Sci论文 - 至繁归于至简,Sci论文网。 设为首页|加入收藏
当前位置:首页 > 理工论文 > 正文

某江河流域水体中重金属污染监测分析与研究论文

发布时间:2024-11-21 10:38:51 文章来源:SCI论文网 我要评论














  摘要:某江河流域属于珠江流域的重点水系之一,富含大量矿产资源,这导致流域水体中的重金属会存在超标的现象。本文以该流域上下游为采样点,对水体中的重金属污染进行监测,对水体的基本水质进行分析,重点研究重金属的空间分布、时空分布以及重金属的水期变化特征。结果表明:水体的水温、pH、电导率以及溶解氧都出现了明显的季节性波动,这主要与降水量有关,而溶解氧随着水温的变化而变化。重金属的空间分布呈现出锌>铜>铅>镉,上游和下游分布一致,而四种重金属的浓度随时间以及水汽的变化各不相同。该流域重金属浓度达到GB 3838—2002《地表水环境质量标准》规定的Ⅱ类限值,符合世界卫生组织《饮用水水质准则》,可作为该区域饮用水的补充水源。
 
  关键词:江河流域水体,重金属,监测
 
  0引言
 
  水体作为人类生产生活必不可少的物质资源,虽然资源广泛,但是由于人为影响使得其可用资源逐渐减少[1-2]。特别是随着社会经济快速发展,对水体的污染越来越严重,特别是城市生活污水以及工业结构调整导致的工业污水肆意排放使得江河流域水体中的重金属含量超标,严重影响着人类的生命健康[3]。
 
  在江河流域的污染水体中,重金属来源广泛、毒性大、难降解,同时在水体中可能会与部分化学有机物质发生某些特定化学反应而生成更加难溶或者毒性更强的物质,是河流水体的主要污染物之一[4]。河流水体中的重金属主要包括铜、铅、锌、镉等,重金属在水体中较为稳定而不被降解,可在人类活动中随着食物链等进行生物富集与放大,随着饮食等进入人体,最终会对人类安全产生影响[5]。
 
  某江河流域属于珠江流域的重点水系之一,流经多个城市和地区。该流域内具有丰富的矿产资源,因此其采矿、冶炼企业分布广泛。正是由于矿产资源丰富,导致水系中存在大量的重金属,随着水体的流动而分散在水系中并一定量地沉积。
 
  1实验部分
 
  1.1采样点的选择
 
  本次采样充分考虑水体中重金属由于水流作用而导致的分布情况,选择该水系的上游和下游为采样点进行采样分析。
 
  1.2水体样品采集
 
  采样前用10%HCI溶液对聚乙烯塑料采样器皿进行浸泡,浸泡2h后采用纯水对器皿进行清洗至中性,并用去离子水反复冲刷,晾干加盖储存。在采样地点对水体水样进行收集,收集完成后迅速将密封旋盖拧紧,并采用密封胶进行密封存储。每月取样三次,求平均值。
 
  1.3测试与分析
 
  1.3.1水体常规参数测试
 
  采用水质五参数在线分析仪(Q/LS 005—2019)对水样的水温、pH、电导率、浊度、溶解氧进行测试,测试方法如表1所示。
 
\
 
  1.3.2水体重金属测试
 
  采用Agilent 7900 ICP-MS电感耦合等离子体质谱仪对样品中的铅、锌、铜、镉、锑5种重金属元素进行分析。测试条件如下:雾化室温度2.7℃,雾化器流速1.08 L/min,冷却器流速14 L/min。
 
  2结果与讨论
 
  2.1水体基本水质分析
 
  2.1.1水温和pH
 
  根据2023年的监测结果,某江河流域上游和下游两个采样点的水温以及pH的变化规律如图1所示。

\
 
  由图1可知,该流域的水温在一年内呈现出先升高后降低的趋势,温度区间在10~30℃之间,全年平均气温在22℃左右。在6-10月份水体温度较高(夏秋季),其余月份水温相对较低(春冬季),整体呈现出明显的季节性规律,具有典型的南方气候特点。
 
  由图1可知,该流域的pH大致在6.8~7.7的范围内,且变化不大,整体较为稳定。由图1可以看出,该水体的pH在11—3月份(春冬季)更加稳定,pH在7.4小范围内波动,但是在4—10月份(夏秋)波动幅度相对较大,这可能与季节性的降雨量有关。根据2023年该流域的降水分布可知,该流域在3—9月份降雨量较大,特别在5月份和8月份出现了一年中的最大降雨量。在降雨过程中会有部分酸性物质随着水体流动,在下游沉积,导致下游水体的pH值降低显著。
 
  2.1.2电导率与浊度
 
  水体电导率的大小取决于其所含离子的种类、价态和浓度,反映离子在水体中的浓度高低。
 
  由图2可知,在该流域的上下游两个监测点,其水体的电导率存在一定的波动。在8—9月份,两个监测点的电导率出现明显的拐点,这可能与降水量有关,在7月份时,该流域附近降水量较少,离子浓度较低;但是在8月份具有最大的降水量,导致该期间离子浓度出现短暂的降低。
 
  浊度在3—10月出现了较大波动,整体呈现“M”性变化趋势,同时电导率和浊度均出现上游略低于下游的情况,这可能是因为下游更多颗粒物质的存在。水体的浊度与降水量也有极大的关系,降水量大会将大颗粒带入水体中,造成水体的浑浊,浊度增加。同时强降雨会导致水流速度短期增加,水流紊乱,对河床的冲刷力增强,水体浊度增加。
 
