SCI论文(www.lunwensci.com):
摘要:本文通过模拟实际经营中的相关案例,对未实施FTP境外中小银行信贷定价的非信用因素进行讨论,得出了货币错配、期限错配、固浮错配以及非计划提前还款四个关键影响因素,并对这些因素进行了深入分析,最终提出了相应对策和管理方案。
关键词:定价;错配;非信用;补偿机制
一、背景介绍
与大中型银行不同,境外小型银行或大型银行的境外分支机构在吸收大众储蓄存款时,不具备规模效应,其负债业务来源渠道较为单一,使得其只能通过市场直接融资实现资产负债业务的匹配。同时,由于资产业务发生的时点具有不确定性,银行的前台部门在对业务进行报价、定价时难以准确把握市场资金来源的动向(Joel Grant,2011)。尤其是在中长期信贷业务中,某些币种的流动性缺乏,导致无法直接筹资进而使定价的流程复杂化。因此,梳理影响未实施FTP(Funds Transfer Price,内部转移价格)机构的非信用风险定价影响因素,将帮助这些机构有效提升管理能力,明晰经济资本回报来源。本文拟从境外中小银行最常见的实例入手,分析影响定价的因素。
二、实例介绍
日前,前台部门接到一笔业务咨询,该笔业务的借款币种为CHF(瑞士法郎),借款期限5年,客户同意以3%/annual(一年一度的)的固定利率或CHF 3M Libor+2.5%的方式进行计息。该客户在金融机构的评级为AAA级,属优质客户,贷款期限安排较为强势,要求能随时偿还。客户经理根据内部管理办法进行测算EVA(Economic Value Added,经济附加值),在考虑了税务成本、信用风险补偿后,发现只有年化平均收益率在0.8%以上时,EVA才能实现盈亏平衡。
根据负债筹集部门的反馈,目前市场上很难直接筹集到5年的CHF,只能通过筹集5年期USD+CRS/Swap/IRS筹资,同时,即使使用USD筹资,5年期流动性也较差,市场挂单较少。经询价,USD固定利息以及USD/CHF CRS实现五年CHF固息融资的成本为2.3%;5年期USD 3M Libor以及USD/CHF CRS实现5年CHF 3M Libor筹资,融资成本为3M Libor+1.9%;显然,这两种筹资方式都无法达到EVA盈亏平衡的目的。但客户经理发现,如果通过将使用USD 3M/ANN的方式筹集5年期的USD成本为1.1%,本行目前筹集3M USD的成本为3M Libor+0.3%,USD/CHF货币掉期5年期成本为0.1%,这样看来,总的筹资成本就是3M Libor+1.5%,收益为1%,大于0.8%的盈亏平衡点,该笔业务收益符合行内规定,可以参与。两年后,客户提出提前还款。这个项目真的可以参与吗?这个定价过程是否有遗漏?值得进一步探讨。
三、中长期业务定价中的关键因素
从上面的例子中,可以总结出以下四个关键点:币种错配、期限错配、固浮错配、非计划提前还款(AntonioCastagnaetc,2013),以下将对四个关键点进行固定其他变量,单一变量讨论。
1.币种错配
对于负债筹集部门而言,非常规币种(美元以外的币种)负债,往往较难以优惠的价格或精确的时间点筹集到。因此,在业务定价中,需要面临的第一个关键点即是资产-负债币种错配(ShyamVenkatetc,2016)。在控制其他变量的情况下,可以将总的筹资成本拆分成两个部分,即:美元筹资成本和币种错配成本。
(1)美元筹资成本
如上述例子中,负债部门可以通过市场筹集到指定期限固定或浮动计息负债,筹资成本为:固定利率为年化IL-FIXED-N;浮动成本为每期计息周期的Libor值加上筹资的spread,L-FLOATING-N=LiborL+SpreadL。
(2)币种错配成本
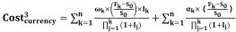
在将融资取得的USD转换为CHF的过程中,一般可以采取三种方式,一是保留所有的敞口;二是在满足套保要求的情况下,通过互换将本金的汇率成本在期初明确,三是通过互换将本息的汇率风险全部在期初明确。那么货币错配以美元计价的成本Costcurrency可以做如下考虑:
保留敞口:
IK表示第k期的利率,当期利率乘以当期天数除以
360,即:
Ij表示自第1期到第k期的利率,计算方式与上相同;
SK表示第k期利息支付时的即期汇率;
S0表示业务开展时的即期汇率;
ωK表示第k期剩余本金比例;
αK表示第k期偿还本金比例(只有在还款时才不为零)。
互换本金:
FK表示业务开展前,通过远期货币互换协议确定的第k期利率支付时的汇率。
互换本息:
(3)收益分析
在只考虑币种错配成本时,一笔资产的收益可以考虑为:
固息:
浮息:
筹资成本:
利息收入:
资产收益:
DK是指在第k个计息周期经过的天数,Libork是指在第k个计息周期期初所确定的利率,N为贷款总天数。
在另外三个条件固定的情况下,期初唯一不确定的是货币互换成本。影响货币错配成本的因素共有6个,其中,

