Sci论文 - 至繁归于至简,Sci论文网。 设为首页|加入收藏
当前位置:首页 > 教育论文 > 正文

浅谈微课在相控阵天线教学中的应用论文

发布时间:2020-01-06 10:38:58 文章来源:SCI论文网 我要评论














SCI论文(www.lunwensci.com):

摘要:本文简要介绍了相控阵天线主要学习内容,分析了学习相控阵天线工作原理的重点和难点,根据实际情况设计教学过程,并提出结合微课形式,完成相控阵天线原理的教学,激发学员学习兴趣,提高授课质量与效果。

关键词:相控阵天线;微课;教学

本文引用格式:安婷,等.浅谈微课在相控阵天线教学中的应用[J].教育现代化,2019,6(36):156-159,163.

Discussing the Application of Micro-course in Phased Array Antenna Teaching

AN Ting,HAN Chun-hui,ZHU Sai

(Shijiazhuang Campus of Army Engineering University,Shijiazhuang,Hebei)

Abstract:this paper introduces the wide application of phased array radar,and analyses the key points and difficulties in learning the working principle of phased array antenna,then puts forward that the principle of phased array antenna should be taught in combination with the form of micro-lectures,so as to improve the quality and effect of classroom teaching,stimulating students’interest in learning.

Key words:Phased array antenna;Micro-lectures;teaching

一引言

        第二次世界大战推动了雷达技术的快速发展,随着现代战场环境的复杂程度不断加深,对雷达提出了很多严格要求[1]。传统的机械扫描雷达扫描速率慢,不具备大功率的搜索能力,并且很难进行多目标跟踪[2]。后来新型雷达克服了这些缺点,这就是相控阵雷达,它具有扫描速率高、方式灵活的特点,而且可以同时扫描、跟踪多个区域、目标。因此,近年来相控阵雷达正在大量地取代传统机械扫描雷达,广泛地应用于陆基、海基、机载雷达等领域[3]。我校致力于培养陆军装备维修保障优秀人才,随着相控阵天线在雷达中的广泛应用,使学员充分理解相控阵天线的波束形成原理和扫描原理,将为学员完成雷达装备维修保障任务,适应岗位需求,奠定良好的理论基础。

二 相控阵天线教学

       相控阵天线教学分为基本组成、工作原理、装备实例三个方面。其中,装备实例更多的将在装备实践课程中介绍,这里不再赘述。基础理论课的教学重点在前面两个部分,我们重点分析一下教学内容和教学难点。

(一)教学内容

        如图1(a)所示,相控阵天线是由许多辐射单元按照一定方式排列所构成的阵列天线,各单元的幅度激励和相位关系可控[4]。在天线单元后端设置有移相器用来改变单元之间的相位关系,信号幅度变化则通过功率分配或衰减来实现。

\



       如图1(b)所示,相控阵天线工作原理的教学内容包含两个重要的原理,一个是方向图乘积原理,用来推导出面阵的空间能量表达式,从而绘制天线方向图并计算出波瓣宽度、副瓣电平、方向系数等天线参数;另一个是电扫描原理,通过改变面阵各单元之间的相位关系,改变波束指向,实现波束在空间中的扫描。

(二)教学重难点分析

       借助移相器、衰减器教具和实物图片展示,相控阵天线的基本构成是较为直观的。特别是,学员通过训练和学习,已经认识到现代武器装备中相控阵雷达的广泛应用,他们对相控阵天线的基本组成已经有了一个前期认知。因此,通过课堂上讲授式教学,相控阵天线的基本组成是容易被学员学习和掌握的。教学的重点和难点集中在相控阵天线的工作原理。作为教学重、难点,原理讲解离不开面阵空间能量表达式的推导和绘制天线的方向图,特别是演示各辐射元馈电相位的改变引起波束指向的变化情况。根据以上分析,现将教学过程中的难点总结如下。

