Sci论文 - 至繁归于至简,Sci论文网。 设为首页|加入收藏
当前位置:首页 > 计算机论文 > 正文

社会网络中传染病预测防控虚拟仿真实验设计论文

发布时间:2022-07-13 11:09:05 文章来源:SCI论文网 我要评论














SCI论文(www.lunwensci.com):
 
  摘要:基于传染病模型和社会网络等专业知识所设计的虚拟仿真实验能够突破传统教学的时间和空间限制,为学生提供了解传染病扩散过程和参与传染病防范控制的机会。以自主研发的虚拟仿真实验平台为载体,通过SIS模型实验、SIR模型实验、SEIR模型实验和传染病防控仿真实验四个模块来模拟传染病发生时的疾病研究、战略制定、防控实施、效果评估等关键环节,从而综合培养学生在数据分析、全局决策、团队合作、社会责任感等方面的能力素养,有效推进“智能+教育”在实验教学中的落实。

  关键词:虚拟仿真;实验教学;传染病模型

  Design of Virtual Simulation Experiment for Epidemic Prevention and Control in Social Network

  PU Dongping,YU Mingliang,XU Hong

  (Public Experiment Center,University of Shanghai for Science and Technology,Shanghai 200093)


  【Abstract】:The virtual simulation experiment designed based on the epidemic model and social network can break through the limitations of time and space,and provide students with opportunities to understand the spread of epidemics and participate in the prevention and control of epidemics.In the self-developed virtual simulation experiment platform,there are four modules:SIS model experiment,SIR model experiment,SEIR model experiment,epidemic prevention and control simulation experiment,so as to simulate disease research,strategy formulation,control implementation and effect evaluation when an epidemic occurs.This experiment comprehensively cultivates students'abilities in data analysis,overall decision-making,teamwork,social responsibility,and effectively promotes the implementation of“Intelligence+Education“in experimental teaching.

  【Key words】:virtual simulation;experimental teaching;epidemic model


  近年来发生的突发公共卫生事件已成为威胁民众安全和制约经济发展的主要因素[1],对传染病的扩散规律和防控措施进行研究不仅对促进社会繁荣昌盛有着现实意义,而且对培养学生实践能力有着教育意义。由于传染病扩散的场景很难实际重现且相关资料只能事后获取[2],因此如何让学生直观体验传染病防控的全过程是提升实验教学质量的重要问题。

  通过设计社会网络中传染病预测防控虚拟仿真实验(下文简称传染病预测防控实验)能够使学生仿佛置身于真实的传染病传播过程,运用虚拟手段解决专业领域中理论、实践、思考的结合难题。实验进行前,学生需要了解和掌握传染病的扩散原理、分类级别和应急措施等知识,锻炼学生在短时间内了解整合知识的能力。实验过程中,学生需要综合考虑防控成本、城市发展等因素,培养学生的社会责任感和全局意识。

  传染病预测防控研究主要基于三个经典的传染病模型[3]。实验中学生自由组队,各小组根据所选择的传染病特征原理和城市发展情况来调整各类参数,在实验平台上仿真还原区域处于传染病扩散时的场景,模拟管理者制定策略、实施防控、评估效果等关键环节。本文首先阐述了实验中运用的传染病模型知识原理。其次从教学流程、参数设置和系统架构三个方面分析了实验设计思路。最后介绍了实验实施的整体过程、重点步骤,并总结了该实验的教学培养价值。


\

  1实验原理

  传染病预测防控实验主要基于SIS模型、SIR模型和SEIR模型,这三个经典的传染病模型易于生动的描述疾病传播规律,且都遵循以下基本假设:(1)在初始时刻绝大部分个体均为易感者。(2)假设病毒的时间区间远小于个体的生命周期,因此人口始终保持为常数N。(3)在传染病扩散范围内,每个个体与其他个体接触的机会均等[4]。

  1.1 SIS模型

  SIS模型将处于传染病扩散范围内的人群分为2类:易感者(Susceptible)和感染者(Infective)。易感者是指处于健康状态且可被感染的个体,感染者是指处于生病状态且能继续传染易感者的个体。易感者与其他感染者接触后受病毒侵袭成为新的感染者,感染者在治疗后恢复为易感者,但是仍会被反复感染[5]。

