Sci论文 - 至繁归于至简,Sci论文网。 设为首页|加入收藏
当前位置:首页 > 理工论文 > 正文

工作面初采顶板预裂爆破防治大面积悬顶技术应用论文

发布时间:2024-07-08 10:50:00 文章来源:SCI论文网 我要评论














SCI论文(www.lunwensci.com):

  摘要:厚硬顶板工作面初采期间难以随采垮落,造成大面积悬顶,是煤矿开采中常见的安全隐患。采用工作面初采顶板预裂爆破防治大面积悬顶技术,避免2505综放工作面厚硬基本顶在初采期间难以垮落而造成大面积悬顶。通过理论计算,得到2505综放工作面顶板预裂爆破的炮孔布置参数,并进行现场应用。研究结果表明:组内爆破钻孔间距为6 m、组间间距为16 m和垂直处理高度为15.8 m的爆破参数,能够有效破坏厚硬顶板的完整性。爆破后,支架后方顶煤立即垮落,液压支架工作阻力随采呈现周期性变化,后续回采未出现大面积悬顶现象,保障了工作面的安全生产。

  关键词:厚硬顶板;大面积悬顶;爆破预裂;工作阻力

  0引言

  煤矿工作面初采时,由于顶板岩层受到工作面切眼四周实体煤的支撑,在回采初期难以随采垮落,这种现象在厚硬顶板条件下更为明显[1]。工作面初采期间,采空区顶板悬顶面积过大,容易造成工作面漏风严重,产生工作面煤壁承载较大的顶板压力,使煤壁片帮或煤壁突然大面积垮落,导致工作面瓦斯超限、压架等安全隐患[2-3]。因此,在工作面初采期间进行顶板预裂,能够有效避免上述强矿压显现现象的发生。本文以某矿2505初采综放工作面为研究对象,进行切眼顶板爆破预裂参数设计与现场实施,降低厚硬基本的完整性,避免初采期间顶板大面积悬顶,实现工作面安全回采。

  1工程背景

  某矿2505综放工作面切眼净长为220 m,回采推进长度为1 035 m,工作面底板标高为464~520 m,开采的近水平3号煤层平均厚度为5.91 m,采煤高度为3.0 m,放煤高度为2.91 m。工作面直接顶为抗压强度为30.52 MPa、厚度为3.67 m的泥岩。基本顶为抗压强度为61.44 MPa,厚为9.22 m的细粒砂岩。直接底泥岩均厚为0.7 m,基本底为平均3.1 m厚的细粒砂岩。2505综放工作面东为采区大巷,南为2503工作面采空区,西为井田边界煤柱,北为实体煤,具体布置位置如图1所示。2505工作面切眼基本顶厚且坚硬,东、西、北三侧均为实体煤,需采取人为干预措施,避免工作面初采期间顶板出现大面积悬顶现象。

工作面初采顶板预裂爆破防治大面积悬顶技术应用论文

  2顶板爆破预裂参数设计

  顶板岩层裂隙不发育、厚度大、弹性模量高,是顶板难以随采垮落的主要原因。由于岩层本身的性质难以改变,因此,采用爆破来减弱2505工作面上方厚且坚硬完整的细粒砂岩岩体的整体性。考虑2505工作面顶板处理目的及深孔预裂爆破不影响工作面生产的优势,确定该工作面顶板弱化处理方法为深孔爆破的优势,确定该工作面顶板弱化处理方法为深孔爆破

  2.1柱状药包爆破压碎区半径

  工业炸药爆破时,炮孔周围一小部分岩体会被5万~10万个大气压的超高压冲击形成空腔,该区域即为扩腔区。经扩腔作用消耗后的能量会继续向孔的四周扩散,此时较高的能量可以将一定范围内的煤岩破碎,甚至形成细微颗粒,该区域即为压碎区。冲击波产生压碎区后,能量进一步减少,压碎区以外一定范围内的岩体在冲击波的径向压缩作用下产生裂缝,从而形成裂隙区,炮孔爆破后各区分布示意图如图2所示。爆破压碎区半径及裂隙区半径是炮眼布置参数的重要依据。

工作面初采顶板预裂爆破防治大面积悬顶技术应用论文

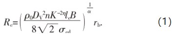
  假设爆破形成的冲击载荷为不可压缩理想流体,柱状药包不耦合装药条件下的压碎区半径计算公式为式(1)[4]:

工作面初采顶板预裂爆破防治大面积悬顶技术应用论文

  式中:Rc为压碎区半径;B=[(1+b)2+(1+b2)-2μd(1-μd)(1-b)2]2,μd为静态泊松比,b为侧向应力系数,

  b=

工作面初采顶板预裂爆破防治大面积悬顶技术应用论文

  产物膨胀碰撞炮孔壁时的压力增大系数,取10;K为装药不耦合系数;η为爆轰产物的膨胀绝热指数,取3;lc为装药轴向系数,取1;a为载荷传播衰减指数,

工作面初采顶板预裂爆破防治大面积悬顶技术应用论文

  正、负号分别对应冲击波区和应力波区;σcd为岩体的单轴动态抗压强度,σcd=σcε3;σc为岩体单轴静态抗压强度;ε为爆破时岩体加载速率,取100~104 s-1;rb为炮孔半径。

  煤矿许用3号乳化炸药的密度为1 194.265 kg/m3,爆速为2 800 m/s,炮孔内装药不耦合系数为1.25,顶板细粒砂岩静态泊松比0.26,细粒砂岩单轴动态抗压强度为61.44 MPa,炮孔半径为37.5 mm。将以上数据代入式(1),可得到压碎区半径为0.39~0.84 m。

  2.2柱状药包爆破裂隙区半径

  裂隙区半径Rp的计算公式[5]为式(2):

