Sci论文 - 至繁归于至简,Sci论文网。 设为首页|加入收藏
当前位置:首页 > 管理论文 > 正文

高效液相色谱法检测车用尿素中缩二脲含量论文

发布时间:2025-08-18 11:12:37 文章来源:SCI论文网 我要评论














  摘要:文章建立了一种快速准确的检测车用尿素中缩二脲含量的高效液相色谱方法,本方法在进样量为5μL时,最低检出浓度为0.000 2 mg/mL,最低定量浓度为0.000 5 mg/mL,线性范围为0.000 5 mg/mL~0.200 0 mg/mL,线性相关性R>0.9992,实验室内变异系数为0.12%,样品重现性及稳定性好。经过大量的车用尿素产品检测表明,该方法不仅准确度高、适用性强,而且样品及标样稳定性好操作简单,适合大批量样品分析检测。
 
  关键词:高效液相色谱,缩二脲含量,车用尿素
 
  0引言
 
  柴油机在运行时会排出有害气体氮氧化合物,这些气体对环境和人体是有危害的。为了降低这类尾气对大气环境和人类身体的伤害,柴油车尾气排放标准也控制得越来越严格[1]。重型卡车、客车等柴油车要达到国家排放标准,在尾气处理上就要选用适合的SCR系统,而这项系统就须利用尿素溶液对尾气中的氮氧化物进行处理[2]。车用尿素是指尿素浓度约为32.5%且溶剂为超纯水的尿素溶液,其原料为尿素晶体和超纯水。国内车用尿素水溶液中的尿素晶体主要是从工业尿素提纯得来。尿素在生产过程中对热不稳定,在合成过程中温度达到150~160℃容易发生聚合反应,生成缩二脲等副产物。在车用尿素处理氮氧化物过程中,副产物缩二脲会进一步缩合成三聚氰酸化合物并附着在柴油机的SCR催化剂上,造成喷管和喷头堵塞。因此缩二脲作为尿素溶液中的杂质,是需要严格控制的,在国标GB 29518—2013(柴油发动机氮氧化物还原剂尿素水溶液〔AUS 32〕)中规定车用尿素产品中缩二脲含量不超过0.3%[3-5]。
 
  尿素含量是车用尿素产品的重要质量指标,会直接影响NOx的催化效率和尿素溶液的凝固点。在国家标准中。缩二脲项目不仅本身有严格限值,而且还直接参与尿素含量项目结果的计算,因此准确快速检测缩二脲指标对于检测车用尿素产品具有重大意义。
 
  因此,本文提出了一种快速准确的检测缩二脲含量的高效液相色谱法,并且在车用尿素产品中做大量试验以验证本方法的稳定性、准确性、适用性。
 
  1实验部分
 
  1.1仪器与试剂
 
  高效液相色谱仪1260,安捷伦;电子天平ME204,瑞士梅特勒托利多公司;超声波清洗器,宁波新芝生物科技股份有限公司;针头过滤器(孔径0.45μm水相微孔滤膜),安捷伦;甲醇,HPLC,上海安谱;磷酸二氢钾,优级纯,麦克林;氢氧化钾,优级纯,麦克林;缩二脲标样,2.00 g/L,北京北方伟业计量技术研究院;实验用水为超纯水。
 
  1.2色谱条件
 
  色谱柱:ZORBAX SB-Aq(4.6 mm×150 mm,5μm),安捷伦科技有限公司;检测波长:200 nm;流动相:甲醇5 mL+10 g/L磷酸二氢钾溶液(pH值=6.0)95 mL,使用前用滤膜过滤并超声脱气;流速1.2 mL/min,进样量:5μL;柱温:20℃。
 
  1.3标准溶液的配制
 
  1.3.1高浓度标准溶液配制
 
  用移液管分别移取0.25、0.50、1.50、2.50、5.00 mL的2.00 g/L缩二脲标样于50 mL的容量瓶中,用流动相稀释至刻度摇匀,经0.45μm滤膜过滤后上机,所得标样浓度分别为0.01、0.02、0.06、0.10、0.20 mg/mL。
 
  1.3.2低浓度标准溶液配制
 
  用移液管分别移取0.50、1.00、1.50、2.00、2.50、3.00、4.00、5.00、6.00 mL的0.01 mg/mL缩二脲标准溶液于50 mL的容量瓶中,用流动相稀释至刻度摇匀,经0.45μm滤膜过滤后上机,所得标样浓度分别为0.000 1、0.000 2、0.000 3、0.000 4、0.000 5、0.000 6、0.000 8、0.001、0.001 2 mg/mL。
 
  1.4车用尿素产品的制备及结果计算
 
  1.4.1车用尿素产品的制备
 
  称取样品0.20~0.70 g(精确至0.10 mg)于10 mL容量瓶中,用流动相稀释至刻度摇匀,经0.45μm滤膜过滤后上机。
 
  1.4.2车用尿素产品结果计算
 
  车用尿素产品的计算如式(1)所示:
 