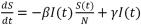
        设在t时刻,易感者的数量为S(t),感染者的数量为I(t),则N(t)=S(t)+I(t)≡N。设β为传染率、γ为恢复率,SIS模型的微分方程如式(1)、式(2)所示[6]。

\

\

       上式中,dS/dt和dI/dt分别表示在t时刻易感者和感染者的变化量。βI(t)表示在t时刻感染者能够接触并感染的人数,γI(t)表示t时刻感染者转变为易感者的数量。β=单个感染者t时刻的平均接触人数×单个个体在t时刻接触了单个感染者后被感染的概率。γ=1/平均患病期,平均患病期是指个体从感染疾病到恢复健康所需的平均时间段。SIS模型的简易流程如图1所示。

\
图 1 SIS 模型简易流程

  1.2 SIR模型

  SIR模型将处于传染病扩散范围内的人群分为3类:易感者(Susceptible)、感染者(Infective)、恢复者(Recovered)。易感者是指处于健康状态且可被感染的个体,感染者是指处于生病状态且能继续传染易感者的个体,恢复者是指已经从传染病中恢复且不会再次被感染的个体。易感者通过与其他感染者接触后受病毒侵袭成为新的感染者,感染者在治疗后成为恢复者从而退出传播过程[7]。

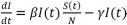
        设在t时刻,易感者的数量为S(t),感染者的数量为I(t),恢复者的数量为R(t),则N(t)=S(t)+I(t)+R(t)≡N。设β为传染率、γ为恢复率,SIR模型的微分方程如式(3)-式(5)所示。
\

  上式中,dS/dt、dI/dt和dR/dt分别表示在t时刻易感者、感染者和恢复者的变化量。βI(t)是指在t时刻感染者能够接触并感染的人数,γI(t)表示t时刻感染者转变为恢复者的数量。β和γ的含义与SIS模型中的相同。SIR模型的简易流程如图2所示。
\

  1.3 SEIR模型

  SEIR模型将处于传染病扩散范围内的人群分为4类:易感者(Susceptible)、潜伏者(Exposed)、感染者(Infected)和恢复者(Recovered)。易感者是指处于健康状态且可被感染的个体,潜伏者是指已经被感染疾病但还没有发病症状的个体,感染者是指已有发病症状且能继续传染易感者的个体,恢复者是指已经从传染病中恢复且不会再被感染的个体。易感者通过与其他感染者接触后受病毒侵袭成为新的潜伏者,潜伏者经过潜伏期成为感染者,感染者在治疗后成为恢复者从而退出传播过程[9]。

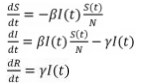
  设在t时刻,易感者的数量为S(t),潜伏者的数量为E(t),感染者的数量为I(t),恢复者的数量为R(t),则N(t)=S(t)+E(t)+I(t)+R(t)≡N。设β为传染率、γ为恢复率、δ为转化率,SEIR模型的微分方程如式(6)-式(9)所示[10]。
\
 
  上式中,dS/dt、dE/dt、dI/dt和dR/dt分别表示在t时刻易感者、潜伏者、感染者和恢复者的变化量。βI(t)是指在t时刻感染者能够接触并感染的人数,γI(t)表示t时刻感染者转变为恢复者的数量,αE(t)表示t时刻潜伏者转变为感染者的数量。β和γ的含义与SIS模型中的相同。δ=1/平均潜伏期,平均潜伏期是指单个个体从感染疾病到出现发病症状所需的平均时间段。SEIR模型的简易流程如图3所示。

\

  2实验设计

  2.1教学流程

  传染病预测防控实验的基本教学流程如图4所示,首先通过课堂学习使学生掌握传染病扩散和防控的基本原理,其次通过仿真实践使学生懂得传染病扩散过程并设计相应措施进行防控和评估,最后通过考核评价使学生能够总结和反思实验过程中的优势和不足。在教学过程中,教师对每个学生的学习效果进行全程追踪,提供相关学习资源以便学生了解实验内容[11],针对学生的提问进行及时的解答和讨论,并且对学生的仿真实施效果进行评价和总结。通过三个阶段的教学方式将理论与实践深度融合,让学生在虚拟仿真环境中熟悉传染病复杂多变的扩散形式,运用专业知识解决实际问题,领悟策略制定的理论依据,全面提升辩证思考能力。

