Sci论文 - 至繁归于至简,Sci论文网。 设为首页|加入收藏
当前位置:首页 > 管理论文 > 正文

基于蒙特卡洛模拟—实物期权法的医药专利价值评估案例研究论文

发布时间:2024-10-30 17:26:36 文章来源:SCI论文网 我要评论














  摘要:随着我国对专利转化运用的愈发重视,医药专利交易也亟待进一步市场化、精确化,如何正确评估医药专利价值是其能否顺利交易的关键所在。医药专利由于自身的成本特性与其交易市场的不完善,一般以收益法为主。医药专利在运用中具有期权属性,将其与实物期权进行比较,可用B⁃S模型评估其价值,同时引入蒙特卡洛模拟对模型中的参数进行确定,将评估结果与收益法得出的结果对比可知,由于实物期权法考虑到医药专利价值实现过程中管理者的决策柔性与管理灵活性,评估价值在该方法下更高,也更为合理,故在评估医药专利价值时,应适当考虑结合期权的价值评估法。
 
  关键词:医药专利价值评估,B⁃S模型,蒙特卡洛模拟
 
  0引言
 
  近年来在国家政策的大力支持下,专利领域取得了显著成果,截至2022年底,我国发明专利有效量为421.2万件,同比增长17.1%。国*院常务会议于2023年10月10日通过了《专利转化运用专项行动方案(2023—2025年)》,进一步推动专利的发展与转化运用。经过新冠疫情冲击后,我国对医药领域的发展愈加重视,医药行业属于知识产权密集型,也是专利申领的重要行业。医药专利是一个医药企业核心竞争力的重要指标之一。运用医药专利,企业可以生产或改进产品获取超额收益、将其作为商品出售及质押融资等,在此过程中便会涉及专利价值的评估。我国医药行业起步较晚,医药专利的价值评估体系尚不成熟,但当前出台了一系列政策支持医药领域创新和专利活动,推动了医药研发能力逐步提高,医药专利价值评估的需求也得到了增长。因医药专利投入成本大、研发时间长等特征,评估结果又将影响该专利项目的进一步研发与投入,因此准确地评估医药专利价值相当重要又具有难度。
 
  本文基于实物期权模型对医药专利价值评估的适用性,运用蒙特卡洛模拟确定B⁃S期权定价模型中参数,以评估专利价值。在一定意义上,这有助于拓展专利价值评估方法、促进专利交易市场的完善及更好地保障专利持有人的权益。
 
  1专利价值评估研究回顾
 
  1.1关于专利价值及影响因素的研究
 
  从专利的成本和收益来说,Harhoff等[1]认为专利权价值应着眼于专利权的销售价格和获取成本,并将市场竞争等列入影响因素范围。Bessen[2]认为专利权持有人能以专利技术在市场上拥有一定的独占性并从中获取超额收益额,而超额收益体现了专利权价值。马力辉等[3]提出专利价值具有显性价值和隐性价值两个部分,显性价值是利用专利而增加的收入和减少的成本,而隐性价值是用专利创新所形成的价值壁垒。
 
  从综合角度来看专利价值,王岩[4]认为应从专利、技术和公司3个方面考虑专利价值,并受产品化中的成本与风险影响。王子焉等[5]从狭义和广义两个角度看待专利价值,狭义价值是经济意义上的预期收益;而广义价值包含技术、法律、经济3个方面,技术价值是根本基础,法律价值是前提保障,经济价值是最终目的,三者共同构成专利的价值。
 
  1.2关于专利权价值评估方法研究
 
  传统评估方法对专利价值的评估。刘玉[6]研究了专利价值评估中收益法的应用及注意事项。朱顺泉[7]认为重置成本法应用于评估以摊销为目的技术资产;对于以技术资产投资、转让或企业股票上市等为目的的评估,宜用收益法或成本法与收益法的结合。
 