\
 
  式(1)中:x为样品中缩二脲含量(质量分数%);C为从标准曲线中得到的缩二脲浓度(mg/mL);V为样品定容体积(mL);m为样品的称样量(g)。
 
  2结果与讨论
 
  2.1检出浓度与定量浓度的测定
 
  将配置的低浓度缩二脲标准溶液0.000 1、0.000 2、0.000 3、0.000 4、0.000 5 mg/mL分别检测8次,检出的峰面积大小如表1所示。

\
 
  从表1得出,在缩二脲浓度为0.000 1 mg/mL时,检测的谱图中在保留时间3.63 min左右未检出缩二脲;将缩二脲浓度增大至0.000 2、0.000 3、0.000 4、0.000 5 mg/mL时,均有缩二脲的峰面积,因此本方法最低检出浓度为0.000 2 mg/mL。
 
  将低浓度0.000 5、0.000 6、0.000 8、0.001、0.001 2 mg/mL的缩二脲标准溶液进行检测并建立校准曲线,线性方程为y=5 315.925 13x+0.201 734,线性相关性:0.999 22,若将0.000 4 mg/mL浓度纳入校准曲线,则线性相关性降为0.997 02,因此确定本方法最低定量浓度为0.000 5 mg/mL。
 
  2.2车用尿素产品的检测
 
  将配置的高浓度缩二脲标准溶液0.01、0.02、0.06、0.1、0.2 mg/mL上机检测并建立校准曲线,线性方程为y=7 440.747 42x+8.368 84,线性相关性:0.999 83。
 
  称取某一车用尿素样品8次,经处理后上机检测,用上述校准曲线加载处理数据,样品称样量、检测的结果及实验室内变异系数如表2所示。
 
  从表2可以看出,样品检测的结果十分稳定且重现性好,实验室内变异系数仅为0.12%。
 
  将30种不同生产厂家的车用尿素水溶液产品分别称量3次并用流动相稀释处理后用高效液相色谱法上机检测,所得结果与传统的分光光度法检测结果对照统计结果如表3所示。

\
 
 
  从表3可以看出,高效液相色谱法检测缩二脲结果稳定性更好,数据精密度更高,且重现性更好。虽然所得结果与GB 29518—2013(柴油发动机氮氧化物还原剂尿素水溶液〔AUS 32〕)附录C分光光度法检测结果大体一致,但是本文的高效液相色谱法检测的实验过程影响因素少、变量少、实验室内变异系数低。而用国标分光光度法检测时检测过程影响因素众多、实验对人员要求高、结果重现性相对较差,需要做大量的试验才能分析得到产品缩二脲含量相对可靠的结果。
 
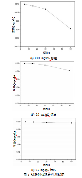
  2.3稳定性测试
 
  将配置的缩二脲标准溶液0.01、0.1、0.2 mg/mL,放置室温避光环境储存,分别在5日、15日、30日、60日之后检测,检测的浓度与时间的变化如图1所示。
 
 \
 
  将缩二脲含量分别为0.08%、0.15%、0.27%的3个产品在1日、5日、15日、30日内做稳定性测试,含量为0.27%的样品缩二脲含量在30日内检测保留时间稳定且结果差异很小,0.15%的样品缩二脲含量在15日内检测保留时间稳定且结果变化小,0.08%的样品缩二脲含量在5日内检测保留时间稳定且结果变化小[6]。可见不管是标准溶液还是车用尿素产品在制备后可放置时间长且稳定性好,检测结果稳定可靠,实验过程影响因素少。
 
  3结语
 
  通过低浓度和高浓度缩二脲标准溶液的测试,本方法在进样量为5μL时的线性范围为0.000 5~0.200 0 mg/mL,线性相关性R>0.999 2,检出浓度为0.000 2 mg/mL,最低定量浓度为0.000 5 mg/mL。通过大量车用尿素样品的反复检测以及稳定性测试表明,本方法重现性好,稳定性好,精密度高,实验过程影响因素少,实验室内变异系数低,操作简单快捷,适合车用尿素产品的大批量分析检测。
 
  参考文献:
 
  [1]SHI L J,FENG Z M.Determination of biuret content in urea by reversed-phase HPLC[J].Ningxia shiyou huagong,2005,24(1):27-28.
 
  [2]晏润寒,陈义龙,刘爱贤,等.车用尿素水溶液在机动车氮氧化物减排中的应用[J].油气田环境保护:2014,24(4):55-58.
 
  [3]国家质量监督检验检疫总局,国家标准化管理委员会.柴油发动机氮氧化物还原剂尿素水溶液(AUS 32):GB 29518—2013[S].北京:国家质量监督检验检疫总局,国家标准化管理委员会,2013.
 
  [4]孙雯,李美华,罗勇,等.液相色谱法测定车用尿素中缩二脲含量[J].广州化工:2016,44(20):82-84.
 
  [5]王硕.反相液相色谱法测定车用尿素水溶液中的缩二脲含量[J].中国石油和化工标准与质量,2021(11):45-46.
 
  [6]GROSSENBACHER H G,COOK A M,HUTTER R.Determination of biuret and urea by high-performance liquid chromatography[J].Journal of chromatography A,1985(331):161-167.

文章出自SCI论文网转载请注明出处:https://www.lunwensci.com/guanlilunwen/82564.html

相关内容

发表评论

Sci论文网 - Sci论文发表 - Sci论文修改润色 - Sci论文期刊 - Sci论文代发
Copyright © Sci论文网 版权所有 | SCI论文网手机版 | 鄂ICP备2022005580号-2 | 网站地图xml | 百度地图xml