\

  2.2参数设置

  传染病预测防控实验基于计算机建模的虚拟实验情境,实验过程以实际的城市为参考背景,以常见的传染病为模拟对象,学生可以根据自身的学习目的,设定不同的传染病扩散情况如流行性病毒感冒、埃博拉出血热、新型冠状病毒肺炎等。根据各类疾病的传染率、恢复率和潜伏期等选定适合的传染病模型[12],通过调整参数和设置变量来开展相关虚拟仿真教学。所有实验模块参数可增减和个性化设置,例如传染病防控仿真实验和SEIR模型实验的参数[13]分别如表1和表2所示。

\

  2.3系统架构

  自主研发的传染病预测防控虚拟仿真平台采用3D建模和数字仿真等技术,并以B/S架构部署于云端服务器[14],教师及学生可以在专用教学触摸屏、平板电脑、手机等终端设备通过谷歌浏览器登陆访问,来可完成教学管理或课程学习。平台由数据层、支撑层、通用服务层、仿真层和应用层这五层架构组成,如图5所示。该实验平台包含实验样例数据库、分析模型及方法库、结果评价标准库,获取不断更新的真实数据,从而打破传统管理教学内容中数据信息陈旧的瓶颈。此外,实验平台将不断积累学生的实验结果,并将部分优秀学生案例补充为实验教学资源。

\

  3实验过程

  传染病预测防控实验需要综合考虑感染者的诊断隔离、疾病传播的方式范围、民众的响应程度、防控的总体成本等复杂因素。本实验要求学生自由分组,以自主研发的虚拟仿真实验平台为载体,模拟同一时间段下的各个区域,通过团队合作的方式来实施传染病的预测评估和防控措施。

  在正式开展实验之前,每个小组需要熟悉传染病扩散原理和分析所观察区域的基本情况,制定出具体的传染病控制和防范措施。整个虚拟仿真实验共分为SIS模型实验、SIR模型实验、SEIR模型实验和传染病防控仿真实验四个模块。其中SIS模型实验和SIR模型实验主要是让学生熟悉传染病模型原理和平台操作方法,SEIR模型实验则是分为四个阶段让学生了解和学习传染病从起始到结束的整个过程,传染病防控仿真实验是基于社会网络理论使学生对民众安全和防控成本进行综合权衡。传染病预测防控虚拟仿真实验过程如图6所示,下文将详细介绍本实验中的重点步骤。

  学生登录实验平台后首先将进入发生传染病的虚拟城市三维场景,该场景可以360度自由旋转,如图7所示。各小组在确定传染病源头后点击对话框进入实验操作界面。

  SIS模型实验和SIR模型实验步骤类似,因此对于这两个模块本文以SIR模型实验为例进行步骤介绍。首先,各小组选择其认为符合SIR模型特点的传染病作为实验对象,并自主选定一个实际中的城市作为实验背景。其次,各小组根据所选择的传染病扩散特征、常住人口数量、城市发展水平等综合因素来设定SIR模型实验中的各项参数并运行实验,在实验报告中分析传染病的扩散情况。最后,各小组在人群总数、传染率、恢复率、感染者初始人数和恢复者初始人数这五个参数中任选参数进行数值调整,对比运行结果,在实验报告中分析各参数对于传染病传播的影响。如图8所示为初始分析SIR模型界面。

\

\

  各小组需要在实验报告中说明防控措施设计依据并分析防控结果。

  在SEIR模型实验中,各小组首先根据某一传染病的相关数据和信息将该传染病划分为四段时间节点。其次,各小组根据每个阶段的数据分析来设置SEIR模型中的各项参数并运行实验。最后,在实验报告中分析各阶段易感者、潜伏者、感染者和恢复者的变化。如图9所示为SEIR模型四个阶段仿真界面。

\

 
       在传染病防控仿真实验中,各小组综合调整医院收治响应时间、医院床位和人均流动意向这三个参数来分别进行有潜伏期和无潜伏期的传染病防控,如图10和图11所示。需要注意的是这三个参数的调整都有对应的成本,各小组需要综合考虑防控措施成本、防控实施天数、感染者最终人数等指标来设计最佳的防控措施。