  专利价值评估中实物期权法的应用。Pitkethly[8]研究了专利各阶段的情况和多种评估方法的适用性,认为实物期权法可对专利组合和其他知识产权资产进行评估。王倩[9]的研究表明B⁃S期权定价模型在评估专利价值中灵活性更高,通过引入波动率可以对投资者的管理柔性进行动态分析,将专利所具有的期权价值量化分析。
 
  在医药专利价值评估方面,Russel[10]使用收益法、未摊销的研发支出之和、财务报表中无形资产来评估医药专利,验证了医药专利的贴现现金流量与其价值的相关性。Sereno[11]以肿瘤学研发公司的药品专利为例,提出复合实物期权模型可以用于评估医药专利价值,且该方法具有直接实用性。Vasseur和Pérez[12]通过确定性等价物和效用函数的实物期权来评估医药专利,该方法考虑了投资者对风险的态度、提供了不同的退出期权值,在不完全市场上的专利评估中作出了贡献。孙劼等[13]结合实物期权法和收益法,建立了B⁃S模型和博弈论模型,发现两种方法结合能更加准确地评估医药专利价值。赵瑞等[14]用DCF模型和B⁃S模型计算新药研发项目价值并将其结果进行比较,认为B⁃S模型更能体现项目管理的灵活性。
 
  1.3关于蒙特卡洛模拟应用于实物期权法中的研究
 
  Ernst等[15]用实物期权法评估具有专利的科研项目,通过蒙特卡洛模拟对同一个研发项目有无专利保护进行比较,结果表明前者收益高于后者,而高出部分被认为是专利价值。马志卫和刘应宗[16]根据统计原理运用蒙特卡洛模拟建立了实物期权波动率计算模型。周艳丽等[17]运用蒙特卡洛模拟方法建立含放弃期权的专利期权的数值定价模型。翟东升等[18]基于实物期权理论把企业拥有的专利作为整体,将时间序列预测、专利组合分析和最小二乘蒙特卡洛模拟等方法结合计算专利组合的价值。
 
  1.4文献评述
 
  多数学者认为专利价值在于为企业减少成本与创造超额收益,同时要认识到市场环境等因素的影响。此外,应以更全面的角度来看待专利的价值,除了经济价值,专利中还包含着法律、技术等价值。对于专利评估方法,从传统角度看,研究主要还是集中在收益法及其方法组合与改进。基于实物期权模型对不确定性和动态性的考虑及实物期权和专利的可比性,大部分学者认为专利具有期权的特点,实物期权法对专利价值评估具有适用性。在医药专利评估的研究中也是收益法和实物期权法占比较高,且实物期权法能更好地衡量医药专利的潜在价值。为进一步解释实物期权模型中的复杂性和不确定性,蒙特卡洛模拟被用于模型中的参数确定,通过调整模型中参数及其分布,以更好地适应实际情况。本文将蒙特卡洛模拟运用于对未来数据的预测,在此基础上确定B⁃S模型中参数,以更加客观地确定医药专利价值评估结果。
 
  2基于蒙特卡洛模拟—实物期权法的医药专利价值评估模式
 
  2.1医药专利的价值构成及其影响因素
 
  专利是专利权的简称,是在一定时期内授予发明人的排他权,具有排他性、时间性和地域性等特点,在专利有效期内,若未经专利权持有人允许他人不得擅自使用该专利。而医药专利则是专利在医药领域的体现,除了上述专利的一般特点,它还具有自身的特殊性:
 
  (1)价值波动较大。医药市场需求波动大,某些特定疾病或健康趋势的兴起可能会导致相关药物的需求大幅度增加,而增加相关专利价值。此外,政策和法规变化可能对医药专利的价值产生深远影响。
 
  (2)研发周期长、投入高。医药专利研发前需要完备的实验室、高技术团队,研发中要经过多年的临床实验,以验证新药的疗效和安全性,研发完成后还有生产、销售等过程,每个阶段都需耗费大量的时间和金钱。
 
