 -年份 ”三维样本数据集 ,观测总量为 9310 个 ,删 除缺失值后样本量为 8855 个 。数据维度 、数据来源以及描述性统计如表 1 所示 。

\
 
       五、基准回归结果及分析

       在基准回归之前 ,首先分别对模型进行 F 检验 、Breusch-Pagan  LM 检验以及 Hausman 检验 ,结果 显示 ,固定效应回归方法优于混合 OLS 及随机效应 ,为控制时间效应 、国家效应和行业效应对本模 型的影响,我们采用三维固定效应回归方法 。

       (一)基准回归

       由于我们的样本数据为平衡面板数据 ,为修正异方差和组内自相关问题 ,加入个体聚类稳健标 准误 。表 2 为基准回归结果 。

\
 
       表 2第( 1 )、( 2 )列显示数字服务贸易壁垒对工艺流程升级和产品升级存在显著的正向影响 ,此 为“保护效应 ”;第( 3 )、( 4 )列显 示数 字服 务 贸 易 壁 垒 与 功 能升级和链条升级 存在显著 的 负相关关 系 ,此 为“抑制效应 ”。参 与全球价值链 的发达 经 济体 利 用核 心 能 力 约束发展 中 经 济体企业 的 知识 创造与企业能力提升 ,使发展中国家面临“低端锁定 ”的风险 [24] ,中间品进口与企业自主研发存在显 著“替代 ”关系 ,进口投入品会阻碍本国企业的自主研发行为 [25] 。 因此 ,数字服务贸易壁垒一方面阻 碍数 字服 务 贸 易 ,进 口他 国数 字产 品 的难 度增 高 ,促进各 国 加 强本 国工 艺 流程升级 ,对产 品 线进行 优化升级 ,促进产品升级 ;另一方面 ,阻碍各国间进行数据流动 ,技术共享受阻 ,倒逼国内企业自主 进行技术攻关和创新,改进工艺流程 。
\

\
\
 
 
       控 制 变 量 方 面 ,人 均 国 内 生 产 总 值 和 行 业 规 模 对 全 球 价 值 链 升 级 的 影 响 显 著 为 正 ,与 预 期 相 符 。 需 要 说 明 的 是 ,经 济 自 由 度 、贸 易 条 件 指 数 的 系 数 均 显 著 为 负 ,这 可 能 是 由 于 经 济 自 由 度 越 高 ,贸 易条件越好 ,越 倾 向 于将 具体 的 生产 加工 环 节 外包给 其他 国 家 ,实现全球价值链升级 的 空 间 较 小 ;国 内 生产 配 套 水 平越 高 的 行 业 ,工 艺 技术 已 较 为 成 熟 ,产 品 线 也 较 为 完 备 ,实 现 工 艺 流 程 升 级和产品升级的空间较小 ,对功能升级和链条升级有显著促进作用;创新水平的提升有利于工艺流 程升级和产品升级的实现 。

       基准回归结果显示 ,数字服务贸易壁垒对全球价值链升级具有显著的双重影响效应 ,基本假设 得以验证 。
 
       (二)稳健性检验

       为保证实证结果的稳健性,从样本数据 、指标度量和计量方法三方面进行稳健性检验 。

       样本数据的稳健性检验主要是消除异常值的影响 ,对样本数据进行上下各 1%的缩尾以及剔除 新冠疫情暴发年 2020 年样本两种处理,计量结果如表 3 所示 。

       指标度量的稳健性检验是通过数字服务贸易壁垒和全球价值链升级的替代性指标实现 。 第 一 ,运用数字服务贸易监管异质性指数( DSTRIH ),构建行业层面的监管异质性指数( CDTRIHijt  )替 换解释变量 ,表 4 的( 1 )~( 4 )列报告了计量结果 。第二 ,考虑到数字服务贸易壁垒对全球价值链升 级的影响可能具有时间上的持续性和滞后性 ,我们将被解释变量滞后一期替换为原有被解释变量 加入模型估计,计量结果见表 4的第( 5 )~( 8 )列 。
 