\

  4结语

  传染病预测防控实验为学生提供了一个参与防治区域传染病的机会,帮助学生将专业知识与管理实践相结合,提高学生灵活运用知识解决实际问题的能力,为学生将来走上工作岗位预先进行综合素质的培养。综合而言,该实验共有四方面的教学培养价值。

  (1)掌握传染病扩散原理和防控方法。学生从感染概率、人口流动和医疗设施等方面分析传染病的扩散方式和范围,合作设计传染病防控方案并通过调整策略来分析防控措施实施效果,提升学生数据分析和报告撰写的能力。

  (2)领悟与实验相关的各种专业知识。帮助学生了解管理科学、社会网络等专业知识,并熟练使用软件进行分析,从管理者的视角综合考虑民众安全和城市发展等因素来解决实际问题,为社会培养积极向上、德才兼备的复合型人才。

  (3)了解传染病模型的构建思路和操作流程。通过实验逐步引导学生完成背景设置、数据分析、变量确定和结果评估等步骤,在实践中掌握传染病模型的思路流程,提升学生的学习兴趣和操作能力。

  (4)提高自主学习和团队合作能力。采用沉浸式、交互式、互动式等教学方法,让学生主动获取知识,切实体验和反思不同数据分析方式、系统模型和参数变量对于传染病扩散和管控的影响,在提高学生参与度的基础上培养其全局决策和合作创新能力。

  参考文献

  [1]种大双,孙绍荣.基于传染病模型的重大突发事件舆情传播与控制[J].情报理论与实践,2018,41(5):104-109.

  [2]王树坤,赵世文,伏晓庆,等.传染病暴发或流行的探测、监测和预警[J].中华流行病学杂志,2021,42(5):941-947.

  [3]王玉,陈姗姗,傅新楚.传播动力学模型回顾与展望[J].应用数学与计算数学学报,2018,32(2):267-294.

  [4]崔玉美,陈姗姗,傅新楚.几类传染病模型中基本再生数的计算[J].复杂系统与复杂性科学,2017,14(4):14-31.

  [5]林芹,郭东强.优化SIS模型的社交网络舆情传播研究:基于用户心理特征[J].情报科学,2017,35(3):53-56+75.

  [6]周琦萍,杨芳.基于SIS模型的网络舆情无监督预警机制研究[J].情报科学,2019,37(08):51-55.

  [7]喻孜,张贵清,刘庆珍,等.基于时变参数-SIR模型的COVID-19疫情评估和预测[J].电子科技大学学报,2020,49(3):357-361.

  [8]赵剑华,万克文.基于信息传播模型-SIR传染病模型的社交网络舆情传播动力学模型研究[J].情报科学,2017,35(12):34-38.

  [9]曹盛力,冯沛华,时朋朋.修正SEIR传染病动力学模型应用于湖北省2019冠状病毒病(COVID-19)疫情预测和评估[J].浙江大学学报(医学版),2020,49(2):178-184.

  [10]耿辉,徐安定,王晓艳,等.基于SEIR模型分析相关干预措施在新型冠状病毒肺炎疫情中的作用[J].暨南大学学报(自然科学与医学版),2020,41(2):175-180.

  [11]李萍,王春艳.交叉学科实验中心实践教学平台创新设计[J].实验室研究与探索,2019,38(2):179-181+194.

  [12]尹建华,BALOCH Zulqarnain,夏雪山.中国30年来新发病毒性传染病与病毒溯源综述[J].昆明理工大学学报(自然科学版),2021,46(4):86-93.

  [13]方乐恒,侯嘉文,来俊杰,等.基于真实城市地图的新型冠状病毒疫情传播仿真数学模型:计算模拟与防控策略的初试研究[J].应用数学学报,2020,43(2):383-401.

  [14]杨中秋,于三三,王爱文,等.基于云技术的虚拟仿真实验教学平台设计[J].实验室科学,2020,23(5):70-74+79.

关注SCI论文创作发表,寻求SCI论文修改润色、SCI论文代发表等服务支撑,请锁定SCI论文网!
 

文章出自SCI论文网转载请注明出处:https://www.lunwensci.com/jisuanjilunwen/40286.html

发表评论

Sci论文网 - Sci论文发表 - Sci论文修改润色 - Sci论文期刊 - Sci论文代发
Copyright © Sci论文网 版权所有 | SCI论文网手机版 | 鄂ICP备2022005580号-2 | 网站地图xml | 百度地图xml