Sci论文 - 至繁归于至简,Sci论文网。 设为首页|加入收藏
当前位置:首页 > 教育论文 > 正文

基于ARCS动机理论的《R 软件及其应用》课程教学改革与探索论文

发布时间:2021-08-13 14:45:59 文章来源:SCI论文网 我要评论














SCI论文(www.lunwensci.com):

摘 要:《R 软件及其应用》课程是应用统计学和大数据分析专业开设的课程,为提高该课程的教学效果,本文提出基于 ARCS(Attention、Relevance、Confidence、Satisfaction)理论的课程教学改革,具体以随机抽样内容为例, 列举了基于 ARCS 动机理论的随机抽样教学设计;并通过 2016 级和 2017 级应用统计学专业课程期末考试成绩进行假设检验,结果表明改革后的教学方法下的成绩显著高于传统的教学方法下的成绩。

关键词:R 语言;假设检验;ARCS 教学模式

本文引用格式:尚云艳 , 高艺琳 , 王超 , 等 . 基于 ARCS 动机理论的《R 软件及其应用》课程教学改革与探索 [J]. 教育现代化 ,2020,7(105):84-87.

teaching reform and exploration of r software and its application Based on arcs motivation theory
SHANG Yunyan,GAO Yilin,WANG Chao,SUN Hao(College of Science,Xijing University,Xi'an Shaanxi)

Abstract:R software and  its  application is  a  course for  the  major of Applied Statistics and  big  data analysis. In  order  to improve the teaching effect of the course, this paper proposes a teaching reform based on ARCS(Attention、Relevance、Confidence、Satisfaction) theory. Taking random sampling content as an example, it lists the random sampling Teaching design

based on ARCS Motivation Theory,  and  passes the 2016 grade The results show that the score of the reformed teaching methodis significantly higher than that of the traditional teaching method. Key words:R language; Hypothesis test; ARCS teaching mode

一 引言

R 语言是一套完整的数据处理、计算和制图软件系统,它的功能包括了简单的或复杂的数据存储和处理以及运算、制图和分析,可操纵数据的输入和输出,实现分支和循环。《R 软件及其应用》课程主要向学生讲解 R 语言如何学习和使用 [1]。

《R 软件及其应用》课程共 8 章内容,32 个教学学时,每周2 个学时,共 16 个教学周。由于软件语言讲授内容的特殊性 --- 代码繁多,教师讲解时间占比大导致学生练习时间少,或学生练习时间占比大导致教师讲解少,又造成学生逻辑不清楚,所以有必要对该课程的教学设计模式进行改革,争取找到最佳的教学设计模式应用于该课程,从而提高教学效果。

(一) 教学现状分析

1)学生课堂注意力不集中
由于教学环境的差异,学生只能通过听老师讲和阅读教材熟悉本节课的内容,于是很容易走神, 从而影响注意力,而且《R 软件及其应用》课程在教学过程中,教师的讲解只占到 20%-30%,很多学生恰恰就在这个时间段没有认真听讲,那么在后续教学环节中根本无法完成相应的学习任务,从而形成恶性循环,未能在学习中体验成功,就很难再进行独立的学习和进步。       

2)课程学习兴趣很难保持
有些高校并没有单独开设这门课程,而是将 R 语言的学习穿插在其他课程当中。单独开设《R 软件及其应用》也是帮助学生学习的更系统更全面。可是由于课程的自身特点,学生的学习兴趣很难保持,在面对大量程序代码时,即便刚开始学生产生了极大的学习兴趣,但很快也会因枯燥的代码编写而减退,所以对教师来讲,如果提高学生对学习的自信心,使得学生能够在学习中有机会体验成功, 从而也将激发学生的学习动机。

3)课余时间的学习缺乏动力
由于课程任务量相对较大,很难保证每节课都能让学生充分的完成上机操作练习,这就意味着有大量的学习任务需要学生在课下完成,可是在脱离教师的管控范围之外,如何让学生依然能认真且高效的完成相应知识点的练习任务。

(二) 学情分析
以应用统计学专业 2015 级和 2016 级学生为调研对象,调研时间是 2019 年 3 月 1 日 -7 日。通过“关于应用统计学专业学生统计软件学习情况的调查” 发现,R 软件是学生使用次数最多,掌握最熟练的人数比例只占到 25.81%,而 Excel 软件占比却相对较高为 40.32%。课程评价中 , 只有 25% 的学生认为R 软件课程的学习是有帮助的,近 75% 的学生评价则较低 , 认为略有帮助或没有帮助。对 R 软件教学的建议中:增加学生上机操作练习、加强教师讲解的生动程度、教学内容应以加强应用性、增加统计软件实验的机会,以上选项的比例均在 65% 以上。

