Sci论文 - 至繁归于至简,Sci论文网。 设为首页|加入收藏
当前位置:首页 > 理工论文 > 正文

一种多功能支撑剂性能评价与现场应用论文

发布时间:2025-01-22 11:43:18 文章来源:SCI论文网 我要评论














  摘要:针对有利于改善水力裂缝远端支撑并良好配伍,从悬浮、减阻、水解3方面评价了一种多功能支撑剂的性能及现场应用情况。实验表明,支撑剂不借助外加增稠剂就能在清水中均质悬浮,静态悬浮率≥60%,远高于常规支撑剂悬浮率;支撑剂外层覆膜水化后具有复合减阻作用,可实现清水配置减阻;在较高温度下,复合支撑剂混砂液自身加速水化,水解后黏度≤3 mPa·s。该多功能支撑剂现已在中、深非常规储层完善应用,在降低井口泵压、提高单井产量方面具有较好效果。
 
  关键词:远端支撑,单井产量,高泵压,悬浮,降阻,水解
 
  0引言
 
  低渗储层特别是页岩油气增产,水平井压裂是必要手段。形成复杂水力裂缝并有效支撑是改造的重点目标。为提高水力裂缝复杂性、降低开发成本、降低储层伤害,主流压裂主要采用密切割布缝完井、低黏液小粒径大排量低砂比连续加砂的完井及压裂工艺技术,但由于低黏液携砂能力有限,不能实现水力裂缝主缝远端及次级裂缝的有效支撑,最终表现为压后产量不及预期。中、深储层压裂还面临作业高泵压、105 MPa设备泵压窗口窄的难题。在工艺技术方面,KERN等[1]、张争[2]、周德胜等[3]、RAIMBAY等[4]、孙堃[5]、ZHOU等[6]、郭建春等[7]等先后进行了平板裂缝、裂缝粗糙度、大型平板、分支裂缝平板等物模和固-液两相等数模(如CFD-DEM、TFM)实验,揭示了支撑剂在水力裂缝内的运移特征:形成初始砂丘、砂堤形态演变、砂堤形成、砂堤延伸4个主要过程[8];促进颗粒充填分支裂缝的有效措施依次为提高压裂液携砂能力>大排量液体段塞>提高施工排量>减小颗粒粒径>降低施工砂比,为压裂工艺技术优化提供了依据,提出了间歇式铺砂压裂工艺[8]、较高流速+较高黏液+低砂比与较低流速+滑溜水+高砂比的泵注程序[9]等解决思路。在入井原材料方面,罗志锋等[10]发明了一种逆相变材料,该材料可在较高温度下由液态变为固态,实现对水力裂缝中部和端部的支撑。武元鹏等[11]发明了一种高携砂易返排水基压裂液,各种压裂液携砂性能的提高,也有利于支撑剂提高输送距离。葛云枝等[12]梳理了压裂支撑剂的研究进展,超低密、自悬浮、液体支撑剂等新型支撑剂有利于提高支撑水力裂缝的长度。黄博等[13]研究了自悬浮类支撑剂的增产机理,缝内支撑剂无明显砂堤,支撑剂运移远,提高了水力裂缝导流能力。国内在2014年开始自悬浮支撑剂的研究工作,产品性能不断提升,本文从室内试验评价、现场应用出发,从悬浮、减阻、水解3方面评价了一种多功能支撑剂的性能及现场应用情况。该支撑剂现已在中、深非常规储层完善应用,在降低井口泵压、提高单井产量及EUR方面具有较好的效果,现阶段具备规模推广应用的潜力。
 
  1多功能支撑剂制备
 
  多功能支撑剂主要由常规压裂用石英砂经两次覆膜制成。制备过程分为两个步骤,第一,将石英砂进行第1次覆膜处理,形成结构覆膜层,提高其承压能力达陶粒级别;第二,采用优选的树脂材料将一次覆膜强化后的支撑剂进行第2次覆膜处理,形成水溶涂覆层,使其在使用时具有悬浮的能力。具备悬浮能力的支撑剂,使其悬浮的措施大多都采用树脂类覆膜处理[14]。
 
  2多功能支撑剂性能评价
 
  除支撑剂常规检测项目外,针对多功能支撑剂的特殊功能,开展悬浮能力、降阻能力以及水解能力实验评价。
 
  2.1支撑剂常规技术参数评价
 
  由于采用特殊涂层,多功能支撑剂的密度为2.5 g/cm3左右,低于陶粒,与石英砂基本相当;承压能力达陶粒级别,常用粒径抗压强度达86 MPa,如表1所示,远高于普通石英砂,具备深层、超深储层应用的能力。

