Sci论文 - 至繁归于至简,Sci论文网。 设为首页|加入收藏
当前位置:首页 > 管理论文 > 正文

二氧化锰改性玄参根药渣生物炭制备及吸附四环素研究论文

发布时间:2025-05-19 14:12:13 文章来源:SCI论文网 我要评论














  摘要:为了解决玄参根提取后产生废渣处置能力不足问题,采用高温烧结法联合化学共沉淀法制得二氧化锰改性玄参根药渣生物炭(Mn-BC),并研究其吸附盐酸四环素(TC)的效果。采用SEM、BET对吸附前后生物炭形貌、孔隙结构进行表征。吸附结果表明,以改性比1∶10、固液比0.8 g/L、初始浓度150 mg/L、pH值为5,于308 K下吸附1 440 min时,其吸附TC量达到162.08 mg/g,经四次吸附-脱附循环后,Mn-BC对TC吸附效率为85.53%。Mn-BC吸附TC符合准一级动力学模型,说明吸附过程以物理吸附为主。Mn-BC能成功吸附TC,Mn-BC具有不规则多孔结构和较大的比表面积和孔隙,这表明Mn-BC为处理抗生素废水提供了一种新的吸附剂思路。
 
  关键词:中药渣,玄参根,生物炭,二氧化锰,盐酸四环素
 
  0引言
 
  随着我国中医药事业的迅速发展,原料药提取和生产的制药厂生产规模不断扩大,随之而来的是中药材提取后产生的药渣问题。由于中药渣含有较高的水分,容易发酵、腐败和霉烂。同时,中药渣经过化学试剂提取处理后,传统的药渣处理方法如填埋、焚烧以及在固定区域进行发酵成为有机肥,不仅造成了土地资源的极大浪费,还可能对空气和土壤造成严重污染,进而影响到生态平衡[1]。因此,亟需寻找一种中药渣消耗量大、环保节能且附加值高的资源化利用方法。近年来,以药渣[2-4]为原料,经过高温烧结制得生物活性炭作为吸附剂。这种生物活性炭具有发达的孔隙结构、特殊的微晶结构、较大的比表面积和较强的吸附能力,被广泛应用于吸附有机污染物、土壤改良以及促进作物生长等方面。研究还发现,生物炭对抗生素具有较好的吸附效果。
 
  玄参提取物或其活性物质展现出清热解毒、抗炎、抗氧化、保肝、抗肿瘤、抗疲劳、降尿酸、抗抑郁、降血压以及保护心肌细胞等多重药理活性[5],在食品和药物制剂领域具有广泛应用。然而,这一过程中也产生了大量的玄参根药渣。如何科学地回收利用这些玄参根废渣,已成为当前研究的热点。二氧化锰,作为一种具有显著吸附和氧化性能的金属氧化物,在水处理领域扮演着至关重要的角色。然而,微米级或纳米级的二氧化锰易于团聚,且在水中难以分离,这在一定程度上限制了其在水污染处理中的应用。
 
  本文以玄参根药渣在氩气保护下高温灼烧制备的生物活性炭为主要框架,通过化学共沉淀法将二氧化锰负载于玄参根生物活性炭上,成功制备了二氧化锰改性生物炭复合材料(Mn-BC)。研究不同实验条件下Mn-BC对盐酸四环素的吸附效果,并深入阐述了其吸附机理。本研究为利用廉价、简单、高效且吸附性能良好的材料制备新型吸附剂,用于抗生素的处理提供了新思路,实现了固体废弃物的资源化利用,并体现了“以废治废”的循环经济思想。
 
  1实验部分
 
  1.1实验材料
 
  盐酸四环素(TC)、氯化锰,均为AR,购于上海麦克林生化科技有限公司;盐酸、氢氧化钠、高锰酸钾,均为AR,购于成都市科隆化学品有限公司;玄参根药渣来源于广西崇左方略医药有限公司。
 
  1.2二氧化锰改性玄参根药渣生物炭制备
 
  玄参根药渣生物炭制备:玄参根废渣烘干、粉碎、过筛,取一定量玄参根药渣细粉,置于石英舟内,通氩气保护,以2℃/min升温速率,在30℃恒温75 min,升温至180℃恒温90 min,再由180℃升温至360℃,恒温40 min,最后由360℃升温至400℃,恒温120 min,自然冷却后将其取出用去离子水洗净并烘干,制得玄参根药渣生物炭(BC)。
 