\
 
  2.1.3溶解氧
 
  水体溶解氧(DO)主要来自大气中的氧气向水体渗入或者水中植物通过光合作用释放出的氧,是衡量水体自净能力的一个重要指标,也是水体水质的重要指标之一。一般,溶解氧含量随着水体温度的增加而降低。溶解浓度越高,水体有机污染程度越轻,水体自净能力越强。某江河流域水体中的溶解氧含量如图3所示。
 
 \
 
  由图3可知,2023年某江河流域水体在监测期间的溶解氧质量浓度在5~10 mg/L范围内,通过与图1对比可知,溶解氧浓度的变化与水体温度的变化趋势相反,呈现出夏秋两季低、春冬两季高的现象,进一步说明溶解氧浓度与水体温度的关系,反映了春冬两季水体的自净能力强于夏秋两季,夏秋季更易出现水体污染的情况。
 
  2.2重金属空间分布特征
 
  由图4可知,在某江河流域水体检测中,水体中的铅、锌、铜、镉离子全年的平均质量浓度分别为1.90、19.87、3.70、0.58μg/L。整体而言,在流域的上游,重金属离子的质量浓度趋势为锌>铜>铅>镉;下游重金属离子的浓度分布与上游一致,说明在整个流域,不存在某一重金属的污染源。但从上游到下游,重金属锌离子的浓度呈现增加的情况,这可能与该流域存在锌矿有关。但是重金属铅以及镉离子的浓度都有所下降,这可能是该流域存在的其他分流汇入至下游中,造成浓度值降低;重金属铜在上游和下游并无明显变化。

\
 
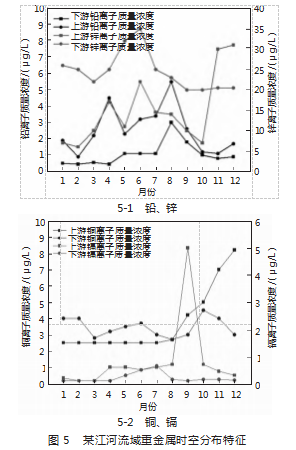
  2.3重金属时空分布特征
 
  由图5可知,在某江河流域水体检测中,水体中的铅、锌、铜、镉四种金属离子浓度具有明显的变化,同一金属离子在上游和下游随着时间而变化这可能与该流域的降水量有关。

\
 
  从重金属铅、锌离子的浓度变化可知,在4—9月份呈现出了较大的波动,而在10—3月份浓度变化相对较低,这可能是因为该流域存在大量的铅矿和锌矿,重金属的迁移随着降雨量的变化而变化。下游的铜离子质量浓度在9月份之后出现了明显的增加,上游的镉离子质量浓度在9月份达到了最大值,随后降低。这可能是因为在此期间存在较大的降雨或者工厂随意排放导致浓度增加。
 
  2.4重金属水汽变化特征
 
  在监测期间,该流域的水期分布分别为:丰水期:5—8月;平水期:3、4、9、10月;枯水期为1、2、11、12月。各重金属在不同水期的浓度变化如图6所示:

\
 
  由图6可知,铅离子浓度在不同水期的变化为:丰水期 >平水期 >枯水期;锌离子浓度在不同水期的变化为:丰水期 >枯水期 >平水期;铜离子浓度在不同水期的变化为:枯水期 >平水期 >丰水期;镉离子浓度在不同水期的变化为:平水期 >丰水期 >枯水期。整体而言,重金属铅以及锌的离子浓度在丰水期较高。
 
  2.5重金属污染评价
 
  本文将某江河流域水体中的四种重金属浓度与GB 3838—2002《地表水环境质量标准》Ⅱ类限值以及世界卫生组织《饮用水水质准则》规定的重金属浓度限值进行对比分析,结果如表2所示。

\
  
  由表2可知,某江河流域的水体重金属浓度达到GB 3838—2002《地表水环境质量标准》规定的Ⅱ类限值,比世界卫生组织《饮用水水质准则》标准较高。
 
  3结论
 
  通过对某江河流域的上游和下游进行采样分析,分析了其水质特征,特别是对重金属的分布特征进行了分析,结论如下:水体的水温、pH、电导率以及溶解氧都出现了明显的季节性波动,这主要与降水量有关,而溶解氧随着水温的变化而变化。水体中的铅离子、锌离子、铜离子、镉离子全年的平均质量浓度分别为1.90、19.87、3.70、0.58μg/L,重金属的空间分布呈现出锌>铜>铅>镉,上游和下游分布一致,而四种重金属离子的浓度随时间以及水期的变化各不相同,这主要与该区域的降水量以及矿产企业分布等有关。
 
  参考文献
 
  [1]杨正亮,冯贵颖,呼世斌,等.水体重金属污染研究现状及治理技术[J].干旱地区农业研究,2005(1):219-222.
 
  [2]许慧玲.新濉河干流水体水化学与重金属特征分析及水质评价[D].淮南:安徽理工大学,2023.
 
  [3]毛玉凤.基于重金属污染指数的城市段河流水体重金属污染特征分析[J].水利技术监督,2022(4):123-126.
 
  [4]文安邦.三峡库区沈家河流域重金属空间分布、来源及生态风险评价[Z].成都:中国科学院水利部成都山地灾害与环境研究所,2019.
 
  [5]张婉军,辛存林,于奭,等.柳江流域河流溶解态重金属时空分布及污染评价[J].环境科学,2021,42(9):4234-4245.

文章出自SCI论文网转载请注明出处:https://www.lunwensci.com/ligonglunwen/79775.html

发表评论

Sci论文网 - Sci论文发表 - Sci论文修改润色 - Sci论文期刊 - Sci论文代发
Copyright © Sci论文网 版权所有 | SCI论文网手机版 | 鄂ICP备2022005580号-2 | 网站地图xml | 百度地图xml