二 ARCS 模型概述

(一) ARCS 动机教学设计模式的含义
ARCS 模型是一种教学设计模型,该模型关注的是如何通过教学设计来提高学生的学习动机的问题,所以也称为 ARCS 动机教学设计模式,它是以“激励课堂动机”为核心的动机教学模式 [2,3]。在该模式中, 影响学习的动机有四个因素, 即注意(Attention)、贴切性(Relevance)、自信心(Confidence) 和满足(Satisfaction), 取每个英文单词的第一个字母 , 简称为 ARCS。

(二) ARCS 的理论框架图

\
图 1-1 描述了个人特征和环境对三类行为反应(努力、绩效和满意)的影响。绩效输出可归结为三个阶段 : 努力是对任务的投入程度 , 表征了动机的强度 , 可通过合理的外部设计和管理对个人好奇心、动机、期望加以引导而进行调控。绩效作为我们最关注的部分 , 是个人知识技能、学习过程管理和努力协同作用的结果。高绩效会带来成就的满足(满意)。外部反馈和自我正确的评价 , 可使成就感增强 , 进而反作用于动机、期望 , 形成持续的激励而促使学习者投入更多努力。

(三) ARCS 动机教学设计模式在《R 软件及其应用》课程教学改革中的运用分析

《R 软件及其应用》课程中引入ARCS 动机教学设计模式后 , 教师应该有新的教学设计理念,即以学生为主体;分析每节课前学生的学情,即理论基础知识是否已经足够,该掌握的技能是否已经完全掌握;分析教材内容,即涉及到哪些概念、哪些方法以及方法的应用; 教学知识目标的重新梳理,即哪些教学内容需要了解、哪些内容需要掌握等;实施教学过程;最后教学反思, 教学的组织方法或案例的选择等方面有待改进 [4-8]。

具体来讲,教学过程应分为三个阶段,首先, 引入新课阶段,通过特色案例和在电脑上演示,学生看老师如何按步骤编写代码,学生在该过程中能体会到逻辑思维,在老师不断提示思考“这一步的关键是什么”或“下一步需要做什么”等问题,对学生进行知觉唤醒、探究唤醒、并维持学生的注意力, 激发学习动机和好奇心。

其次,体验阶段。学生经过代码的编写,带着对结果的期望查看真实结果,若期望与实际一致,则成功获得分析结果,这将增强学生学习的自信心,从而学生投入的努力更多,成功输出的越多,自然会达到高绩效。通过学生的自我学习和自我管理,不断的明确学习目标,实现动机匹配,增加内容的熟悉度。

最后,反馈阶段,通过学生的自我反馈和评价, 更令其容易感到满意,从而又再次激发学习动机和好奇心,由此形成一个良好的循环,便达到了教学设计的目的。

三 教学设计

为了体现 ARCS 动机理论在《R 软件及其应用》课程中的应用,本节以课本中第 4 章第 5 节随机抽
样的Metropolis-Hastings 算法( 简称M-H 算法) 为例, 按照 ARCS 教学理论原理进行教学设计如表 1 所示。

\
 
四 实证分析

为更好的研究两种教学方法下的教学效果,分别以应用统计学专业的 1601 班和 1701 班作为研究对象,以 1601 班为实验组,以 1701 班为对照组,对照组采用 ARCS 动机教学设计模式进行教学。学期末实行了课程摸底考试。从期末考试结果中随机选取 20 人的考试成绩,具体成绩如下表 2 所示。

\

对考核成绩做两独立样本 t 检验,具体采取以下步骤:
第一步:假定 16 级全体学生的平均成绩为 1 , 17 级全体学生的平均成绩为 2 ,于是建立假设:
H0 : 1 =2 ;H1  : 1  2