\
 
  中石油下属某分公司开展了支撑剂系统评价,其中40/70目评价结果如表2所示,结果符合石油行业标准SY/T 5108—2014《水力压裂和砾石充填作业用支撑剂性能测试方法》[15]。
 
  2.2悬浮能力
 
  常用两种粒径多功能支撑剂10%砂比在滑溜水中10s静态悬浮率可达60%以上,实验评价结果如表3所示,远高于常规石英砂、陶粒按同样标准测试的悬浮率。

\

\
 
  2.3降阻能力
 
  相同的携砂液体系(变粘滑溜水体系)相比,能够实现更高砂比携砂,提高加砂强度与支撑剂铺置浓度;另外,复合支撑剂混砂液摩阻低,按照实验标准测试的15%砂比配置的复合支撑剂与清水的混砂液减阻率>60%,如表4所示,可以显著降低现场压裂施工压力。
 
  配方:0.1%压裂液用稠化剂改性聚丙烯酰胺SD2-13+15.5%多功能支撑剂+清水(浸泡4 h)。
 
  2.4水解能力
 
  地层温度≥70℃,无需额外添加破胶剂。降粘后无任何固相残渣,评价结果如表5和表6所示,对储层无伤害,岩心伤害率显著小于胍胶破胶液,如表7所示。在地层一定温度下具有彻底水解能力。
 
 \
 
  同时,进行导流能力评价,在相同支撑剂铺置浓度下,多功能支撑剂导流能力略低于陶粒,但完全满足生产需求,实验评价结果如图1所示。

\
 
  除此之外,多功能支撑剂混砂液可以适应矿化度≤15 000 mg/L返排液(地层水矿化度14 277.30~22 120.30 mg/L时,5个不同矿化度水样的多功能支撑剂的悬浮率>90%),既适用于较高矿化度的地层水,也为返排液的重复利用创造了条件。
 
  3多功能支撑剂现场应用
 
  多功能支撑剂泵注添加与常规支撑剂类似,无特殊要求。由于成本考虑,特别是具备石英砂替代的储层,支撑剂一般只部分采用多功能支撑剂,重点应用于水力裂缝远端及次级裂缝支撑,以及同时实现窄泵压窗口下安全加砂。
 
  3.1现场实施简况
 
  多功能支撑剂已应用几年,并在矿场应用中不断完善。其中,国内某页岩气区块X10平台开展了多功能支撑剂平行对比试验,参数如表8所示,该平台目的储层水平段垂深3 200~3 300 m,最小水平主应力约65 MPa。与X10-1井和X10-3井对比,X10-2井和X10-4井采用尾追方式添加多功能支撑剂(40/70目,抗压强度86 MPa),两井共压裂56段。
 
 \
 
  具体实验方案设计:
 
  (1)X10-1井和X10-3井采用(70/140目)石英砂+(40/70目)陶粒组合施工,比例大约8∶2;
 
  (2)X10-4井石英砂与多功能支撑剂的比例大约8∶2,与矿场石英砂与陶粒的常用比例也相同,便于多功能支撑剂是否应用的效果对比;
 
  (3)X10-2井石英砂与多功能支撑剂的比例大约5∶5,提高多功能支撑剂应用规模,便于多功能支撑剂不同应用规模的效果对比。
 
  3.2现场实施效果
 
  3.2.1降阻降泵压效果
 
  多功能支撑剂加砂阶段施工压力明显低于石英砂加砂阶段施工压力,如表8中主体泵压。以X10-2井第3段压裂施工曲线为例,如图2所示,石英砂加砂阶段施工泵压为84~87 MPa,多功能支撑剂加砂阶段施工泵压为77~80 MPa,虽砂比略低于石英砂 (70/140目),但自悬浮支撑剂粒径更大(40/70目),相应施工压力却比石英砂低4~10 MPa,多功能支撑剂表现出良好的降阻特征。

\
 
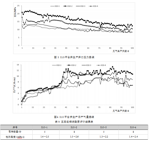
  3.2.2远支撑提产效果
 
  从压后生产曲线对比可知,采用多功能支撑剂的X10-2和X10-4井压力保持更高,如图3所示;产量更高,如图4所示。反映充当连接井筒与储层之间桥梁的水力裂缝闭合后,X10-2和X10-4井的水力裂缝产生了更好的连通性,间接证明它们的水力裂缝有效支撑更远,使得油气渗流到井筒阻力更小、更容易。多功能支撑剂规模更大的X10-2井压力保持最好、产量最高,但相较于X10-4井提产效果较小,说明存在一个最优的支撑剂配比关系。
 