,四个是在业务期初就可以确定的;IK及Ij在固息业务中可以直接确定;浮息业务中随着Libor的变化而波动,但由于分子分母都涉及,且数值较小,整体影响小;Sk随USD/CHF的即期汇率波动,影响最大。
2.期限错配
在讨论期限错配前,需要对错配进行简要的讨论。由于正常情况下利率曲线是upward sloping(上升型)的,近端利率小于远端利率,金融机构可以通过筹集短期资金,投资长期资产,只要短期资金能合理安排滚续周期,可以实现有效套利,即使短期资金出现滚续障碍,金融机构也可以通过出售长期资产或以长期资产作为押品融得资金,解决短期流动性需求。
在2005年以后,Bear Stearns、Northern Rock等机构在次贷危机爆发前,将Repo或短期筹资作为其主要的筹资渠道购买美国市场的MBS,其Repo的押品为MBS债券,由于Repo利率和MBS收益率间的价差较大,这些金融机构在危机爆发前,收益十分可观。当危机爆发时,接受以MBS作为押品的Repo大幅下降,Bear Stearns等机构无法进行Repo滚续筹措资金,使得其流动性进一步紧张,导致机构间市场谣言四起,进一步致使愿意与Bear Stearns等机构进行交易的对手减少,使得其最终流动性枯竭,成为金融危机爆发的导火索。
此后,巴塞尔委员会在提高核心资本充足率的基础上,进一步提出了对流动性管理的要求,即LCR和NSFR等,这使得银行在进行期限错配的时候受到更多监管限制。目前在多数金融机构对其是以限额形式进行管理,且期限越短,限额要求越严格,错配成为提高收益率的宝贵资源(ShyamVenkatetc,2016)。因此,无论是贷款投放部门还是债券交易部门,都应该树立期限错配并非免费的这一概念,在考虑资产收益率和EVA时应扣除本机构一定期限的平均错配收益率。关于平均错配收益率的计算目前采用较多的是回溯预测法,具体步骤为,确定回测时间段,如过去1年、半年等;计算与所有资产全部期限匹配的筹资成本;将所有错配额度按照时间段起始,进行逐一错配回测得到收益P1;按照第二日作为起始日继续进行测算,得到Pn;根据P1-Pn运用统计估计得到平均错配筹资成本,用无错配成本减去错配成本平均值得到错配收益率;将此方法运用于过去更长时间段,得到完整错配收益率经济周期波动情况,据此预测当期及未来错配收益率。
当然,如果该资产在提供收益率外,还提供了其他属性,例如,高流动性资产,那么该资产的平均错配收益率可以一定比例折扣。为了进一步讨论方便,本文将平均错配成本设为固定值△。
(1)浮息期限错配
如果拟投资的资产是浮息计息(如:3M Libor+Spread的5年期USD资产),显然不可能采用固息筹措负债,那么负债筹措一般也会采取不大于浮息计息周期的浮息进行滚续筹资方式(如:1M,3M浮息USD),具体收益分析如下。
筹资成本:
利息收入:
资产收益:

是指负债在第k个计息周期的选取的年化Libor值,

是指负债在第k个计息周期经过的天数,

是指负债在第k个计息周期筹资成本超过该期限Libor值的部分。由于负债可以采取不同期限的筹资,例如,1M+3M+1M+2M……等,因此,负债的Libor期限是可以不固定的。

