Sci论文 - 至繁归于至简,Sci论文网。 设为首页|加入收藏
当前位置:首页 > 管理论文 > 正文

时变路网下冷链物流的绿色车辆路径优化论文

发布时间:2025-07-01 14:03:57 文章来源:SCI论文网 我要评论














  【摘要】城市化进程加快ꎬ冷链物流领域交通拥堵凸显ꎬ降碳与优化运输效率迫在眉睫ꎮ文中基于遗传算法构建冷链低碳物流优化模型ꎬ着重考虑交通拥堵对运输路径和时效的影响ꎬ以综合运输成本、碳排放与拥堵程度的适应度函数ꎬ设计高效物流路径优化方案ꎮ实验表明ꎬ该模型在不同交通状况下ꎬ运输效率显著提升且碳排放有效降低ꎮ对比传统优化方法ꎬ遗传算法在复杂环境的优越性得以验证ꎬ为冷链物流低碳发展提供新思路与实践依据ꎬ也为改善城市交通、促进绿色物流提供重要参考ꎬ兼具理论与现实意义ꎮ
 
  【关键词】低碳减排,改进遗传算法,冷链物流,路径优化
 
  在应对全球气候变化的背景下ꎬ减少碳排放已成为各个行业面临的重要挑战ꎮ冷链物流作为现代供应链管理中的关键环节ꎬ不仅对食品安全和药品质量至关重要ꎬ而且对环境的影响也不容忽视[1]ꎮ冷链物流过程中的温控要求导致大量能源消耗ꎬ从而产生大量的二氧化碳排放ꎮ如何在保证冷链效率的同时降低碳足迹ꎬ已经成为研究者和企业界关注的重点ꎮ
 
  传统的冷链物流路径优化主要集中于降低运输成本、提高配送效率和缩短配送时间ꎮ然而ꎬ随着环保政策的日益严格和企业社会责任的增强[2]ꎬ单纯的经济效益优化已不足以满足当前的需求ꎮ为了实现可持续发展目标ꎬ冷链物流的路径优化必须考虑碳排放ꎬ以综合衡量环境影响和经济效益[3]ꎮ
 
  本文将围绕时变路网下冷链物流配送路径优化中的碳排放控制展开探讨ꎮ我们将研究碳排放在冷链物流中的影响因素ꎬ提出考虑碳排放的优化模型ꎬ并探讨实际应用中的挑战和解决方案ꎮ希望通过这些研究ꎬ为相关领域提供理论支持和实践指导ꎬ促进冷链物流行业在环境保护和经济效益方面的双重提升[4]ꎮ
 
  1问题描述及模型建立

       1.1问题描述及假设
 
  在已知配送中心与各客户点的位置、需求量以及时间窗口约束的情况下ꎬ我们需要优化从配送中心出发ꎬ向多个客户点配送产品的过程ꎮ在此过程中ꎬ需要考虑客户点的需求量和时间窗口限制ꎬ并将碳排放成本纳入整体配送成本的计算中ꎬ最终构建一个以最小化综合配送成本为优化目标的模型ꎮ
 
  为了确保模型构建符合现实ꎬ做出以下假设:①单配送中心、多客户点的单向生鲜配送情形ꎻ②车辆载运量相同且已知ꎬ不能超载ꎻ③客户需求量已知ꎬ单次需求量不超过车辆运载上限ꎻ④客户点与配送中心ꎬ客户点与客户点之间路线相通ꎻ⑤在配送过程中ꎬ每个客户点的需求量不发生变化ꎻ⑥配送中心的货量充足ꎬ不存在短缺情况ꎮ

\
\
\
\
\
 
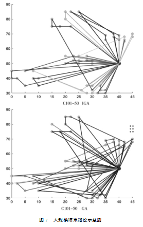
  从上述结果分析中可以看出ꎬIGA算法对大规模算例数据的改进比率分别为24.38%、25.94%和22.60%ꎬ相对于小规模算例中的改进比率有了更好的结果ꎬ可以证明在大规模算例中IGA算法比GA算法的效果更好ꎮ
 
       4结论
 
  本文研究的是基于时变路网下冷链物流的绿色车辆路径优化问题ꎬ旨在解决一些实际的冷藏车配送路线规划问题ꎬ考虑了碳排放成本以及交通拥堵导致的速度变化ꎮ根据问题建立时变路网下冷链物流的绿色车辆配送模型ꎬ并针对问题设计添加了自适应大邻域搜索算法的改进遗传算法ꎬ从小规模数据进行IGA算法和GA算法的结果分析ꎬ证明模型和算法的有效性ꎬ然后选取大规模算例数据验证算法证明在面对更复杂问题时可以对路径进行更有效规划ꎮ本文的研究内容能够为低碳冷链物流配送提供有效的解决方案ꎬ提高配送效率ꎮ
 
  但是ꎬ本文提出的模型只考虑到客户的坐标以及各个客户的需求量和时间窗问题ꎬ保证在相对更低的成本下能够满足客户的需求ꎬ并没有详细考虑是否提高车辆的货载率以及减少参与配送的车辆ꎬ这些可以在后续做进一步研究ꎮ
 
  [参考文献]
 
  [1]张晓芹.基于大数据的电子商务物流服务创新[J].中国流通经济ꎬ2018ꎬ32(08):15-22.
 
  [2]杨守德.技术创新驱动中国物流业跨越式高质量发展研究[J].中国流通经济ꎬ2019ꎬ33(03):62-70.
 
  [3]Taques F HꎬLópez M GꎬBasso L Fꎬet al.Indicators used to measure service innovation and manufacturing innovation[J].Journal of Innovation&Knowledgeꎬ2021ꎬ6(1):11-26.
 
  [4]Lin YꎬLuo JꎬCai Sꎬet al.Exploring the service quality in the e-commerce context:A triadic view[J].IndustrialManagement&Data Systemsꎬ2016ꎬ116(3):388-415.
 
  [5]李宇光ꎬ熊普选ꎬ乐阳.基于大样本浮动车数据的武汉市车辆行驶速度获取与分析[J].交通信息与安全ꎬ2009ꎬ27(4):26-29.

文章出自SCI论文网转载请注明出处:https://www.lunwensci.com/guanlilunwen/82248.html

发表评论

Sci论文网 - Sci论文发表 - Sci论文修改润色 - Sci论文期刊 - Sci论文代发
Copyright © Sci论文网 版权所有 | SCI论文网手机版 | 鄂ICP备2022005580号-2 | 网站地图xml | 百度地图xml