SCI论文(www.lunwensci.com):
摘要:在初中和高中的数学竞赛中,“整数解问题”是一类特别重要的题型.在初中数学联赛、高中数学联赛(一试)、高中自主招生考试、高校自主招生考试和“强基计划”中,都占据着重要的地位.本文详细总结整数解问题的一般方法,即“分离常数”“因式分解”两种最重要的方法.本文着重分析“因式分解”法在数学竞赛中的重要应用,充分剖析整数解问题的本质,为在数学上进一步深入学习打下坚实基础.
关键词:数学竞赛;整数解问题;分离常数;因式分解
1整数解问题的一般方法
在初高中的数学竞赛和高中自主招生考试中,整数解问题是最热门的题型之一.整数解问题一般方法分为三种:
1.1分式类型的整数解问题
对于分式类型的整数解问题可以利用分离常数法进行求解.
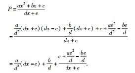
(1)对于分式P=

其中x为整数,P为整数,a,b,c,d为常数.
通过分离常数进行变形:
一般情况下

为整数,则

必为整数,从而分母cx+d是分子

的整因数.从而可以求解出来.
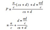
(2)若P=其中x为整数,P为整数,a,b,c,d,e为常数.
可以通过平方差公式进行分离常数的变形:
从而转化为上述的解答方法.
1.2一元二次方程的整数解问题
对于一元二次方程的整数解问题可以设出根的判别式,利用平方差公式进行因式分解.
例如,对于关于x的一元二次方程ax2+mx+c=0有整数解(a,c均为整数),m为整数,且m是参数.
则Δ=m2-4ac必定是一个完全平方数.从而设Δ=m2-4ac=n2,(n为自然数)则m2-n2=4ac.
所以(m+n)(m-n)=4ac.
由于a,c,m都是整数,n是自然数,所以(m+
n),(m-n)必然是4ac的整因子且其奇偶性相同.从而可以求得m,n的值,最后代入求根公式求解x的值.
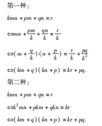
1.3形如kmn+pm+qn=r(m,n为参数且m,n是整数,k,p,q,r为常数)的二元二次方程的整数解问题
对于形如kmn+pm+qn=r(m,n为参数且m,n是整数,k,p,q,r为常数)的二元二次方程的整数解问题可以直接进行因式分解.对于这一类的因式分解,有两种方法进行变形.
转化为第二种进行求解.
如果k,p,q,r为分数,则可以先转化为整系数代数式进行求解.
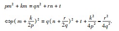
1.4形如pm2+km=qn2+rn+t(k,p,q,r,t为常数,m,n为参数且m,n为整数)的二元二次方程
对于形如pm2+km=qn2+rn+t(k,p,q,r,t为常数,m,n为参数且m,n为整数)的二元二次方程,
首先进行配方,得到关于m,n的平方项.

然后利用平方差公式将m,n的代数式进行因式分解,转化为上述的的情况.
2典型例题剖析
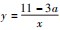
例1设a是正整数,如果二次函数y=2x2+(2a+23)x+10-7a和反比例函数

的图象有公共整点(横坐标与纵坐标都是整数的点),求a的值和对应的公共整点.
分析该题来自于2007年全国初中数学联赛二试的压轴题,是一道很典型的整数解问题.将两个方程联立,得到一个关于x的一元三次方程,所以第一个关键点在于找到三次方程的一个有理根,然后再将该三次方程进行因式分解,得到关于x的一元二次方程,把题目转化为一元二次方程的整数解问题.最后就可以利用上述平方差的方法进行因式分解,求得最终结果.
如果两个函数图象有公共整点,则方程①必有整数根,从而方程②中关于x的一元二次方程x2+(a+12)x+11-3a=0③必有整数根.所以方程③的判别式Δ是一个完全平方数.
当a=39时,方程③为x2+51x-106=0,其根为2或-53,则可得两个函数图象的公共整点为(2,-53)或(-53,2).
当a=12时,方程③为x2+24x-25=0,其根为1或-25,则可得两个函数图象的公共整点为(1,-25)或(-25,1).
例2已知二次函数y=x2+bx-c的图象经过两点P(1,a),Q(2,10a).设二次函数y=x2+bx-c的图象与x轴的交点为A,B,与y轴的交点为C.如果关于x的方程x2+bx-c=0的两个根都是整数,求△ABC的面积.
分析该题来自于2010年全国初中数学联赛二试压轴题.首先通过消元将参数b,c均用a的代数式表示.这是很关键的一步,为第二问做好铺垫!该问的最关键点在于利用根与系数的关系表示方程的两个根m,n,再将参数a消去,得到关于m,n的二次方程,然后再利用二元二次方程的因式分解方法进行求解.
例3二次函数f(x)=x2+x+11图象上是否存在这样的点,其横坐标是正整数,纵坐标是一个平方数?如果存在,求出这样的点的坐标;如果不存在,请说明理由.
分析该题来自于2011年高中数学联赛湖北省预赛,难点在于第二问的整数解问题的转化:设出点P坐标(m,n2)后,得到关于m,n的方程,此时需要注意,由于方程中含有m的一次项而没有n的一次项,所以首先将关于m的代数式进行配方,得到关于m的平方项,然后再利用平方差公式进行因式分解,就可以求出最后的结果.

所以函数y=f(x)的图象上存在符合条件的点,其坐标为(10,121).
在整个中学数学竞赛中,整数解问题层出不穷,在各大高校的自主招生、强基计划中也屡见不鲜.因此理解并学会利用“因式分解”这一最基本也是最重要的方法是必须的.在解答这类题目时,我们需要注重数学思想方法的激活与运用,不能过于关注“述”,而轻视“法”、忽略“道”,更加要关注题设的条件和解答的方法,更需要通过回顾与反思,来理解题目中的本质结构.因此,我们需要更加用心钻研,总结经验和方法,这样才能一通而百通.
参考文献:
[1]董磊.数学思想方法的价值和意义[J].中学数学教学参考,2018(29):46-48.
[2]包丽鸥.解法对比重在求“深”求“透”[J].中学数学教学参考,2018(17):27-28+37.
[3]范浙杨.初中数学竞赛中整数解问题的求解方法[J].中学数学研究,2006(12):44-47.
关注SCI论文创作发表,寻求SCI论文修改润色、SCI论文代发表等服务支撑,请锁定SCI论文网!
文章出自SCI论文网转载请注明出处:https://www.lunwensci.com/jiaoyulunwen/47731.html