  二氧化锰改性玄参根药渣生物炭制备:按照Mn2+∶MnO4-的化学计量摩尔比为3∶2,加入高锰酸钾和氯化锰。具体操作如下:分别称取一定量BC和氯化锰,加入蒸馏水溶解氯化锰,边搅拌边滴加高锰酸钾溶液,在此过程观察到棕色沉淀。静置一段时间,倒去上清液,抽滤,润洗,干燥,最终制得二氧化锰改性玄参根药渣生物炭(Mn-BC)。
 
  1.3 Mn-BC吸附性能测试
 
  将一定量Mn-BC置于25 mL一定浓度TC溶液于一定温度下振荡吸附,吸附完成后于3 500 r/min,离心5 min,倒出上清液,抽滤取溶液,定容,测其在356 nm处吸光度。
 
  根据TC溶液标准曲线y=0.030 8x+0.023 6,R2=0.999 6来计算上清液的浓度,再依据式(1)计算Mn-BC吸附量Qt。
 
\
 
  式中:Qt为吸附t时TC量(mg/g);ρ0为TC初始浓度(mg/L);ρt为吸附t时TC溶液浓度(mg/L);V为TC溶液体积(L);m为Mn-BC质量(g)。
 
  1.4 Mn-BC再生性实验
 
  将吸附TC后Mn-BC置于0.2 mol/L NaOH溶液中进行脱附,再置于pH值为5,150 mg/L TC溶液于308 K进行吸附,进行4次吸附与脱附,并计算Mn-BC吸附量。
 
  2结果与讨论
 
  2.1 Mn-BC吸附TC工艺优化结果
 
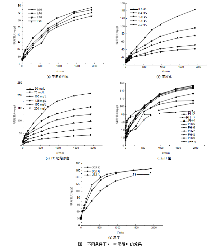
  图1(a)~图1(e)分别为不同改性比、固液比、TC初始浓度、pH值和温度在不同吸附时间Mn-BC吸附TC效果。Mn-BC吸附TC量随吸附时间增加先迅速增长后缓慢增长并趋于平衡。吸附开始,Mn-BC内部和表面有丰富空白吸附位点,利于Mn-BC吸附TC。随着吸附时间延长,Mn-BC表面吸附位点被占据,须克服较大阻力,TC才能与Mn-BC内部吸附位点结合,故Mn-BC吸附TC达到平衡,吸附量趋于稳定。
 
  如图1(a)所示,当改性比1∶40增加到1∶10,吸附1 440 min后Mn-BC吸附TC量60.22 mg/g增加到71.81 mg/g,其吸附量随着二氧化锰和活性炭改性比值增大而增多,由于二氧化锰的负载量增多,利于吸附TC分子,故以改性比1∶10进行吸附研究。
 
  如图1(b)所示,固液比0.5 g/L增加到2 g/L时,Mn-BC吸附TC量逐渐下降。因为随着Mn-BC投加量增多,提供吸附位点越多,但TC溶液浓度一定时,Mn-BC的吸附位点没有被TC分子充分利用,未达到饱和状态,故导致单位质量Mn-BC对TC溶液的吸附量减少。固液比0.8 g/L时,吸附1 440 min后Mn-BC吸附TC量为88.26 mg/g,故选择固液比0.8 g/L进行吸附研究。
 
  如图1(c)所示,TC浓度由50 mg/L增加到200 mg/L,Mn-BC吸附TC量增多,是因为随TC浓度增大,吸附剂表面与溶液间浓度差增大,致使TC溶液的传质驱动力增大,且TC溶液与Mn-BC有效碰撞概率增大,均有利于TC溶液吸附至Mn-BC表面或内部。当TC质量浓度150 mg/L时,吸附1 440 min后Mn-BC吸附TC量为145.44 mg/g,与TC浓度为200 mg/L的去除率较为接近,因为相同质量Mn-BC提供的吸附位点有限,被占据且趋于饱和,故选择TC浓度150 mg/L进行吸附研究。
 