       计量方法的稳健性检验 。 由于全球价值链升级的影响因素较多 ,可能存在解释变量遗留问 题 。此外 ,数字服务贸易壁垒可能同全球价值链升级之间存在双向因果关系 。针对内生性问题和 变量遗留问题 ,我们选取其他经济体的数字服务贸易限制指数的加权平均数作为数字服务贸易壁 垒的工具变量 [17] 并采取两阶段最小二乘法进行回归 。一方面 ,为应对他国制定的数字服务贸易壁 垒措施 ,本国会制定相应的数字服务贸易壁垒措施进行反制 ,这满足工具变量的相关性要求 ;另 一 方面 ,他国设置的数字服务贸易壁垒不会直接对本国的全球价值链升级产生影响 ,故满足外生性要 求 。计量结果如表 5 所示 。

\
 
       一系列稳健性检验结果显示 ,数字服务贸易壁垒的系数均显著且与基准回归结果的系数符号 一致,表明我们的估计结果稳健 。

       (三)异质性分析

       1. 经 济 体 发 展 水 平 异 质 性 。参 考 2020 年 联 合 国 发 布 的《世 界 经 济 展 望》和 世 界 银 行 的 分 类 标  准 ,我 们将样本 经 济体分 为发达 经 济体和发展 中 经 济体 ,构造 经 济体虚拟变 量 与解释变 量 交 互 项 , 加入基准回归模型 。表 6 显示 ,数字服务贸易壁垒对发达经济体和发展中经济体的工艺流程升级 、 产品升级都为显著正向影响 ,对功能升级和链条升级均为显著负向影响 。通过系数对比可以发现 , 数字服务贸易壁垒对发达经济体工艺流程和产品升级的保护效应以及对功能和链条升级的抑制效  应 均显著 高 于发展 中 经 济体 。可 能 的 原 因是 ,发达 经 济体参 与全球价值链 的方式 已脱离单纯 的 生  产加工环节 ,各行业的数字化升级改造相较发展中经济体更早更深入 ,因此发达经济体实现全球价  值链升级对数字中间产品的需求更大,数字服务贸易壁垒对价值链升级的影响效应更为显著 。

\
 
       2. 行 业 异质 性 。我 们 将 样本 数 据 中 35 个 行 业 分 别 分 为 制 造 业 和服 务 业 、数 字 行 业 和 非 数 字 行 业,构造行业虚拟变量与解释变量的交互项,对行业异质性进行检验 。

\
 
       表 7 上 半 部 分 为 制 造 业 与服 务 业 的 异质 性检 验 。 除 工 艺 流 程 升 级 ,数 字服 务 贸 易 壁 垒对 制 造 业 的产 品 升 级 、功 能 升 级 和 链 条 升 级 的 影 响 更 为 明 显 ,这 可 能 是 由 于 ,一 方 面 ,制 造 业投入服 务化 已 成 为 当前 经 济转 型 的典 型特征 ,对优质服 务要 素进 口 的 阻碍 势必会增 加制造业行业 的 引进和 学习国外数字技术的成本 ,倒逼国内加大对数字技术的开发 ,促进制造业产品升级 ;另一方面 ,数据 流动的限制会导致经济体无法使用最新数字技术进行高端中间品的制造与生产 ,抑制功能升级和 链条升级 。

\
 
       数字行业与非数字行业的异质性检验 。表 7 下半部分显示 ,数字服务贸易壁垒对数字行业的 全球价值链升级的影响效应更为显著 ,与预期相符 ,这是由于数字技术在数字强度高的行业的应用 率与渗透率更高 。

       3.数字服务贸易限制措施异质性 。利用 OECD-DSTRI数据库发布的五个细分政策领域的数字 服务贸易壁垒 ,进行数字服务贸易限制措施异质性检验 ,回归结果如表 8 所示 。总体来看 ,各类政 策措施对全球价值链升级均产生了显著影响 。贸易伙伴国间电子交易方式是否融通以及支付系统 是否兼容 ,是跨境贸易交付完成的重要前提 ,因此电子交易与支付系统对全球价值链升级的影响效 应最为明显 ;此外 ,开展数字服务贸易离不开数字基础设施的连接以及跨境数据的自由流动 ,因此 基础设施与连接对全球价值链升级产生了较大影响 ;若贸易伙伴国间缺乏良好的知识产权保护环 境,会直接遏制相关企业的进出口积极性,对链条升级产生非常显著的负向影响 。