\

 
1.数学公式推导繁琐冗长
2.推导出来的公式不够直观
3.碎片化知识较多

(三)教学设计

        针对以上教学内容和教学重难点分析,我们进行了相控阵天线教学设计,简单总结于表1中。由机械扫描雷达且无法跟踪多个目标的缺点入手,引出扫描速率高、波束灵活的相控阵雷达。举例现阶段的实训装备上的相控阵天线,观察其辐射单元、移相器、衰减器或功分器。充分运用图片、动画、视频等多媒体教学手段,帮助学员建立关于相控阵天线的直观认识。利用方向图乘积原理求面阵的空间能量表达式时,要注意使用启发式教学,先从单个电源入手,分析M元直线阵的空间能量表达式,进而把直线阵看成是一个辐射元,求解面阵的空间能量表达式。这样引导学员的思路,减少公式推导的枯燥感和乏味感。值得注意的是,推导出来的公式不够直观,很难直接想象到天线的方向图,因此借助MATLAB仿真软件按照已经推导出的空间能量表达式将天线方向图绘制出来,对学员理解表达式是有很大帮助的。通过以上教学分析和教学设计,从方法上解决了教学过程中数学公式推导繁琐冗长和推导出来的公式不够直观这两个难点。从形式上来看,如何使原理课看起来轻松、易懂,能在有效时间内抓住学员的注意力是我们面临的一个难题。本文拟采用近年来运用广泛、充分融合多媒体技术、对碎片化知识教学效果良好的“微课”形式来解决。因此将上述教学方法与微课这一新兴的教学手段巧妙地结合是讲好相控阵天线的关键。


\

 


3.借助MATLAB仿真软件绘制天线方向图

三 微课在相控阵天线教学中的应用

(一)微课简介


        微课是指运用信息技术按照认知规律,呈现碎片化学习内容、过程及扩展素材的结构化数字资源[5]。微课教学时间较短,教学视频是微课的核心组成内容,一般为5~8分钟左右,最长不超过10分钟。微课虽然短小,比不上传统课程宏大丰富,但微课能将问题聚集,一个微课讲解一两个知识点,主题突出,更适合教员的需要。课程资源中可以使用文字、图片、声音、视频等多种媒体信息,是最有利于学生学习的一种资源形式[6]。

(二)微课与相控阵天线教学

       按照传统课堂的讲授方法,从相控阵天线的应用到基本组成再到工作原理,教学活动至少需要2个学时。前面我们分析了相控阵天线学习的主要内容、重难点进行了分析,也对微课的定义和特点进行了介绍。接下来,简单阐述微课与相控阵天线教学的结合。

         1.由实际装备中的应用入手,自然地引出主题。近年来,愈来愈多的先进武器都装备了相控阵雷达。图2为相控阵雷达在实际装备中的应用实例,各图片为微课“相控阵天线波束形成原理”的视频截图。如图2(a)所示,我国空警系列预警机装备的相控阵雷达可实现360°全方位探测,并同时引导几十架战斗机实施攻击;又如图2(b)所示,被誉为“中华神盾”的052C、052D型导弹驱逐舰,也因使用了先进的相控阵雷达,形成了多通道防空打击能力。可以看出,相控阵雷达已经成为了现代武器装备中不可或缺的一部分。相控阵雷达克服了传统机械扫描雷达扫描速度慢、无法进行多目标的缺点,它具有扫描速率高、方式灵活的特点,而且可以同时扫描、跟踪多个区域、目标[7]。

         2.问题聚焦空间能量分布表达式,突出点→线→面主线。以实训装备为例,讲解相控阵天线基本组成,并将相控阵天线抽象成为如图3(a)所示的各辐射元馈电幅度和相位可控的矩形阵。然而,直接分析矩形面阵并写出面阵空间能量分布表达式难度太大,因此我们将问题简化,假设各辐射元为无方向性天线,并从单个电源开始分析,如图3(b)所示,单个无向天线在空间各向的辐射即强度是相同的,因此其电场强度复矢量可记为1即E=1。如图3(c)所示,继续求两个辐射元组成的二元阵,在空间各向的辐射强度,以此类推,可得初始相位相同的 M 个辐射单元以等间距排成直线阵的空间能量分布表达式。最后, 我们将 M 个辐射元排列成的直线阵看作是一个辐射单元,并将N个这样的辐射单元排成一行,如图3(d)所示,按照前面线阵的分析很容易地就可以写出这个“行阵”的空间能量分布表达式,并考虑上初始相位,这就是将相控阵天线抽象成为各辐射元馈电幅度和相位可控M×N面阵的空间能量分布表达式。