第二步:选择统计量。
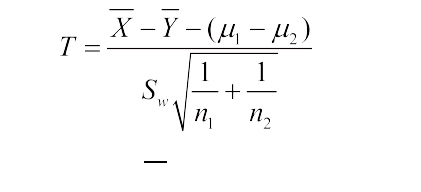
根据两独立样本(方差相等时) t 检验可知, 统计量为

\
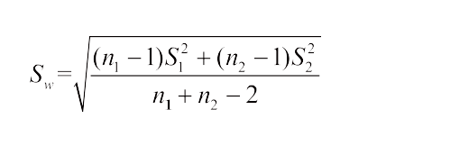
其中: x 是 16 级学生成绩的样本平均数, y 是 17 级学生成绩的样本平均数, n1  、 n2 是两个班级的样本容量,且 n1   n2  20 , Sw 是样本方差,且
 \

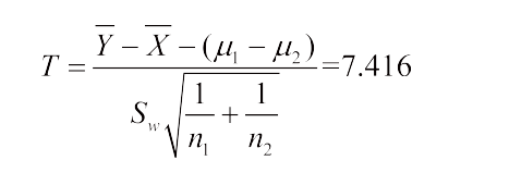
第 三 步: 假 设 显 著 性 水 平   0.05 , 那 么t0.025 (38)  2.0244 。  

第四步:作统计决策。计算统计量的值
 \
可见 T  t0.025 (38) ,于是拒绝原假设 H0 , 即 17 级的课程成绩显著高于 16 级的课程成绩,表明采用ARCS 动机教学设计模式的教学方法能够提高学生的学习成绩。

五 结论与建议

利用 ARCS 动机教学设计模式应用注意以下几点:

(一) 教授课本案例,使案例从生冷变得鲜活起来
教师在设计问题情景时,不是照着书本讲案例, 而是结合案例将操作步骤按照逻辑生动地在电脑上演示出来,让学生完整浏览如何通过软件编程解决实际问题的过程,展现在学生面前的不再是冷冰冰的课本,而是活生生的案例,这样不仅能让学生学会问题的求解方法,还能启发学生类似问题的思维方式。

(二) 引导学生学习,设置问题结点串联成教学内容
教学内容进度的把控,学生之所以放弃学习, 很大程度是因为对所学内容不理解,因此在教学内容讲授过程中尽量能设置一些问题结点,如果学生能顺利完成各个结点问题,则表明学生对所学知识逐步接受。

(三) 激励学生学习,使学生学习从“被动”变“主动”
以激发学生学习动机为目的,在“网络课程平台”中增加知识点模块,知识点系列为选择题、填空题和简答题,题目的编制力求新颖、经典和实用, 编制 200 道目以随机对应到知识点系列中,要求学生按照学习进度完成相应测试,以提供给学生课余练习的机会。

参考文献
[1]纳丽萍. 基于ARCS 动机模型的在线课程教学设计策略探讨[J]. 甘肃科技 ,2020, 36(19): 70-72.
[2]王佳佳 , 赵娟 .ARCS 动机理论在案例教学中的运用 [J]. 现代职业教育 ,2020(27): 176-177.
[3]易祯 , 吴美玉 .ARCS 模型在基于雨课堂的混合式教学中的应用研究 [J]. 中国教育信息化 ,2020(06):16-21.
[4]陈鸿 , 殷凤梅 . 基于 ARCS 动机模型的《C 语言程序设计》课程教学设计研究 [J]. 电脑知识与技术 ,2019,15(29):173- 174+181.
[5]肖海鹏 , 谢铭瑶 . 基于 ARCS 理论的《计算机基础》微课课程设计 [J]. 电脑知识与技术 ,2015,11(17):96-97.
[6]白红英 , 王慧 , 马丽 . 应用型高校以实践为中心的《C 语言程序设计》混合教学模式研究 [J]. 教育现代化 ,2020(52):177-181.
[7]王会勇 , 唐士杰 .C 语言程序设计研讨式教学探讨 [J]. 教育现代化 ,2020(53):174-176.
[8]陈嶷瑛 , 胡吉朝 , 李文斌 , 等 . 基于 BlOOM+ARCS 模型的 C 语言程序设计教学模式探索 [J]. 计算机教育 ,2017(09):145- 148.

关注SCI论文创作发表,寻求SCI论文修改润色、SCI论文代发表等服务支撑,请锁定SCI论文网!

文章出自SCI论文网转载请注明出处:https://www.lunwensci.com/jiaoyulunwen/32324.html

发表评论

Sci论文网 - Sci论文发表 - Sci论文修改润色 - Sci论文期刊 - Sci论文代发
Copyright © Sci论文网 版权所有 | SCI论文网手机版 | 鄂ICP备2022005580号-2 | 网站地图xml | 百度地图xml