是指资产在第j个计息周期选取的年化Libor值,

是指负债在第j个计息周期经过的天数,由于筹资期最后会等于负债期,因此筹资总天数会等于负债总天数,也就是

和

相等。同时,资产的计息周期和spread在期初就已经确定了,那么

和

也是在期初就已经确定了。
影响资产收益率的因素,可以分解为四个,而利息收入的spread在贷款初期就已经确定。同时,前台部门在定价考虑期限错配的时候,不应该在浮息资产中考虑短于计息周期的错配方式,毕竟更短期限的错配额度附加流动性补偿作用的可能性更高(Peter&Sylvia,2013)。那么利息收入和负债的浮息计息期限随之固定,Libor值固定也下来,且保持一致。因此,
影响资产收益率的唯一因素是负债筹资的spread:

。
(2)固息期限错配
对于固息业务,负债端的期限选择是以不定期的期限进行滚续,资产端期限和固定端利率均已确定,但同时资产端也可以由对应期限的IRS进行固转浮。具体转换方式可以通过固定成本5年期USD+IRS的方式进行人工合成3M浮息资产为例:
原则上,直接5年3个月浮息计息的筹资

应该等于上述

,否则市场上存在套利空间,套利将使得两个spread最终一致。同样,如果市场上只能观测到浮动利率,也可以通过人工合成形成固定利率。
那么,固息期限错配的成本及收入可以测算如下:
筹资成本:
利息收入:
资产收益:
由于将资产的收益率人为地与负债的筹资期限匹配,因此,筹资和利息的Libor一致,可以对冲,

则代表对应期限的利率互换支付固定成本。
由上可知,在固息期限错配中,影响资产收益率的因素中在期初无法确定有两个,一是

,;二是

。按照套保要求,通常我们在期初就必须确定负债错配期限方式,例如,3M负债错配5Y资产,那么

也可以确定,影响资产的唯一因素仍为

。
3.固浮错配
因远端利率大于近端利率,固浮错配与期限错配在错配方式上有相似之处,即:只有资产固定与浮动负债错配。在固浮错配中,浮动负债的筹资期限与资产一致,计息方式不一致。我们仍以前述为例,具体情况如下所示:
筹资成本:
利息收入:
资产收益:
由上可知,在业务开始时,spread和利息收入利率都已经确定,唯一不确定的因素即是Libor值的变化:

。
4.非计划提前还款
向客户发放一笔贷款,可以近似看作金融机构购买了客户平价发行的一笔债券,债券价格即贷款本金。当利率上升时,贷款市值(债券价格)下跌;当利率下降时,贷款市值(债券价格)上涨。如果我们在给予客户提前还款权时,相当于我们在购买债券的同时,向客户出售一份行权价为贷款本金(债券发行价)的美式看涨期权(ISAD,2009),一旦利率下降,贷款市值(债券价格)上升,客户即有可能行权,以贷款本金购买我行手中市值高于贷款本金的债权。因此,无论我行的筹资方式如何,是否通过衍生品锁定交易期间,在给予客户提前还款权时,都应该对其额外征收费用,不应该免费出售一份看涨期权。对这份美式看涨期权进行合理定价,需要了解客户提前还款的原因。
(1)影响客户提前还款的因素
利率水平。正如前述所分析,利率下降将导致客户提前还款意愿增强。但同时,利率水平的变化程度需足以覆盖该笔贷款的流动性溢价后,客户才会考虑提前还款。即:提前还款后再筹资节省的成本是否能够覆盖再融资各项交易、法律费用和管理成本,是否能弥补其流动性暂时空缺的损失。因此,公司结构及业务程序越复杂,交易繁琐程度越高,担保及抵质押办理转移难度越大,该笔贷款的流动性溢价越高,其提前还款可能性越小。
贷款种类。一般而言,不同贷款种类的提前还款可能性呈现如下情况,经营周转类贷款大于高杠杆项目贷款(例如,并购类、股权投资类)大于全周期建设类封闭管理贷款(例如,PPP项目、电站建设)。因为经营周转类贷款的还款来源日常经营,灵活性高,对借款人来说其流动性统筹安排较容易,可以在市场多家机构筹集资金,更容易提前归还。对于高杠杆类项目贷款,借款人承担的是劣后级的投资,优先级融资成本的下降,为其来带来的收益是远超过其流动性溢价的。以一笔资本金投入为1,融资为4的并购为例,项目融资成本下降100bps,对于资本金投入方来说,其税前收益提高400bps,这使得其再融资的降成本冲动很高。同时,财务类并购融资目的是赚取财务收益,他们对于“麻烦”的认识与一般经营公司不同。对于全周期建设类封闭管理项目贷款,其首要还款来源为项目本身产生的现金流,这个现金流是相对稳定的,提前还款的可能性不大。即使有富余现金流产生,只要能在满足DSRA充盈的情况下,允许其分红,其还款意愿会处于较低水平。
非利益性因素。某些企业在特定时点上会选择提前偿还部分贷款以降低其负债水平,达到监管、市场披露、其他资金筹措渠道要求的需要。虽然这种提前还款与利率水平关系不大,但企业仍会选择违约成本最低的贷款进行偿还。
破产清算。如果贷款发生信用风险,业务管理的首要目标即是全额回收约定本息。
(2)提前还款权的补偿方式
对于提前还款权的补偿,一般可以采用两种方式,一是在贷款文件中明确,由于提前还款造成的再投资风险及衍生品平仓风险均由客户全额承担,这种方式其实可以理解为客户只是拥有了提前还款时点决策权,与不允许提前还款并无太大差异。这种定价方式对于流动资金贷款和杠杆融资并购类客户较为适用,可以使得客户形成breaking cost的提前预期。另一种方式是将这种定价包含在利率定价中,并不与客户单独约定breaking cost条款。
(3)利率包含定价策略
针对提前还款权的定价,可以通过以下步骤进行考虑。
确定基准。参考该客户在市场上发行同期限的可赎回债券与一般债券之间的利差作为定价基准。如该客户未发行类似债券,则可以在市场上观测同行业相同评级客户形成的call bonds OAS作为定价基准。如未能观测到相同评级客户,则可以使用二叉树法对现有市场上具备评级的同行业客户OAS进行反推。具体方法为,首先,通过目前市场上已有的OAS、spot rate、
price和LGD推算其PD;然后将推算出的PD与金融机构内部现有同等评级的客户进行比较,通过同比例增减,推测出拟融资客户的预期PD;最后,将预期PD带入二叉树中可以求得拟融资客户的OAS。此方法包含假设多,存在一定误差。同时,BSM模型并不适用于固定收益类期权定价,固收产品的价格波动一般不满足布朗运动,其利率与价格也存在密切关系。前述三个方法的准确性依次递减。
定价调整。由于基准OAS是在较高流动性水平下的定价,对于贷款的提前还款权,前台部门还应该补充考虑以下三个方面。一是期权的类型。如果市场上可赎回债券的类型为欧式期权、百慕大期权等,那么给予客户美式期权则通常要求更高的回报;二是由于贷款流动性远小于客户在市场上发行的可赎回债券,我行作为唯一交易对手,自然要求更高的OAS回报;三是由于基准OAS一般是基于利率进行定价的,影响客户提前还款的其他因素也应要求更高的补偿,具体来说,还款方式灵活的贷款、信用风险相对较大的客户以及贷款投放前可能受监管影响的客户都应该要求更高的溢价补偿。这三个方面的溢价要求可以通过按比例上调OAS进行测算。原则上定价调整应该按照其流动性溢价进行详细测算补偿,但测算该部分的工作投入产出比低,使用按比例上调的方式更具经济性。
(4)收益测算
在给予客户提前还款权的情况下且不考虑衍生品交易扳平损益的前提下,收益率应为:
资产收益:
前台部门在业务报价和计算内部EVA时,应充分考虑提前还款的成本。
四、结论
由上分析可知,影响前台部门业务收益率的错配因素主要包括三个因子:

,且他们之间的影响存在一定程度的相互依赖。因此,前台部门在业务拓展中,把握这三个因素的影响,并在定价过程中充分考虑其关联关系,将有助于信贷资产的合理定价,实现高效合理的利润增长和资产风险补偿。
参考文献
[1]张岩.地方性银行贷款定价的依据——基于微观视角的研究[J].金融论坛,2019,282(6):41-53.
[2]马政.LPR定价机制下中小商业银行贷款定价模型构建与应用[J].金融纵横,2020,501(4):68-75.
[3]李博.城市中小银行贷款定价研究[D].山东大学,2013.
关注SCI论文创作发表,寻求SCI论文修改润色、SCI论文代发表等服务支撑,请锁定SCI论文网!
文章出自SCI论文网转载请注明出处:https://www.lunwensci.com/falvlunwen/37429.html