  3.2.3返排液水解效果
 
  为了明确多功能支撑剂在实际使用中对混砂液破胶的影响,压后对平台4口井进行返排液黏度测定,4口井初期黏度均接近3 mPa·s,随着排液进行,黏度逐渐下降,使用多功能支撑剂的压裂井,其返排液与未使用井黏度无明显差异。从返排液黏度可知,如表9所示,多功能支撑剂覆膜水解能力与压裂液相当,不会影响返排。

\
 
  4结语
 
  (1)多功能支撑剂通过先后两次特殊材料覆膜,在提高其承压强度至陶粒级别的同时,外层覆膜遇水产生絮状水化层,实现降低沉降速度,固体减阻的作用;水解后无任何固相残渣,对储层无伤害。
 
  (2)室内评价及现场应用表明该多功能支撑剂具备悬浮、降阻、水解的能力,应用效果好,实现了水力裂缝远端支撑。
 
  (3)尾追多功能支撑剂的加砂模式合理。成倍增加多功能支撑剂使用规模,但提产幅度较小,后续需继续工艺研究并结合矿场试验,总结优化出最优多功能支撑剂配比。
 
  参考文献:
 
  [1]KERN L R,PERKINS T K,WYANT R E.The mechanics of sand movement in fracturing[J].Journal of petroleum technology,1959,11(7):55-57.
 
  [2]张争.压裂裂缝内滑溜水携砂输送规律研究[D].西安:西安石油大学,2018.
 
  [3]周德胜,张争,惠峰,等.滑溜水压裂主裂缝内支撑剂输送规律实验及数值模拟[J].石油钻采工艺,2017,39(4):499-508.
 
  [4]RAIMBAY A,BABADAGLIT T,KURU E,et al.Quantitative and visual analysis of proppant transport in rough fractures[J].Journal of natural gas science and engineering,2016,33:1291-1307.
 
  [5]孙堃.基于LBM的壁面影响下颗粒曳力规律研究[D].成都:西南石油大学,2021.
 
  [6]ZHOU H,ZHANG T,GUO J C,et al.Drag coefficient modification for proppant transport in fractures considering wall retardation[J].Chemical engineering research and design,2022,178:478-487.
 
  [7]郭建春,周航宇,唐堂,等.非常规储层压裂支撑剂输送实验及数值模拟研究进展[J].钻采工艺,2022,45(3):48-52.
 
  [8]刘欣佳.水力压裂裂缝内支撑剂运移规律研究[D].北京:中国石油大学(北京),2021.
 
  [9]郭天魁,宫远志,刘晓强,等.复杂裂缝中支撑剂运移铺置规律数值模拟[J].中国石油大学学报(自然科学版),2022,46(3):93-94.
 
  [10]罗志锋,张楠林,赵立强,等.一种利用相变材料支撑裂缝前缘的复合酸压方法:201910171008.7[P].2019-03-07.
 
  [11]武元鹏,周利华,王犁,等.一种高携砂易返排水基压裂液用减阻型稠化剂及其制备方法与应用202211656619.9[P].2022-12-22.
 
  [12]葛云枝,罗明良,司晓冬,等.水力压裂支撑剂研究进展及应用现状[C]//西安石油大学,陕西省石油学会,北京振威展览有限公司.2023国家石油石化技术会议论文集Ⅱ.北京:2023国际石油石化技术会议,2023.
 
  [13]黄博,雷林,汤文佳,等.自悬浮支撑剂清水携砂压裂增产机理研究[J].油气藏评价与开发,2021,11(3):460-462.
 
  [14]任洪达,董景锋,高靓,等.新疆油田玛湖砂岩储层自悬浮支撑剂现场试验[J].油气藏评价与开发,2023,13(4):513-514.
 
  [15]国家能源局.水力压裂和砾石充填作业用支撑剂性能测试方法:SY/T 5108—2014[S].北京:国家能源局,2014.

文章出自SCI论文网转载请注明出处:https://www.lunwensci.com/ligonglunwen/80930.html

相关内容

发表评论

Sci论文网 - Sci论文发表 - Sci论文修改润色 - Sci论文期刊 - Sci论文代发
Copyright © Sci论文网 版权所有 | SCI论文网手机版 | 鄂ICP备2022005580号-2 | 网站地图xml | 百度地图xml