Sci论文 - 至繁归于至简,Sci论文网。 设为首页|加入收藏
当前位置:首页 > 教育论文 > 正文

利用极限的保号性解决与极值点有关的函数问题论文

发布时间:2023-08-21 10:14:22 文章来源:SCI论文网 我要评论














SCI论文(www.lunwensci.com)

  摘要:与极值点有关的函数问题,近年来频频出现在高考试题中,例如2018年北京卷理科数学第18题和2018年全国Ⅲ卷理科数学第21题.特别是2018年全国Ⅲ卷理科数学第21题,该题题目简洁,但难度很大,官方的参考答案思维巧妙,逻辑严密,很难想到.本文通过深入探究,利用极限的保号性解决此类与极值点有关的函数问题.

  关键词:极值点;函数;保号性

  与极值点有关的函数问题,近年来频频出现在高考试题中,例如2018年北京卷理科数学第18题和2018年全国Ⅲ卷理科数学第21题.特别是2018年全国Ⅲ卷理科数学第21题,该题题目简洁,但难度很大,官方的参考答案思维巧妙,逻辑严密,很难想到.本文通过深入探究,利用极限的保号性解决此类与极值点有关的函数问题.
利用极限的保号性解决与极值点有关的函数问题论文

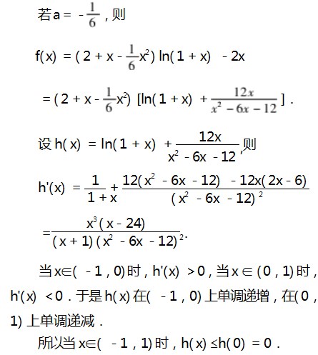
  首先给出本文要用到的几个引理.
利用极限的保号性解决与极值点有关的函数问题论文
利用极限的保号性解决与极值点有关的函数问题论文
利用极限的保号性解决与极值点有关的函数问题论文
利用极限的保号性解决与极值点有关的函数问题论文
利用极限的保号性解决与极值点有关的函数问题论文
利用极限的保号性解决与极值点有关的函数问题论文
利用极限的保号性解决与极值点有关的函数问题论文
利用极限的保号性解决与极值点有关的函数问题论文
利用极限的保号性解决与极值点有关的函数问题论文
利用极限的保号性解决与极值点有关的函数问题论文
利用极限的保号性解决与极值点有关的函数问题论文
利用极限的保号性解决与极值点有关的函数问题论文
利用极限的保号性解决与极值点有关的函数问题论文
利用极限的保号性解决与极值点有关的函数问题论文
利用极限的保号性解决与极值点有关的函数问题论文

  参考文献:

  [1]叶艳,赵思林.2018年高考数学全国卷Ⅲ理科21题思路发现[J].理科考试研究,2018,25(17):9-12.

关注SCI论文创作发表,寻求SCI论文修改润色、SCI论文代发表等服务支撑,请锁定SCI论文网!
文章出自SCI论文网转载请注明出处:https://www.lunwensci.com/jiaoyulunwen/61869.html
本文标签: 极值点 ,函数 ,保号性

发表评论

Sci论文网 - Sci论文发表 - Sci论文修改润色 - Sci论文期刊 - Sci论文代发
Copyright © Sci论文网 版权所有 | SCI论文网手机版 | 鄂ICP备2022005580号-2 | 网站地图xml | 百度地图xml