摘要:热轧带钢层流冷却过程是热轧生产成品之前的最后一道重要工序,直接决定了带钢产品质量。带钢卷取温度是影响热轧带钢组织性能的关键因素,是决定成品带钢加工性能、力学性能的重要参数之一,与带钢最终质量密切相关。主要介绍一种新型热轧带钢冷却系统,新型冷却系统由传统层流冷装置和快速冷却装置组成,新型冷却系统具有冷却均匀、冷却效率高、冷却速度快、冷却装置制造工艺简单、维护方便等优点,快速冷却装置与传统冷却装置组合使用时可以实现多种冷却模式,可以有效控制冷却过程使带钢组织细晶强化、析出强化和相变强化以提高带钢力学性能、综合性能,减少能源的消耗,简化生产工艺,为开发钢材新品种创造有利条件。
关键词:层流冷却;新型冷却模式;热轧带钢冷却工艺
1热轧带钢冷却系统发展概述
热轧带钢轧后冷却装置在发展过程中,有喷射、喷雾、层流却、水幕、直接退火等多种冷却方式,冷却方式可根据不同现场工艺布置要求确定。层流冷却具有处理产品范围宽、流量调节范围宽、无流态破碎、冷却水回收率高、设备维护量小等优点,应用最为广泛。
1.1热轧带钢冷却技术概况
带钢冷却技术是通过控制层冷区域冷却集管开闭来调节带钢温度,使带钢达到质量的一种控制冷却技术。带钢经过加热炉高温处理后,处于奥氏体再结晶阶段,随着温度的降低,材料的自然转变,其内部的显微结构会有较大幅度的增大,从而导致最终产品的综合机械性能下降。在热轧后采取冷却控制措施,可以抑制奥氏体晶粒的长大,使铁素体晶粒细化,降低网状碳化物的沉淀,维持碳化物固溶状态,提高珠光体的形貌和层间间距,提高了钢的力学性能。在冷却时,奥氏体分解为铁素体、珠光体等,由于冷却速率的变化,组织组成的比例也会有差异,因此,可以通过控制带钢冷却速率,获得不同的产品[1]。
1.2新型冷却系统概述
新型冷却系统使用传统冷却装置与快速冷却装置组合,在传统冷却装置前、后或同时安装快速冷却装置,快速冷却装置通过控制冷却水流量实现常规冷却或快速冷却模式,快速冷却装置与传统冷却装置组合使用,有快速冷却+常规冷却、常规冷却+快速冷却、快速冷却+常规冷却+快速冷却等多种冷却模式,现场具体使用何种冷却模式可根据轧制带钢的冷却工艺确定。快速冷却装置冷却水流量大冷却效率高冷却速度快,多种冷却模式可满足多品种及各种板厚的冷却需求,能满足新品种带钢研发的冷却需求,为新品种带钢的研发及轧制提供冷却需求,缩短新品种带钢的研发周期[2]。
2热轧带钢冷却工艺分析
轧后控制冷却是利用热轧后的余热进行在线热处理的冷却技术,通过控制热轧轧后带钢的冷却速率以及终冷温度等条件来合理控制带钢组织的相变过程,改善带钢的金相组织状态,提高带钢的强度、塑性、韧性等力学性能。
2.1热轧带钢管层流冷却分析
鹅颈管层流冷却是应用最广泛的热轧带钢冷却方式。热轧带钢层流冷却采用层状水流对带钢进行在线冷却控制工艺。在层冷辊道上方、下方安装一定数量冷却水集管,冷却集管上安装一定数量的鹅颈管,对带钢进行冷却。冷却水由高位水箱供给,柱状的层流水虽然速度不快,但质量很大,所以具有较大的动量,可以击破带钢和冷却水之间的汽膜,实现较高效率的热交换。2.2新型快速冷却集管系统快速冷却分析
新型冷却系统采用传统层流冷却与快速冷却工艺组合,传统层流冷却使用管层流冷却,一般使用U型鹅颈管冷却。快速冷却工艺采用直管喷嘴设计,直管结构比U型鹅颈管结构简单,直管式的集管可以在横、纵两个方向上增加喷嘴的数量,能最大限度的增加喷嘴的密度,提高了冷却能力,并且使带钢的水流冲击区域离散化更加均匀,降低了集管喷水口的流速,增进了喷水的层流化,从而更好的实现冷却的均匀性[3]。
3热轧带钢冷却换热分析
温度计算模型是基于传热学中的能量平衡而建立的,热轧带钢轧后冷却主要散热方式有:空气对流换热、冷却水对流换热、辊道热传导、相变潜热。
3.1带钢辐射散热分析
带钢从轧机出来后温度很高,带钢会以辐射的形式散失热量造成的温降,可根据Stefan-Boltzmann定律进行计算。带钢表面单位面积的辐射功率与带钢的绝对温度的四次方成正比,带钢的辐射能量为:
Q1=2×ε×σ×A(T4×T14)(1)
式中:Q1为带钢热辐射能量,W;ε为带钢辐射率;σ为常数,σ=5.67×10-8W/(m2×K4);A为带钢辐射表面积,m2;T为带钢温度,K;T1为环境温度,K。
3.2带钢与空气之间的对流换热分析
带钢在运动过程中与周围的空气发生相对位移引起带钢热量转移,根据对流换热的基本定律,带钢与空气对流换热能量为:
Q2=α1×A×(T-T2)(2)
式中:Q2为带钢与空气换热能量,W;α1为空冷换热系数;T2为环境空气温度,K。
3.3带钢与冷却水之间的对流换热分析
带钢与冷却水之间存在着强烈的对流换热,冷却水与高温带钢表面的对流换热遵循牛顿冷却定律,带钢与冷却水的对流换热能量为:
Q3=α3×A×(T-T3)(3)
式中:Q3为带钢与冷却水能量,W;α2为水冷换热系数;T3为冷却水温度,K。
3.4带钢与层流辊道之间的热传导分析
带钢在运动过程中与层冷辊道辊面接触,带钢与辊子之间发生热传导,带钢与辊子的传热热能量为:
Q4=α4×A×(T-T4)(4)
式中:Q4为带钢热辐射能量,W;α4为热传导率;T4为辊子温度,K。
3.5带钢内部的相变潜热分析
热轧带钢轧后层流冷却过程带钢金相组织发生转变,对于轧后带钢在冷却过程中发生金相组织相变而产生的热量的计算所需考虑的因素众多,且过程比较复杂。相变潜热的计算依据相变动力学需考虑奥氏体、铁素体、珠光体和贝氏体等不同组织在整个带钢材料中所占的比例,但是不同组织比例的检测十分困难且精度不高。
3.6带钢温度计算分析
带钢通过散热、空气对流换热、冷却水对流换热、辊道热传导、相变潜热等降温,带钢热量变化表达式为:
ΣQ=-Q1-Q2-Q3-Q4+Q5(5)
带钢的散热量由(1)(5)式得:
ΣQ=-2×ε×σ×A(T4×T14)-α1×A×(T-T2)-α3×A×(T-T3)-α4×A×(T-T4)+Q5(6)
当带钢温度变化dT时,带钢热焓变化量为:
dQ=m×cp×dT(7)
式中:m为带钢质量,m3;cp为带钢比热,kJ。
根据能量守恒定量,带钢热焓变化量等于带钢散失的热量,由(6)(7)式得:
m×cp×dT=(-2×ε×σ×A(T4×T14)-α1×A×(T-T2)-α3×A×(T-T3)-α4×A×(T-T4)+Q5)*dτ(8)
面积为A的带钢质量为:
m=ρ×A×h(9)
式中:ρ为带钢密度,m3;h为带钢厚度,m。
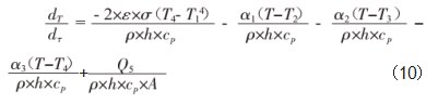
由(1)(9)式得,带钢的温度计算模型为:

在层流冷却过程中,冷却水在带钢表面形成核沸腾区、强制对流膜沸腾区,在冷却装置集管冲击作用、相互作用下,带钢冷却区状态复杂。水冷换热系数与冷却状态、带钢表面温度、带钢运行速度等因素相关。所以带钢换热系数应综合现场冷却方式、冷却条件进行修正。

4新型系统冷却工艺
生产过程中,主要有快速冷模式、层流冷却模式、复合冷却模式,根据实际生产的钢种工艺要求使用不同的冷却模式,保证冷却系统对带钢表面高效冷却效率,实现对带钢的细晶强化、析出强化、相变强化等,增强带钢力学性能。
4.1快速冷却装置
新型冷却系统由快速冷却装置与传统层流冷却装置有机结合组成,快速冷却装置一般由供水泵站、喷淋集管、拦截及侧喷集管、控制元件及监测元件组成。
供水部分由供水泵、供水管路组成。供水主管路采用φ700钢管,主管路从供水泵站引水到卷取层冷辊道附近,再从主管路接8根φ350的钢管供水给8组冷却集管。为防止控制阀门故障导致管路超压,在主管上接1根φ350的钢管,把水引到冷却塔水池。
喷淋部分由4组上喷集管和4组下喷集管,上喷集管采用φ300的钢管,在钢管上焊钢板,钢板上装5排φ22的喷嘴。下喷集管采用φ200钢管,在钢管上焊钢板,钢板上装2排φ22喷嘴。
传统冷却装置集管,使用在水管上安装一排或两排鹅颈管的形式,鹅颈管集管制作工艺复杂,维护也比较麻烦,易产生变形、堵塞等使带钢冷却不均匀。快速冷却装置集管快速冷却集管,集管喷嘴使用直管式,喷嘴在横向和纵向排列都较为密集,冷却能力强、冷却均匀,集管结构简单,制作、维护方便,使用成本低。
