SCI论文(www.lunwensci.com):
摘要:基于2011—2021年太原市大气湿沉降(降雨、降雪)样品,分析了大气污染物浓度降低时期降水中化学组分的变化特征。结果表明,降水pH值与降雨量呈负相关,10年间酸雨频次逐年递减。Ca2+、NH4+、SO42-和NO3-是含量最丰富的离子;SO2仍是造成降水酸性的主要原因,但NOx对酸雨的贡献逐年增加。燃煤消耗量的持续下降是SO42-浓度下降的主要原因,而NO3-浓度的上升与机动车保有量的增加有关。
关键词:大气降水;水溶性离子;年际变化;来源解析
近年来,尽管我国对细颗粒物(PM2.5)和地面臭氧等环境问题的关注度日益提升,导致对于雨水化学的关注与探讨似乎有所下降[1],但降水化学的重要性及其潜在影响仍不容忽视。实际上,大气沉降是去除大气环境中污染物的主要途径,也是连接大气、陆地和水生生态系统的桥梁[2]。因此,降水中化学组分的变化可能会对陆地和水生生态系统产生潜在的不利影响。降水化学的组成是一个复杂的过程,它受大气中的气体和颗粒物进入雨滴相互作用的共同影响。这些因素包括地形特点、气候条件、自然过程以及人类活动的排放。地形和气候的多样性导致降水在不同地区呈现出独特的化学特征。自然过程,如火山喷发、土壤侵蚀等,也会向大气中释放各种化学物质,进而影响降水的化学成分。此外,人类活动,如工业排放、汽车尾气等,也是影响降水化学特征的重要因素。因此,对降水化学组分的研究可以提供大气环境特征及空气质量的有价值的信息。
太原市作为山西省的省会城市,由于其独特的地理位置、工业结构和能源结构使得太原市空气污染成为一个较为严重的问题。太原市的大气降水特征研究对于理解城市空气质量、污染来源以及污染物的迁移转化过程具有重要意义。现如今对太原市降水已经有了一定的研究,如姚孟伟等[3]发现太原市大气污染物主要来自自身排污企业(热电厂、钢铁厂等)污染物的扩散,以及全省焦化企业污染物小尺度区域内的输送等。郭晓方等[4]发现太原市夏季降水中化学组分主要与燃煤有关,西南和东南气团是太原市降水中化学组分的主要来源。然而,尽管已经取得了一些研究成果,但是对太原市降水化学组分的长期、系统研究仍然缺乏。对于大气污染物减少背景下太原市降水化学组分、沉降的长期变化趋势的研究,将有助于更深入地了解太原市空气质量的演变过程,并为制定更为有效的污染防治措施提供科学依据。因此,本文研究了大气污染物减少背景下太原市降水化学组分、沉降的长期变化趋势,最后利用多种来源分配方法来解析评价源贡献。
1材料与方法
1.1监测点位与仪器
采样点位于山西省太原市太原科技大学综合楼(37.52°N,112.29°E)楼顶,该采样点距离地面约50 m,且远离局部污染源,四周无遮挡雨、雪的高大树木或建筑物。样品采集采用配备5 000 mL聚乙烯塑料桶的自动干湿沉降收集器(UNS 130/E,Germany)收集雨水样品以及采雪框收集降雪样品。
1.2数据处理
本研究采用离子当量浓度(μeq/L)作为水溶性离子浓度单位,计算公式如式(1):
式中:Ci为离子i的当量浓度,μeq/L;ei为离子i的原子价(绝对值);Mi为离子i的化学结构式量,g/mol;1000为单位转化系数。
2结果与讨论
2.1 pH和电导率的变化
为了初步了解降水特征,降水样品的基本理化性质(pH和EC)如图1所示。结果显示,此期间内降水的pH值范围为4.34~8.72,平均值为6.48±0.75,而EC值则在3.38~1021μS/cm之间波动,平均值81.46μS/cm±113.23μS/cm。大气酸性和碱性物质排放量的变化决定着降水的化学组成,并最终影响降水pH值。通过对降水化学组成的观测,发现SO42-和NO3-是主要的阴离子,贡献着降水的酸度;而Ca2+和NH4+是主要的阳离子,能中和降水酸度。2011—2021年平均pH逐年增高,2011—2012年的pH较高主要是因为地面扬尘的作用,尤其是地面扬尘中Ca2+的含量较高,中和了雨水化学中的酸性物质;2013年pH低于5.6,可归因于致酸离子NO3-浓度的增加以及中和因子Ca2+浓度的降低共同作用的影响;2013年之后,随着《大气污染防治行动计划》、太原市污染企业搬迁、能源结构调整以及燃煤脱硫等政策与措施的实施,SO2和CO逐年下降,大气中酸性物质减少,pH值升高。EC值主要受到降水中总水溶性离子和降雨量的影响,间接反映了降水的清洁度和大气污染状况。近年来EC的下降表明,由于实施了特殊的空气污染控制措施,我国的空气污染得到了缓解。
如图2、图3所示,pH和EC都呈现出明显的季节性变化。pH值表现为春季最高(6.79),其次是夏季(6.45),秋季(6.42)冬季最低(6.32)(图2)[5]。湿沉降中pH值的季节变化被认为与降水对大气特殊物质的冲刷效应有关.此外,通过降水清除大气中的SO2也可能在pH值的季节变化中发挥了重要的作用。冬季大气中较高的SO2和硫酸盐浓度部分归因于密集的家用燃煤取暖。EC表现为冬季最高(166.31μS/cm),春季次之(141.99μS/cm),秋季(78.53μS/cm)和夏季(72.18μS/cm)最低,与pH值的季节性变化明显不同,如图3。冬季、春季EC值较高主要是由于采暖期(11月15日至次年3月15日)居民燃煤取暖以及交通工具使用量的增加,与杨俊等的研究结果一致[6]。除此之外,降雨量对EC的影响也不容忽视,夏秋季降雨量大,降水次数多,对主要离子起到了稀释的作用,EC值与降水量之间的负相关性(r=-0.216,p<0.01)支持了这一点。
2.2化学成分
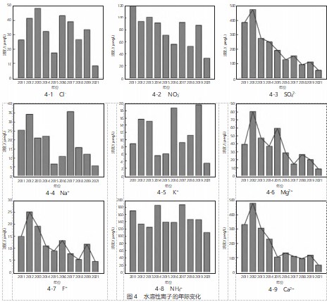
