SCI论文(www.lunwensci.com):
摘要:着眼于研究三角的历史名题,好的数学问题组能激发学生探究数学的欲望,本节课选取的三角历史名题从古到今,有一个共性,它们都揭示了三角函数是刻画周期现象的数学模型.本节课是一节复习课,也是一节大家平时教学中不太重视的一节课.本人想通过这节复习课,既让学生感受到历史名题的魅力,更加让学生体会到贯穿三角单元中最重要的三角函数性质是周期性,周期性带动三角函数的其他性质,没有周期性其他性质没有附着点.
关键词:三角;历史名题;周期性
1引言
三角函数对比其他基本初等函数,它的对应法则与它们不一样,理解三角函数的意义需要数形结合,吃透三角函数那么多的性质也是不容易的.所以,对于刚刚学完三角函数这章的同学们而言,很需要三角单元复习课帮助他们深入理解三角这个模块的知识,在深入学习中不断提升自己的数学核心素养.三角单元复习的知识点比较多,一节课容量比较小,故本节课选取三角函数周期性这个点入手,对三角单元进行深入学习.我们可以创设物理、生物等自然界中的周期现象的情境,来深入体会三角函数是周期函数.
2教学片段与实施
高一学生学完三角函数这章,大部分学生不知道三角的相关数学史,通过下面两道历史名题,激发学生深入理解与研究三角的兴趣,体会到三角函数是研究社会生活中周期现象的数学模型,并且有着广泛地应用.
历史名题1测量地球的直径是埃拉托色尼一直想干的事情,他选择了亚历山大(A)和塞恩(S)两
个地方.夏至时他在亚历山大树立直杆AB(垂直于地球表面),测出正午时直杆的影长AC.他了解到在夏至这一天正午,太阳位于北回归线的正上方,此时塞恩恰好近似位于北回归线上(实际上是在北回归线偏北),故射向S的光线经过地心O.他测得∠CBA等于周角的
因为光线可以看作平行,因此得出∠AOS=7.2°.故亚历山大与塞恩之间的距离是地球大圆圆周的
通过商队的行走时间,可以知道两地之间的距离大约为5000斯塔德,故得地球大圆圆周约为250000斯塔德,即为39375km,由此推算地球半径,得6266km.这与真实值非常接近.
问题1:阅读完上面的历史名题,你有哪些感受?生1:古人真的敢想,动手试验创新能力很强,应该也试验了很多次,遇到困难没有放弃,所以平时我们在数学解题中遇到难题时要想方设法解决,不可轻易放弃.
生2:这个历史名题涉及到弧长,角度,半径之间的关系,埃拉托色尼测出地球半径后,如果我们知道角度,就可以算出任意两地之间的距离.这让我想到了弧度数公式,即δ.φθ=90°-φ-δ
设计意图1.天文学的研究促使三角学的发展,三角学与天文学关系紧密;2.涉及角与弧长,体会三角的研究对象是角与边;3.如果我是学生,我会觉得那个时候的人很厉害.4.考查学生对应用题的阅读理解能力以及数学抽象数学建模能力.
基于以上的历史名题,我们新教材课后有一道习题与此题图像类似,我称其为历史名题改编题,提供给各位读者继续思考,如下:
历史名题改编题1在地球公转过程中,太阳直射点的纬度随时间周而复始的变化.
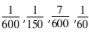
假设地球表面某个地方正午太阳高度角为θ,δ为这个时候太阳直射点的纬度,φ为当地的纬度值,则这些量满足θ=90°-φ-δ.某科技小组以某年春分(太阳直射赤道且随后太阳直射点逐渐北移的时间)为初始时间,统计了连续400天太阳直射点的纬度平均值(太阳直射北半球时取正值,太阳直射南半球时取负值).下面这些是该科技小组的三处观测站成员在春分后第45天测得的当地太阳高度角数据:
请根据数据完成上面的表格(计算结果精确到0.001)
设计意图学生需要阅读理解上述材料,对于有些学生而言是有困难的,必要时刻老师给予提醒与帮助,但大部分学生有了上一题埃拉托色尼测地球的直径的体验后,学生对解决这题有了经验.本题让学生体会到三角函数是刻画周期现象的数学模型,并且三角学与天文地理关系紧密.现实生活中存在大量具有周而复始、循环反复特点的周期运动变化现象,如果某种变化着的现象具有周期性,那么就可以考虑借助三角函数来解决.