在喷淋集管前后辊道上安装拦截喷水管,拦截水管用φ50的钢管,钢管上接10个喷嘴,喷水角度与辊道平面成30。夹角。在层冷辊道两侧安装侧喷水管,侧喷喷嘴基座安装在层冷辊道护板上,水管用DN50软管供水。加强侧喷冷却水安装,侧喷集管的作用是使用喷水流冲除冷却水在高温带钢表面形成的蒸汽膜,提高冷却水与带钢表面的换热能力,减少冷却管之间冷却水的相互干扰,提高冷却控制精度[4]。
控制部分包含管路上的执行元件及控制电路组成。管路及冷却集管冷却水开关使用气动阀控制,监测部分由喷淋集管前、后温度监测,集管管路及主管路冷却水流量、压力、温度监测组成。
4.2前置式冷却工艺分析
前置式冷却工艺流程布置如图1所示,快速冷却装置布置在精轧机出口与传统层流冷却装置之间。前置式工艺布置方式可实现快速冷却与传统层流冷却的有机结合。可以综合利用细晶强化、析出强化、相变强化等强化机理,生产性能优良的带钢产品。

前置式快速冷却装置具有两种功能,即快速冷却作传统层流冷却功能使用和作快速冷却功能使用。当前置快速冷却集管冷却能力与传统层流冷却能力相当时,可选取部分集管作为传统层流冷却集管使用。在此种工艺模式下,该控制系统根据终轧温度、带钢速度、厚度等信息自行控制卷取温度。当采用快速冷模式时,该控制系统需根据终轧温度、带钢速度、厚度等信息同时实现和的高精度控制。
4.3后置式冷却工艺分析
快速冷却装置位于传统层流冷却装置与卷取机之间。该冷却工艺布置方式需实现超快速冷却与层流冷却有机结合。采用灵活的冷却路径控制,利用相变强化机理,可用于多相高强度钢的生产,如热轧双相钢的生产。在实际生产过程中,根据带钢的实测终轧温度、带钢实测速度、厚度等信息,同时实现层流冷却出口温度和后置超快冷出口温度的控制。后置式快速冷却装置也可以当作传统冷却装置使用,只需调节集管冷却能力与传统层流冷却装置集管冷却能力相当,此时,带钢温度监测控制精轧机出口及终轧温度[5]。
4.4复合式冷却工艺分析
该工艺布置在精轧机出口与卷取机之前布置快速冷却装备。即在精轧机与层流冷却设备之间布置前置式快速冷却设备;在层流冷却设备与卷取机之间布置后置式快速冷却设备。该工艺布置具备前置式和后置式快冷均具有的功能。在该工艺流程下,对控制系统的要求随之增加,需同时具备前置式和后置式快速冷却控制系统功能,并且要求系统可根据工艺需求,进行功能及冷却模式的切换。
5总结
文章主要介绍了一种热轧带钢的新型冷却系统,新型冷却系统能多种产品的生产及新产品的研发冷却需求,为不同产品的生产及研发提供有利条件。新型冷却系统中,快速冷却装置与传统层流冷却装置之间的有机结合主要有快速冷却装置前置式、后置式、复合式三种组合模式,分析了快速冷却装置不同布置模式下的冷却工艺。快速冷却装置的冷却方式有常规冷却模式、快速冷却模式、复合冷却模式等。新型冷却系统的冷却工艺有所改进。通过对热轧带钢轧后冷却过程的换热分析,建立带钢轧后冷却过程温度数学模型,为提高带钢温度控制精度提供有利条件。
参考文献
[1]张志松.热轧带钢层流冷却系统的离线模拟及数据分析[D].鞍山:辽宁科技大学,2023.
[2]魏学松.热轧带钢轧后冷却控制系统的设计与应用[D].包头:内蒙古科技大学,2022.
[3]陈彤,李永亮,邝霜,等.热轧带钢均匀化冷却问题分析与控制措施[J].锻压技术,2021,46(7):83-89.
[4]李振垒,陈冬,袁国,等.热轧带钢超快速冷却系统智能化控制策略研究[J].轧钢,2019,36(6):69-73+92.
[5]石建辉.热轧带钢轧后高强度均匀化冷却技术的研究与应用[D].沈阳:东北大学,2016.
关注SCI论文创作发表,寻求SCI论文修改润色、SCI论文代发表等服务支撑,请锁定SCI论文网!
据媒体报道,三大运营商目前均已制定了2020年... 详细>>
如何设计有效的环境治理政策, 是学术界和政策... 详细>>