       六、结论与政策启示

       我们运用最新发布的 OECD-DSTRI 和 ADB-MRIO数据研究发现:第一 ,总体而言 ,数字服务贸 易壁垒对全球价值链升级产生双重影响 。数字服务贸易壁垒会显著抑制全球价值链功能升级与链 条升级 ,显著促进工艺流程升级和产品升级 ;第二 ,经济体发展水平异质性分析显示 ,数字服务贸 易壁垒对发达经济体的全球价值链升级影响更大 ;第三 ,行业异质性分析显示 ,数字服务贸易壁垒 对制造业和数字行业的全球价值链升级影响比服务业和非数字行业更大;第四 ,数字服务贸易监管 措施异质性分析显示 ,五种政策领域的限制性措施对全球价值链升级均有显著影响 ,其中电子交 易 、支付系统和其他障碍的影响效应较其他领域更为明显 。这不仅印证了数字服务贸易壁垒对全 球价值链升级同时存在促进和抑制作用 ,也揭示了该影响效应在发达国家与发展中国家 、数字与非 数字行业 、制造业与服务业之间存在差异 。

       数字贸易蓬勃发展的今天 ,数字贸易自由化已成为国际经贸规则中不可忽略的议题 。我国作 为数字贸易大国 ,首先 ,应将外部压力转化为内部动力 ,对技术落后的产能进行筛查淘汰 ,倒逼中 低技术行业进行技术创新和产业数字化转型升级 ,建立针对该类企业的重大创新成果的补贴和奖 励制度 ,增加国内研发投入 ,重点培养数字技术人才 ,攻坚克难 ,从本源上进行技术创新升级 ;其 次 ,电子交易与支付系统对全球价值链升级的影响效应最为明显 ,因此在进行数字服务贸易的同 时 ,应加快同步电子交易方式和支付系统 ,如推广使用同一个电子交易系统和支付系统 ,不仅可以 大大节省更换电子交易平台和支付方式的时间 ,降低不同交易支付系统维护费用 ,还可以对平台和 交易内容集中监管 ,避免监管不力的情况 。最后 ,由于数字服务贸易壁垒对数字服务贸易的限制力 量远远强于传统的关税和非关税壁垒 ,因此政策制定者需立足全球视角 ,积极参与国际数字服务贸 易规则的制定 ,通过双边或多边谈判 、加快数字贸易政策合作等手段 ,科学合理地制定针对各国各 行业的数字服务贸易壁垒,使全球价值链升级达到动态均衡 、稳定增长的状态 。