历史名题2国科大发出最具想象力的录取通知书.让学生聆听来自宇宙深处的声音!2020年8月10日,中国科学院大学发出首封本科生特殊的录取通知书,一起送到的是一张黑胶光盘,来自宇宙深处的声音刻录在这张光盘上.这些声音是由该校老师学生通过“中国天眼”FAST捕获的15颗脉冲星信号,且经过转换和小限度处理后,以现在音频的形式展现在大家面前.这其中,13颗脉冲星信号是首次向全世界公布.
问题2:听完这来自宇宙深处的声音之后,有什么感受?
生3:听觉上此起彼伏,感受上很震撼.
生4:图像上看起来是正弦函数,但又不完全是.
师:这里涉及到大学里的傅里叶级数,现在向大家动画形象演示傅里叶级数原理.
设计意图周期函数产生了我们生活中美妙的音乐.声音中包含了正弦函数,每一个音都是由纯音合成的,纯音的数学模型是y=A sinwt,音有四要素:音调、响度、音长和音色.这也都与正弦函数的参数相关,希望激发学生学习周期函数的兴趣.
历史名题改编题2如左图(1)所示的是某次试验测得的交变电流i随时间t变化的图像.将测得的图像放大,得到右边图像(2).
求电流i随着时间t变化的函数解析式;(2)当t=0

时,求电流i.
生5:由交变电流的产生原理我们得知,电流i
随时间t的变化规律可用i=A sin(wx+φ)来刻画,其中
表示频率,A表示振幅,φ表示初相.由图可知,电流的最大值为5(A),因此振幅A=5,电流变化的周期为
(s),频率为50Hz,即=50,所以w=100π,再由初始状态(t=0)的电流约为4.33A,可得sinφ=0.866,因此φ约为
所以电流i随时间t变化的函数解析式是i=5 sin(100πt+
),t∈[0,+∞),所以第二问的解决就相对而言容易多了.
设计意图交变电流是理想化的运动变化现象,可以用三角函数模型准确地描述它的运动变化规律.学生解决这道题相对而言比较容易,鼓励学生多多发言.通过这个题目给我们启发,历史名题2所呈现的问题背景是多么的让学生震撼,那么我们怎么样改编可以让目前的高中学生接受呢?我想这个题给我们提供了线索,我们可以截取声波中部分图形,将其放大,结合傅里叶级数简单的部分进行命题.这其中当然少不了信息技术的运用,所以作为当代教师必须具备较高的知识素养和责任当担,让我们的研究继续传承下去.
3设置自主探究环节,让学生分组自主研究课本习题
自出生之日起,呈周期变化的有人的体力、情绪、智力等心理、生理状况.根据心理学家的统计,人体节律分为体力节律、情绪节律和智力节律三种.这些节律的时间周期分别为23天、28天、33天.每个节律周期又分为高潮期、临界日和低潮期三个阶段.以上三个节律周期的半数为临界日,这就是说11.5天、14天、16.5天分别为体力节律、情绪节律和智力节律的临界日.
设计意图人体是一个包含多种周期运动的生物体,医学上把周期为24小时的生理运动称为中周期运动,如血压、血糖浓度的变化;小于24小时的叫短周期运动,如心跳,脉搏;大于24小时的叫长周期运动,如人的情绪、体力、智力等.
创设情境,博古通今解三角应用题.整节课创设历史名题这样的情境,跟学生之间的互动一问一答,历史名题的选取从古到今,把类似的历史名题放到一起让学生对比研究学习.不能想当然,觉得周期性很简单,在教学过程中就有意识的忽略它,而是要让学生明白周期性属于三角函数,尽管别的函数也有周期性,但是我们要让学生脑海中一想到周期性就马上浮现三角函数.这样的题组教学是很有必要的,有名题的引领,生活情境的渗透,让学生明白生活和数学密不可分.
基于历史名题的三角单元复习课的教学实践仍处于摸索阶段,希望通过此文能抛转引玉,吸引更多的研究者去实践研究,让三角函数单元知识能更加系统的呈现在学生面前.
参考文献:
[1]人民教育出版社,课程教材研究所,中学数学课程教材研究开发中心.普通高中教科书数学必修第一册[M].北京:人民教育出版社,2020:242.
[2]周龙虎,王博.核心素养视域下数学历史名题的教学探讨[J].中国数学教育报,2020(3):28-31.
关注SCI论文创作发表,寻求SCI论文修改润色、SCI论文代发表等服务支撑,请锁定SCI论文网!
文章出自SCI论文网转载请注明出处:https://www.lunwensci.com/jiaoyulunwen/42251.html