工作面初采顶板预裂爆破防治大面积悬顶技术应用论文

  式中:σt为岩体单轴静态抗拉强度;

工作面初采顶板预裂爆破防治大面积悬顶技术应用论文

  顶板细粒砂岩单轴静态抗拉强度为5.94 MPa,代入式(2),得到裂隙区半径为1.63~3.28 m。经计算,使用煤矿许用3号乳化炸药对2505工作面顶板细粒砂岩岩层进行不耦合装药爆破时,产生破碎区半径平均为0.56 m,裂隙区半径平均为2.33 m。

  2.3顶板处理高度的确定

  顶板处理的理论高度H应为顶板在爆破作用下垮落的岩层能够完全充填采空区,计算公式如式(3):

工作面初采顶板预裂爆破防治大面积悬顶技术应用论文

  式中:M为煤层采高;Kp为顶板岩石碎胀系数,取1.25。

  2505综放工作面初采期间不放顶煤,故煤层采高取3 m。计算得到2505工作面的顶板处理理论高度为12.0 m,考虑到基本顶为顶板弱化的主要对象,最终确定顶板爆破预裂处理的最大高度为15.8 m。

  3现场应用及效果分析

  3.1切眼顶板预裂爆破方案设计


  通过计算爆破压碎区半径、裂隙半径区和顶板处理高度,并结合2505工作面参数,确定切眼巷道顶板需布置15个爆破钻孔,共划分为6组,第4组位于切眼巷道中部,包含3个爆破钻孔,其余5组分别包含2个爆破钻孔,组内爆破钻孔间距为6 m,组间间距为16 m。考虑爆破钻孔的角度应便于装药,并有利于弱化弱化较大范围顶板,确定钻孔仰角为30。,偏向2505进风巷侧,钻孔深度为30 m,封泥长度为炮孔长度的30%。从2505进风巷侧起38 m处起布置第1个炮孔,2505工作面顶板预裂炮孔布置示意图如图3所示。

工作面初采顶板预裂爆破防治大面积悬顶技术应用论文

  现场进行爆破作业时,首先将所有炮孔内的炸药装填完毕,使用导爆索连接所有炮孔,连线方式为组内并联,整体串联,一次引爆所有炮孔,避免单组炮孔失爆事故的发生。

  3.2实施效果分析

  现场爆破后,1号、2号、9号、10号、11号、14号和15号对应支架后方顶煤立即垮落,爆破完成后,对工作面进行2 d检修,避免爆破后破碎顶煤及岩石落入工作空间,导致人员伤亡。爆破完成2 d,后恢复正常回采,现场割煤1刀后,工作面大部分支架后方顶煤随采垮落。

  图4所示为放炮前后液压支架工作阻力的变化情况。放炮前,所有液压支架平均工作阻力为8.8 MPa。爆破后,液压支架平均工作阻力提升了0.64 MPa,说明爆破破坏了顶板的完整性,使顶板出现整体下移,工作面液压支架承载更多覆岩载荷。图5所示为放炮完成割一刀煤前后液压支架工作阻力变化情况,工作面检修2 d后,液压支架平均工作阻力为8.2 MPa,较爆破后工作阻力有所下降,这是放炮后破碎顶板在2 d内重新形成稳定铰接结构所致。割一刀煤后,大部分支架工作阻力明显上升,平均工作阻力提升至8.6 MPa,说明顶板能够随工作面的回采及时下沉。后续工作面回采过程中均未出现大面积悬顶的现象,工作面切眼初采顶板预裂爆破防治大面积悬顶技术的应用取得较好的效果。

工作面初采顶板预裂爆破防治大面积悬顶技术应用论文

  4结论

  为了避免工作面初采期间顶板大面积悬顶造成的安全隐患,提出工作面切眼顶板预裂爆破防治大面积悬顶技术,通过理论计算,得到2505工作面顶板爆破炮眼的间距为6 m、炮眼组间间距16 m和顶板垂直处理高度为15.8 m,实际钻孔仰角为30。,钻孔深度为30 m,布置6组共15割炮眼进行爆破作业。放炮后,大部分支架后方顶煤立即垮落。放炮前后及割煤后工作面液压支架工作阻力的变化情况表明,顶板的完整性被破坏,能够及时随采垮落,该技术的应用可为其他矿井提供借鉴。

  参考文献

  [1]刘明亮.坚硬顶板初采预裂钻孔合理角度研究[J].山西能源学院学报,2023,36(1):13-15.

  [2]王浩鹏.基于马兰矿坚硬顶板的水力压裂技术试验研究[J].中国煤炭,2020,46(11):78-82.

  [3]相海涛,严国超,丁宏强,等.高瓦斯矿井初采前顶板静态预裂技术研究及应用[J].矿业研究与开发,2022,42(11):14-19.

  [4]赵亚军,孔维科,阴磊,等.深孔预裂爆破法在顶板弱化处理中的应用[J].山西焦煤科技,2013,37(10):61-64.

  [5]郭庆峰,宋江涛,靳毅军,等.基于深孔预裂爆破的工作面坚硬顶板弱化技术研究[J].山西煤炭,2022,42(1):99-105.

关注SCI论文创作发表,寻求SCI论文修改润色、SCI论文代发表等服务支撑,请锁定SCI论文网!
文章出自SCI论文网转载请注明出处:https://www.lunwensci.com/ligonglunwen/77965.html

相关内容

发表评论

Sci论文网 - Sci论文发表 - Sci论文修改润色 - Sci论文期刊 - Sci论文代发
Copyright © Sci论文网 版权所有 | SCI论文网手机版 | 鄂ICP备2022005580号-2 | 网站地图xml | 百度地图xml