  医药专利的价值构成主要包括两个方面:其一,利用该专利技术改进工艺、生产药品等方式直接或间接获得经济利益;其二,将医药专利作为一项无形资产进行融资、转让、抵押等金融活动[19]。
 
  医药专利价值的主要影响因素有:
 
  (1)法律因素。一个国家该方面法律规定明确且执法力度强,则说明专利权人获得的权利即对某项技术的排他独占性是能够切实得到法律保障的,那么其价值会更高;专利具有多种法律状态,不同的法律状态对应着不同的法律意义,对其价值也具有显著的影响,处于非正常有效使用下的专利,其价值均会受到不同程度的贬值。
 
  (2)技术因素。依据技术周期论,技术可分为萌芽、成长、成熟、衰退4个阶段,一般而言,某项技术愈是成熟,其价值愈高,进入衰退期后,则会下降。从技术的迭代速度来看,迭代速率越快,其贬值越快。
 
  (3)经济因素。正常情况下,成本费用、获利能力与专利价值呈正相关,市场竞争激烈时,价值也会在一定程度上降低。
 
  2.2传统评估法与基于蒙特卡洛模拟—实物期权法的应用原理
 
  2.2.1传统评估法的应用原理
 
  成本法是按被评估资产的现实重置成本减去各项贬值来确定资产价值的评估方法。医药专利属于无形资产中的一部分,在成本特性上显示出不完整性、弱对应性和虚拟性。由于这3个成本特性,导致用成本法计算医药专利价值时通常无法涵盖全部的价值,故此成本法在计算医药专利价值时,适用性较低。
 
  市场法是通过直接比较或类比分析市场上相同或类似资产的近期交易价格来确定资产价值的评估方法。医药专利价值评估中市场法适用性也较低:医药专利的独创性使其在市场上难以找到可比交易的参照物;法律限制、保密性等因素使医药专利交易市场上的交易数据有限,该交易市场并不是一个活跃的公开市场;市场法难以考虑到未来市场变化。
 
  收益法是以被评估资产未来预期收益现值来确定资产价值的评估方法。相比于前两种评估方法,收益法考虑到了被评估对象预期收益及其风险水平,其评估思想与医药专利价值的评估较为符合,也是在专利价值评估中运用最为广泛的方法。但收益法在参数的确定上存在较高的主观性,同时会受未来不可预见因素的影响。
 
  2.2.2基于蒙特卡洛模拟—实物期权法的应用原理
 
  (1)实物期权法的核心思想。将实物资产的管理权与金融期权联系起来,管理人员可分析各方面情况后进行投资决策,可以选择继续投资(执行期权)、停止投资(放弃期权)、扩大投资(扩张期权)或推迟投资(延迟期权)。这些选择权允许管理者根据未来市场条件来最大限度地优化投资决策。实物期权常用B⁃S模型和二叉树模型等估价。
 
  (2)蒙特卡洛模拟的运用。蒙特卡洛模拟可以基于变量的特定分布进行系统性的随机抽样模拟,当模拟次数足够多时,结果将逼近真实地数值。本文将这种方法引入于实物期权中所涉未来值的预测。
 
  (3)实物期权与医药专利权。实物期权的核心特性可分为:①源自机会的净经济收益不确定,并部分依赖于期权持有人的未来决策;②未来决策的不确定性会因获得更多信息而减少;③机会为决策者提供了灵活性,可将决策推迟到以后。

       而专利可类比于:①源自医药专利的净经济收益不确定,并且部分依赖于专利持有人的未来决策;②未来决策的不确定性会因获得更多信息而减少;③该专利的排他权为专利持有人提供了将该专利决策推迟到以后的能力[20]。医药专利的研发转化可视为一种长期性的投资,企业管理者拥有继续执行或中止投资项目、扩大或缩减投资规模的选择权。该投资预期收益的不确定性,受管理决策影响,符合实物期权的特点。
 