图4总结了2011—2021年期间太原市降水的离子组成的年际变化。随着环境空气质量逐年改善,降水中的离子浓度也随之改变。F-、SO42-、Na+、Mg2+、Ca2+的浓度分别从2011年的14.93、382.30、25.24、39.16、330.33μeq/L增加到2012年的25.00、471.80、33.95、79.73、470.41μeq/L。然而,F-、SO42-、Na+、Mg2+、Ca2+的浓度分别从2012的峰值下降到2021年的4.57、53.53、5.60、8.75、51.26μeq/L。在2011年—2016年期间,NO3-浓度表现出从118.93μeq/L逐渐降低到56.98μeq/L。NH4+的浓度从2011年的169.89μeq/L下降到2013年的124.48μeq/L随后又上升至2014年的184.93μeq/L,最终稳定在145.57μeq/L左右。然而,K+和Cl-浓度在2011—2021年期间波动,没有明显的年际变化规律。总体而言,降水中的主要离子(SO42-,NO3-和Ca2+)除NH4+外显著降低。

SO42-、Ca2+、NH4+和NO3-4种主要离子,分别占总离子浓度的27%、25%、22%和11%。SO42-是浓度最高的阴离子(183.77μeq/L),因为煤是山西的主要燃料消耗来源。NO3-的贡献约为SO42-的一半,浓度为75.55μeq/L,主要来自化石燃料的燃烧,发电厂和车辆尾气排放。Ca2+在阳离子中具有最高浓度(171.15μeq/L)并且它可能来自于矿物质溶解、地面扬尘、道路施工、房屋改造。NH4+对所测量的总阳离子贡献了约39%,浓度为149.71μeq/L,降水中的NH4+水平与NH3排放密切相关,因为NH3倾向于被中和,在大气中形成(NH4)2SO4和NH4NO3。此外证明,在北京雾霾污染期间,来自发电厂的化石燃料的燃烧和NH3泄露是NH3的主要来源[7]。因此,农业来源、化石燃料燃烧和工业活动可能导致降水中NH4+的浓度较高。C(SO42-):C(NO3-)仍高于1,表明硫酸盐对降水酸度的贡献仍高于硝酸盐,说明主要受固定源如燃煤、焦化为主要因素,降水类型为混合型[8-9]。在此期间,降水中的C(SO42-):C(NO3-)比例从4.06逐渐降低到1.56,这表明降水类型已从硫酸型演变为由硫酸和硝酸控制的混合型,其原因可能是因为随着社会经济的发展,生态文明观念宣传力度加大,人们对环境保护的要求越来越高,各项环境污染治理力度加强,烟气脱硫技术提高,有效地减少了大气SO2的排放,SO42-对降水酸度的影响有所减弱,但是近年来太原市机动车保有量的快速增加,导致NOx的污染程度有增加趋势,硝酸型对降雨酸化的贡献在逐年增强,降水由硫酸-硝酸混合型逐步向硝酸型转变趋势明显。
3结论
1)太原市降水的pH值和电导率(EC)表现出明显的变化特征。pH值范围在4.34~8.72之间,平均值为6.48,呈现出逐年增高的趋势。这种变化与大气中酸性物质和碱性物质排放量的变化密切相关。
2)SO42-和NO3-作为主要的阴离子,对降水的酸度有重要贡献,而Ca2+和NH4+作为主要的阳离子,起到了中和降水酸度的作用。EC值的变化则主要受到降水中总水溶性离子和降雨量的影响,近年来其下降趋势反映了空气污染控制措施的有效性。
参考文献
[1]Pu W,Quan W,Ma Z,et al.Long-term trend of chemical composition of atmospheric precipitation at a regional background station in Northern China[J].Sci Total Environ,2017,580:1340-1350.
[2]Li L,Li H,Peng L,et al.Characterization of precipitation in the background of atmospheric pollutants reduction in Guilin:Temporal variation and source apportionment[J].J Environ Sci(China),2020,98:1-13.
[3]姚孟伟,郭晓方,闫雨龙,等.太原市降水化学特征及来源分析[J].环境工程学报,2014,8(11):4864-4870.
[4]郭晓方,崔阳,王开扬,等.近3年太原市夏季降水的化学特征研究[J].环境科学,2015,36(2):388-395.
[5]Xu Z,Wu Y,Liu W,et al.Chemical composition of rainwater and the acid neutralizing effect at Beijing and Chizhou city,China[J].Atmospheric Research,2015,(164/165):278-285.
[6]杨俊,赵远昭,李静,等.中国大气降水化学组成特征及来源解析研究进展[J].环境生态学,2022,4(7):93-100.
[7]Liu X,Xu W,Du E,et al.Environmental impacts of nitrogen emissions in China and the role ofpolicies in emission reduction[J].Philosophical
关注SCI论文创作发表,寻求SCI论文修改润色、SCI论文代发表等服务支撑,请锁定SCI论文网! 文章出自SCI论文网转载请注明出处:https://www.lunwensci.com/ligonglunwen/77862.html