\

\
 

3.将MATLAB仿真融入教学过程,使得抽象问题形象化。

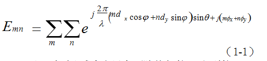
      前面我们沿着点→线→面的思路完成了面阵空间能量表达式的推导,该表达式见式(1-1)。

\


         可以看到公式中变量有面阵的行数m和列数n,各行之间的初始相位增量φx,各列之间的初始相位增量φy,变量多且整个公式稍显复杂,导致学员无法直观地看到面阵的方向性与各变量之间的关系。这里我们引入MATLAB仿真,将复杂抽象的公式变得简单直观。如图4(a)所示,该图展示了面阵的方向性与面阵行数m和列数n之间的关系,显然随着面阵行数和列数增多,即辐射元个数增多,面阵的方向图越来越窄,方向性越好。图4(b)展示了面阵的方向性与各行、各列之间初始相位增量φx、φy关系,通过此图我们看到当面阵各辐射元的初始相位完全相同即φx=φy=0时,面阵的最大辐射方向垂直于面阵;当各行、各列之间的辐射元初始相位增量φx、φy为一固定值时,面阵的最大辐射方向将偏离其垂直方向一个角度。图4(c)展示了各行之间的相位增量φx线性渐变,各列之间的相位增量φy为一固定值时,方向图的变化,观看视频会明显地看到波束在面阵的方位面进行扫描。图4(d)展示了各列之间的相位增量φy线性渐变,各行之间的相位增量φx为一固定值时,方向图的变化,观看视频会明显地看到波束在面阵的俯仰面进行扫描。这样把MATLAB仿真融入教学过程,将学员难以理解知识点,展示出来,用形象直观的方式辅助课堂教学,提高授课质量。

(三)充分利用微课的优势,在有效学习时间内抓住学员注意力

         相控阵天线教学涉及前面学习过的多个知识点,碎片化知识较多。不仅如此,由相控阵天线工作原理总结相控阵天线的特点,进一步总结相控阵雷达优优势时,知识点也较为碎片化。在这里我们充分利用了多媒体技术,如图5(a)所示,利用视频、动画来说明问题,使得知识点可视化、帮助学员更好地回忆前面知识点;再看图5(b),在最后的总结部分,按照相控阵天线原理→相控天线特点→相控阵雷达优势这条主线,将碎片化知识在短时间内进行串讲,符合学员的学习规律,有助于提升教学效果。


\

\


四 小结

        本文简要介绍了相控阵天线主要学习内容,分析了学习相控阵天线工作原理的重点和难点。通过将微课形式与教学内容合理结合,并充分利用微课的优势,在有效学习时间内抓住了学员注意力,提高了授课质量与效果。

参考文献

[1]杨建宇.雷达技术发展规律和宏观趋势分析[J].雷达学报,2012,1(01):19-27.
[2]李均阁.雷达技术发展综述及多功能相控阵雷达未来趋势[J].甘肃科技,2012,28(18):19-22.
[3]金林,刘小飞,李斌,等.微波新技术在现代相控阵雷达中的应用与发展[J].微波学报,2013,29(Z1):8-16.
[4]江天洲.相控阵雷达发射数字波束形成的设计与实现[D].西安电子科技大学,2014.
[5]王晓芳.微课建设的研究与思考[J].科技视界,2015(34):230.
[6]陈健华.基于微课的自主学习策略研究[D].上海师范大学,2017.
[7]王凯.多功能相控阵雷达跟踪系统关键技术研究[D].南京理工大学,2013.

关注SCI论文创作发表,寻求SCI论文修改润色、SCI论文代发表等服务支撑,请锁定SCI论文网!
文章出自SCI论文网转载请注明出处:https://www.lunwensci.com/jiaoyulunwen/10463.html

发表评论

Sci论文网 - Sci论文发表 - Sci论文修改润色 - Sci论文期刊 - Sci论文代发
Copyright © Sci论文网 版权所有 | SCI论文网手机版 | 鄂ICP备2022005580号-2 | 网站地图xml | 百度地图xml