  (4)适用性分析。医药专利通常需要经历漫长的研发和临床实验,再申请并等待获批,伴随的资金需求和人工成本较高。但只要专利在有效期内、技术仍具竞争力,企业通常会持续生产和销售相关产品,医药专利在其有效期内可以连续带来收益,这种情况符合B⁃S模型的运用条件。此外,专利权持有者可以选择在未来某一时刻行使专利权(生产和销售药品),这相当于执行期权。如果专利权在期限内持续有效,其价值随着时间的推移会随之增加,因为专利带来的收益将持续积累。虽然该收益因市场变化具有不确定性,但它体现了专利权的潜在价值。再者,模型的一些假设条件,如风险中性定价和几何布朗运动,也适用于医药专利的评估。这种连续的、不断积累的收益特性及假设条件使B⁃S模型成为一种合理的方法来估算医药专利的价值。
 
  2.3基于蒙特卡洛模拟的B⁃S模型的构建
 
  2.3.1构建思路
 
  本文将医药专利权与实物期权进行类比,二者之间存在相类似的特点,基于这些特点把B⁃S期权定价模型运用于医药专利权价值的评估。在参数求取的过程中,将蒙特卡洛模拟用于变量未来值的预测,先对变量增长率进行K⁃S检验,确定其分布情况,然后用蒙特卡洛模拟对变量的增长率进行100 000次模拟,将所求得的数据算术平均处理后作为预测值。本文将根据这些预测情况确定B⁃S模型中所需参数,并代入模型公式计算评估结果。
 
  2.3.2评估模型及参数选取
 
  在上述适用性分析可知,医药专利价值评估符合实物期权中B⁃S模型的运用条件。B⁃S期权定价模型由Fisher Black和Myron Scholes于1973年开发,是基于随机过程和风险中性定价理论主要用于估算欧式期权价格的数学模型,被广泛用于期权定价。
 
  B⁃S期权定价模型成立需满足以下假设:①期权有限期内没有红利支付;②不存在无风险套利机会;③无风险利率为常数,并且对所有到期日都相同,投资者可以以此利率自由借贷;④无市场摩擦,允许卖空证券;⑤期权为欧式期权;⑥标的资产价格服从对数正态分布;⑦证券交易是持续的。
  
\
 
  式中,C为期权价值;X为期权执行价格;S为金融资产市场价格;N(d)为标准正态分布中离差小于d的概率;t为期权距到期时间;r为连续复利的无风险利率;σ2为标的资产收益的波动率。
 
  本文中评估参数的选取见表1。

\
 
  3基于蒙特卡洛模拟的B⁃S模型的案例分析
 
  3.1案例公司背景及其所评专利介绍

       3.1.1案例公司背景
 
  天士力医药集团股份有限公司(以下简称“天士力”)成立于1994年,是一家综合性医药公司,在中国医药领域具有重要地位。公司主要经营领域包括中药研发、生产和销售,以及中药保健品、药物制剂、生化制品等。天士力一直注重研发和创新,拥有一支强大的研发团队,专注于开发新的中药产品和医药技术,推动医药领域的创新。
 
  截至2022年12月31日,天士力及其主要子公司拥有专利1 159件,其中发明专利1 036件,绝大多数为药物的制备方法及应用专利。公司以发明专利为基础,进行药物的研制与销售,故专利价值主要表现为药品销售所获得的利润。其2022年主营业务收入情况见表2。

\
 
       3.1.2所评专利介绍
 
  在对天士力主营业务情况分析后可知,该公司营业收入来源于心脑血管药品的销售,而心脑血管药品中最重要的药品为复方丹参滴丸,该药品的主要成分为丹参、三七等,故丹参与三七的组合及应用技术对该药品的研制与改良具有重大意义。本文以天士力所获专利“一种含有丹参素和三七皂苷R1的中药组合物及其应用”作为评估对象,该专利是天士力的一项核心医药发明专利,由天士力独立研发,具有治疗心脏微循环障碍和心肌损伤的功能。专利信息如下:
 