       【参考文献】

       [1]  P.Antràa  and  D.Chor,Organizing  the Global  Value Chain[J].Econometrica,2013,81(6):2127-2204. 
       [2]  田文,张亚青,佘珉 .全球价值链重构与中国出口贸易的结构调整[J].国际贸易问题,2015(3):3-13.
       [3]  辛晴,刘伟全 .对外直接投资在全球价值链升级中的作用[J].国际经济合作,2011(2):91-94.
       [4]  罗军 . 生产性服务进口与制造业全球价值链升级模式——影响机制与调节效应[J].国际贸易问题,2019(8): 65-79.
       [5]  许家云,徐莹莹 .政府补贴是否影响了企业全球价值链升级?——基于出口国内附加值的视角[J].财经研究, 2019,45(9):17-29.
       [6]  李优树,唐家愉 .终端市场转移趋势下“一带一路 ”区域价值链与中国全球价值链升级研究[J].经济问题,2020 (6):1-7+40.
       [7]  Antras  P,Chor  D,Fally  T,et  al.Measuring  the  Upstreamness  of   Production  and  Trade   Flows[J].Ameri- can  Economic  Review  ,2012,No.3389,102(3):412-416.
       [8]  Miller  R  E,Temurshoev  U.Output  upstreamness  and   input   downstreamness  of   industries/countries   in world  production[J]. International  Regional  Science  Review,2017,40(5):443-475.
       [9]  Ferracane  M  F,Marel  E.Do  data  policy  restrictions   impact   the  productivity  performance  of  firms and  industries?[J].Review  of  International  Economics,2020,28(3):676-722.
       [10]  孟夏,孙禄,王浩 . 数字服务贸易壁垒、监管政策异质性对数字交付服务贸易的影响[J].亚太经济,2020(6): 42-52+147.
       [11]  周念利,包楠 .数字服务贸易限制性措施对制造业服务化水平的影响测度:基于 OECD 发布 DSTRI 的经验研究 [J].世界经济研究,2021(6):32-45+135-136.
       [12]  Ferencz  J,Frederic  G.Barriers  to  Trade   in  Digitally  Enabled  Services   in  The  G20[R].OECD  Trade  Pol- icy  Paper,No.232,2019.
       [13]  王孝松,吕越,赵春明 . 贸易壁垒与全球价值链嵌入——以中国遭遇反倾销为例[J].中国社会科学,2017(1): 108-124+206-207.
       [14]  丁一兵,张弘媛 .关税壁垒对中国嵌入全球价值链的影响[J].武汉大学学报(哲学社会科学版),2020,73(4): 93-108.
       [15]  Jonathan   Eaton   and  Samuel   Kortum.Technology,Geography,and   Trade[J].Econometrica,2002,70(5): 1741-1779.
       [16]  Dornbusch  R,Samuelson  S   F  A.Comparative  Advantage,Trade,and   Payments   in  a  Ricardian  Model  with a  Continuum  of  Goods[J].American  Economic  Review,1977,67(5):823-839.
       [17]  刘斌,赵晓斐 .制造业投入服务化、服务贸易壁垒与全球价值链分工[J].经济研究,2020,55(7):159-174.
       [18]  Humphrey  J,Schmitz  H.Governance  and  Upgrading:Linking   Industrial  Cluster  and  Global  Value   Chain Research[J].2000.
       [19]  Humphrey  J,Schmitz  H.How  Does   Insertion   in   Global   Value   Chains   Affect  Upgrading   in   Industrial Clusters?[J].Regional  Studies,2002,36(9):1017-1027.
       [20]  刘斌,王杰,魏倩 . 对外直接投资与价值链参与:分工地位与升级模式[J].数量经济技术经济研究,2015,32 (12):39-56.
       [21]  Koopman  R,Wang  Z,et al.Tracing Value-Added and  Double  Counting   in  Gross  Exports[J].American  Eco- nomic  Review,2014,104(2):459-494.
       [22]  Wang  Z,Wei  S.J,Xu X.D,Zhu   K.F,2017b,Characterizing  Global Value  Chains:Production   Length  and  Up- streamness[R].NBER  Working  Paper,No.23261,2017.
       [23]  Calvino  F,Criscuolo  C,Marcolin  L,et  al.A  taxonomy  of  digital   intensive  sectors[J].OECD  Science, Technology  and   Industry  Working  Papers,No.2018/14,2018.
       [24]  张慧明,蔡银寅 . 中国制造业如何走出“低端锁定 ”——基于面板数据的实证研究[J].国际经贸探索,2015,31 (1):52-65.
       [25]  Kortum  E  S.Technology,trade,and   growth:A  unified  framework[J].European  Economic  Review,2001,45 (4-6):742-755.
 
关注SCI论文创作发表,寻求SCI论文修改润色、SCI论文代发表等服务支撑,请锁定SCI论文网!
 

文章出自SCI论文网转载请注明出处:https://www.lunwensci.com/jingjilunwen/75852.html

相关内容

发表评论

Sci论文网 - Sci论文发表 - Sci论文修改润色 - Sci论文期刊 - Sci论文代发
Copyright © Sci论文网 版权所有 | SCI论文网手机版 | 鄂ICP备2022005580号-2 | 网站地图xml | 百度地图xml