Sci论文 - 至繁归于至简,Sci论文网。 设为首页|加入收藏
当前位置:首页 > 教育论文 > 正文

利用函数思想比较大小论文

发布时间:2023-08-21 09:53:54 文章来源:SCI论文网 我要评论














SCI论文(www.lunwensci.com)

  摘要:文章主要从把字母看作变量或把代数式看作函数、利用函数的性质、根据结构构造函数比较大小和数形结合四个方面介绍了函数思想在比较大小问题中的应用.

  关键词:函数思想;数形结合;同构

  函数思想是用运动和变化的观点,分析和研究数学中的数量关系,建立函数关系或构造函数,运用函数的图象和性质去分析问题、转化问题,从而使问题获得解决.利用函数思想解题指的是一种意识,一种解题时的思维习惯,具体说就是用变量和函数的观点来思考问题.对于比较大小问题,我们利用函数思想去思考,往往可以起到简化的作用.
利用函数思想比较大小论文

  1把字母看作变量或把代数式看作函数
利用函数思想比较大小论文
利用函数思想比较大小论文

 

  定成立.

  本题答案为D.

  点评例1虽然用不等式的性质也很容易证明,但是利用函数的思想求解则是从另外一个角度看问题,这在例2中其优点就很明显,例2若是用不等式的知识求解就比较困难.

  2利用函数的性质比较大小
利用函数思想比较大小论文
 

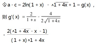
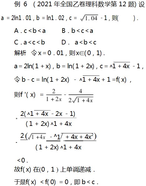
  3根据结构构造函数比较大小
利用函数思想比较大小论文
利用函数思想比较大小论文

 

  点评本题构造函数的方法称为同构法,同构法是目前高考比较热门的比较大小的方法.数学中的同构式是指除了变量不同,而结构相同的两个表达式.许多比较大小的问题,通过等价变形,可以转化为同构式,然后构造函数,利用函数的单调性求解.
利用函数思想比较大小论文
利用函数思想比较大小论文
利用函数思想比较大小论文
利用函数思想比较大小论文
利用函数思想比较大小论文

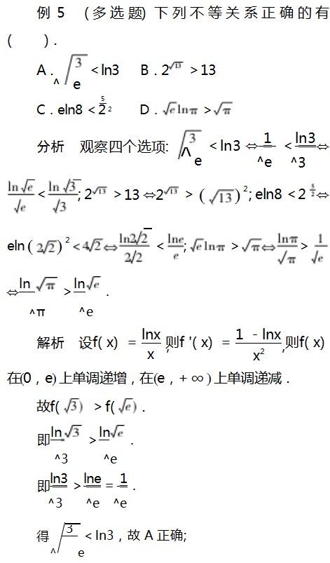
  4数形结合
利用函数思想比较大小论文
利用函数思想比较大小论文
利用函数思想比较大小论文

 

  点评本题四种解法,解法1仅仅是作为选择题的解题策略,其对于BC的正确性并没有真正证明;解法2的解法极大地依赖代数变形,不同的选项其变形方式不一样;解法3和解法4则是从函数这个统一的角度去思考问题,解法3借助函数增长速度(二阶导函数的符号),解法4从数形结合的角度思考.
利用函数思想比较大小论文
利用函数思想比较大小论文

  参考文献:

  [1]闫伟.例说指数与对数比较大小问题的求解策略[J].高中数理化,2020(Z2):30-32.

关注SCI论文创作发表,寻求SCI论文修改润色、SCI论文代发表等服务支撑,请锁定SCI论文网!
文章出自SCI论文网转载请注明出处:https://www.lunwensci.com/jiaoyulunwen/61866.html

发表评论

Sci论文网 - Sci论文发表 - Sci论文修改润色 - Sci论文期刊 - Sci论文代发
Copyright © Sci论文网 版权所有 | SCI论文网手机版 | 鄂ICP备2022005580号-2 | 网站地图xml | 百度地图xml