  专利名称:一种含有丹参素和三七皂苷R1的中药组合物及其应用
 
  申请号:200910244837.X
 
  申请日期:2009⁃12⁃17
 
  申请公布日:2001⁃06⁃22;2013⁃12⁃25
 
  申请公布号:CN102100739A;CN102100739B
 
  预估到期日:2029⁃12⁃17
 
  专利权人:天士力医药集团股份有限公司
 
  3.2蒙特卡洛模拟的B⁃S模型中参数的确定及其评估结果计算
 
  3.2.1专利权的剩余经济有效期
 
  我国法律规定,发明专利自专利中请日起计算,其法律保护期限为20年。上述专利于2009年12月17日提请申请,按20年计算将在2029年12月17日到期。所以该专利剩余有效期为7年。
 
  3.2.2技术分成率的确定
 
  本文参照刘伍堂[21]的做法,采用综合评价法来确定技术分成率,从法律、技术、经济3个维度对调整系数进行打分估计。
 
  (1)法律因素:专利类型及法律状态80分,该专利为发明专利,通过实质性审查,成功申请;保护范围60分,权利具有该类技术的某些重要技术特征;侵权判定60分,通过某产品的分析,可以判定侵权,取证难度适中。
 
  (2)技术因素:技术所属领域60分,发展情景较好;替代技术40分,存在其他替代产品;先进性60分,较为先进;创新性100分,首创技术;成熟度60分,小批量生产;应用范围60分,应用于某医药领域;技术防御力60分,技术较为复杂。
 
  (3)经济因素:成本因素40分,成本投入一般;收益因素60分,收益较好;市场因素40分,存在一定市场竞争。
 
  调整系数打分表见表3。由调整系数=加权得分/100,可得所评专利技术分成率的调整系数为0.604。

\
 
  根据《全国工业各分支行业技术分成率参考值表》,部分行业技术分成率取值表见表4。
 
  \
 
  根据待估专利技术分成率计算公式
 
  R=m+(n-m)×r(4)
 
  式中,R为待估专利技术分成率;m为分成率的取值下限;n为分成率的取值上限;r为调整系数。将表4数据代入式(4)计算可得,所分析专利的待估技术分成率为3.406%。
 
  3.2.3折现率的确定
 
  (1)复利换算后的无风险报酬率Rf。计算公式为
 
  Rf=(1+n×i)-n-1(5)
 
  式中,Rf为复利换算后的无风险利率;n为发行日期;i为国债利率。
 
  取2022年5年期国债利率3.52%,代入式(5),进行复利换算后得到Rf为3.30%。
 
  (2)医药行业市场期望报酬率R m。由折现率计算公式
 
  R=Rf+(R m-Rf)×β(6)
 
  式中,R为待估专利技术分成率;Rf为无风险报酬率;R m为医药行业市场期望报酬率,取2022年医药生物板块医药工业全行业优秀净资产收益率16.10%;β为风险系数,取2022年天士力调整后的β为0.926 4。将数据代入式(6)可得折现率R为15.16%。
 
  3.2.4专利产品生产全部未来现金流的现值之和(S)本文以近6年的数据,计算出5个增长率,对增长率SR1进行K⁃S检验,检验结果说明其符合正态分
 
  布,在此基础上运用蒙特卡洛模拟对增长率进行100 000次模拟,以预测未来的营业收入。
 
  天士力2017—2022年营业收入及增长率见表5。

  \
 
  对SR1进行K⁃S检验,结果见表6、表7。

\
 
  假设检验:
 
  H0:SR1符合正态分布。
 
  H1:SR1不符合正态分布。
 
  因为P=0.347 50>0.05,所以接受原假设,SR1符合正态分布,服从N(0.018 381,0.106 191 72),见图1。
 
 \
 
  3.2.5专利产品生产的投资费用现值(X)
 
  本文以近6年的数据,计算出5个增长率,对增长率CB1进行K⁃S检验,检验结果说明其符合正态分布,在此基础上运用蒙特卡洛模拟对增长率进行100 000次模拟,以预测未来的营业成本。天士力2017—2022年业务成本及增长率见表9。

\
 
  假设检验:
 
  H0:CB1符合正态分布。
 
  H1:CB1不符合正态分布。
 
  因为P=0.251 25>0.05,所以接受原假设,CB1符合正态分布,服从N(0.016 180 4,0.10 388 322),见图2。
 
\
 
  经过蒙特卡洛模拟预测后得到结果见表12。
\
       3.2.6波动率(σ)
 
  本文用未来自由现金流波动率与股票价格波动率来衡量医药专利的波动率。
 
  方法一:以近5年数据,计算出每年增长率,对增长率C进行K⁃S检验,检验结果说明其符合正态分布,在此基础上运用蒙特卡洛模拟对增长率进行100 000次模拟,来预测未来自由现金流。天士力2018—2022年自由现金流及增长率见表13。
 
  \
 
  假设检验:
 
  H0:C符合正态分布。
 
  H1:C不符合正态分布。
 
  因为P=0.082 68>0.05,所以接受原假设,增长率C符合正态分布,服从N(-2.593 479,4.997 7572),见图3。
 
  \
 
       经过蒙特卡洛模拟预测后结果见表 16。

\
 
  式中,σ为波动率;σF为自由现金流的标准差;n为未来收益年限。经过计算可得,自由现金流F的标准差为0.938 446 4,波动率为0.354 7。
 
  方法二:计算2022年每个交易日股票收盘价的日对数收益率的波动作为专利价值波动率。
 
  2022年天士力部分股价见表17。

\
\
 
       由波动率σ计算公式
 
  σ=σln×n(8)
 
  式中,σ为波动率;σln为对数收益率的标准差;n为交易天数。计算可得对数收益率的标准差为0.023 018 3,交易天数为242天,波动率为0.358 1。
 
  本文波动率取两种方法结果的算术平均值0.356 4。

       3.2.7评估结果
 
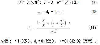
  由以上计算可知,未来5年营业收入为119 803.75元,即专利产品生产全部未来现金流的现值之和S=119 803.75元;以未来5年营业成本作为48 943.88元,即专利产品生产的投资费用现值X=48 943.88;
 
  
 
 
  专利剩余有效期t=7;波动率σ=0.356 4;待估技术分成率R=3.406%。将上述参数带入B⁃S定价模型

\
 
       3.3收益法结果计算
 
  根据上述参数,运用收益法,计算所分析专利2023—2029年折现值结果见表18。
 
 \
 
  3.4结果分析
 
  该专利在实物期权法和收益法下的评估结果分别为83 301.99和79 892.39万元,可知前者比后者高出约3 409.6万元。两种方法均着眼于未来收益,其差异主要是B⁃S模型中医药专利被赋予了期权属性,这意味着专利持有者可以在未来根据市场情况做出决策,以最大化专利的价值,即专利持有者可以灵活地决定如何最大限度地利用专利,包括选择不同的市场进入策略、授权给其他公司或推迟专利的商业化等。而收益法未考虑到专利价值实现过程中管理者的决策柔性与管理灵活性。
 
  但在天士力公司对专利的实际运用中还是以专利自用研制药品为主,一般来说专利达到其实现标准、具备可行性,便会进行该专利药品的生产与销售,管理者对专利运用时较少以专利价值最大化角度出发,但从实物期权法与收益法下的评估结果可知,实物期权法下的评估价值更高,故天士力公司管理者应考虑专利自身、企业内部情况、市场环境等多种因素,把握专利实现方式的多元化,尽可能地发挥其价值。
 
  4结语
 
  本文通过对医药专利价值的评估研究,在考虑了国内外学者对专利价值、评估方法的研究和医药专利自身的特点后,运用蒙特卡洛模拟预测专利产品的收益与投入及波动率的确定,使得用实物期权法中B⁃S模型评估医药专利价值时的参数更加客观,为蒙特卡洛模拟与实物期权法的结合运用提供了思路。从评估结果来看,由于实物期权法将医药专利的期权属性考虑在内,并对未来的不确定性用以波动率进行衡量,故本文认为实物期权法评估结果更为合理。在医药专利价值评估过程中,评估师应充分认识到医药专利的特殊性以及运用的多样性,不仅需要关注成本效益上的价值,而且也要重视其隐含的期权特性,在对其评估方法的选择上应适当考虑结合期权的价值评估法。

       参考文献
 
  [1]HARHOFF D,SCHERER F M,VOPEL K.Citations,family size,opposition and the value of patent rights[J].Research Pol⁃icy,2003,32(8):1343⁃1363.
 
  [2]BESSEN J.The value of U.S.patents by owner and patent char⁃acteristics[J].Research Policy,2008,37(5):932⁃945.
 
  [3]马力辉,张润利,范昀阳.专利价值及影响因素[J].工程机械文摘,2009(5):21⁃24.
 
  [4]王岩.专利的价值及其运营[J].知识产权,2016(4):89⁃95.
 
  [5]王子焉,刘文涛,倪渊,等.专利价值评估研究综述[J].科技管理研究,2019,39(16):181⁃190.
 
  [6]刘玉.收益法在专利资产评估中的应用[J].中外企业家,2020(7):14.
 
  [7]朱顺泉.技术资产的评估方法与公式[J].技术经济,2000(6):59⁃61.
 
  [8]PITKETHLY R.The valuation of patents:a review of patent valu⁃ation methods with consideration of option based methods and the potential for further research[J].Intellectual Property,1997(8):17⁃18.
 
  [9]王倩.基于B⁃S模型的专利权价值评估[J].中国资产评估,2020(1):32⁃38.
 
  [10]RUSSELL M.The valuation of pharmaceutical intangibles[J].Journal of Intellectual Capital,2016,17(3):484⁃506.
 
  [11]SERENO L.Real options valuation of pharmaceutical patents:a case study[R].2010.
 
  [12]VASSEUR J P,PÉREZ C C.Valoración de patentes farmacéuticas a través de opciones reales:equivalentes de certeza y función deutilidad[J].Contaduría y administración,2016,61(4):794⁃814.
 
  [13]孙劼,俞彤,卞呈祥.医药专利权价值评估方法探析[J].中国管理信息化,2017,20(11):26⁃28.
 
  [14]赵瑞,柴倩雯,李云飞,等.Black⁃Scholes期权模型在新药研发项目价值评估中的应用[J].中国现代应用药学, 2017,34(5):759⁃765.
 
  [15]ERNST H,LEGLER S,LICHTENTHALER U.Determinants of pa⁃tent value:Insights from a simulation analysis[J].Technological Forecasting&Social Change,2010,77(1):1⁃19.
 
  [16]马志卫,刘应宗.实物期权波动率蒙特卡洛模拟估算方法[J].统计与决策,2006(17):10⁃11.
 
  [17]周艳丽,李庆,葛翔宇.一类专利权价值的动态实物期权定价方法[J].数理统计与管理,2019,38(5):940⁃950.
 
  [18]翟东升,陈曾曾,徐硕,等.基于实物期权的专利组合估值方法研究[J].情报杂志,2021,40(6):200⁃207.
 
  [19]霍艳飞.我国医药专利价值评估影响因素研究[D].上海:中国医药工业研究总院,2017.
 
  [20]墨菲,奥科特,莱姆斯.专利估值:通过分析改进决策[M].张秉斋,等译.北京:知识产权出版社,2017.
 
  [21]刘伍堂.专利资产评估[M].北京:知识产权出版社,2011.


文章出自SCI论文网转载请注明出处:https://www.lunwensci.com/guanlilunwen/79371.html

发表评论

Sci论文网 - Sci论文发表 - Sci论文修改润色 - Sci论文期刊 - Sci论文代发
Copyright © Sci论文网 版权所有 | SCI论文网手机版 | 鄂ICP备2022005580号-2 | 网站地图xml | 百度地图xml