  TC有三个电离常数,pKa值为3.3、7.7和9.7。TC的官能团形态分别为pH值<3.4时,为H4TC+;3.4<pH值<7.6时,为H3TC;7.6<pH值<9.7时,为H2TC-;当pH值>9.7时,为HTC2-[6]。由图2所示,Mn-BC pHPZC,Mn-BC的等电点位2.15,pH值<2.15时,Mn-BC表面带正电荷;pH值>2.15时,Mn-BC表面带负电荷。图1(d)所示,pH值由2增加到10,Mn-BC吸附TC量先增加后减少,是因为在较低pH值,Mn-BC与TC间以静电吸引相结合;pH值在3.3~7.6时,TC呈现电中性状态,能被Mn-BC吸附至表面或内部;但是pH值>7.6后,TC带负电荷量增加,此时Mn-BC表面含氧基团电离,负电荷密度增大,静电排斥作用增强,锰离子的水解也会削弱络合作用,导致Mn-BC吸附TC能力下降[7]。当pH值为5时,吸附1 440 min后Mn-BC吸附TC量为146.09 mg/g,故选择pH值为5进行吸附研究。

\
 
  如图1(e)所示,温度由303 K上升至313 K,Mn-BC吸附TC量随温度上升而增多,因为温度的升高促进了Mn-BC和TC分子的无规则运动,增加了TC与Mn-BC的碰撞概率。吸附960 min后,温度308 K和313K时,Mn-BC吸附TC量非常接近,且结合能耗问题,故选择温度为308 K进行吸附研究。
 
 \
 
  2.2 Mn-BC再生性研究
 
  Mn-BC经四次吸附-脱附循环,Mn-BC对TC吸附效率分别为100%、95.72%、89.33%、85.53%。经过四次吸附-脱附循环后,吸附效率仍有85.53%,说明Mn-BC具有良好的可回收利用能力,能够循环利用,故其在含抗生素废水吸附方面具有潜在应用。
 
  2.3吸附动力学模型
 
  在改性比例1∶10、固液比0.8 g/L、初始浓度150 mg/L、pH值为5、于303 K、308 K、313 K下,Mn-BC吸附TC采用准一级动力学模型(式2)和准二级动力学模型(式3)对实验数据进行拟合,拟合参数如表1所示,拟合曲线如图3所示。
 
 \
 
  式(2)和式(3)中:Q1e、Q2e分别为准一级动力学模型吸附平衡量、准二级动力学模型吸附平衡量(mg/g);Qt吸附t时刻对应的吸附量(mg/g);k1,k2分别为准一级速率常数(min-1)、准二级速率常数(g/(mg·min))。
 
  从表1的数据来看,对比在三个不同环境温度(303 K、308 K、313 K)下准一级动力学模型和准二级动力学模型对TC在Mn-BC上吸附动力学的拟合结果,可以明显观察到准一级动力学模型的R2系数(分别为0.995 1、0.998 0和0.996 8)要高于准二级动力学模型的R2系数(分别为0.966 5、0.990 0和0.995 8),表明TC在Mn-BC上的吸附过程更符合准一级动力学模型的特征,吸附过程物理吸附占主导地位。但在308 K和313 K时,准一级动力学模型的R2达到了0.990 0和0.995 8,说明该过程也涉及化学吸附,故吸附过程物理吸附和化学吸附共同进行,由物理吸附为主导,化学吸附为辅。
 
 \
 
  2.4材料的表征
 
  2.4.1 SEM结果分析
 
  图4(a)和图4(b)为玄参根废渣经高温烧结制得BC的SEM图。BC形状不规则,表面光滑且具有丰富的孔径结构;图4(c)和图4(d)为二氧化锰改性BC的SEM图。Mn-BC形状不规则,其表面和孔隙负载上颗粒状MnO2,表明MnO2作为改性剂成功且均匀地固定在BC表面,这对于保持其高比表面积和反应活性至关重要。图4(e)和图4(f)中,吸附TC后的Mn-BC表面孔隙变得不明显,是因为吸附过程中,TC分子占据了Mn-BC孔隙空间,导致孔隙被填充,从而在电镜下观察不到明显的孔结构。

\
 
  2.4.2 BET结果分析
 
  图5为吸附前后Mn-BC的N2吸附-脱附等温线以及孔径分布的变化情况。尽管吸附行为存在差异,但等温线走势相似,这说明了Mn-BC的孔隙类型在吸附过程中保持不变,而孔隙的内部结构则有所变化。两者都显示出典型的第IV类等温吸附曲线的特征。根据IUPAC分类标准可知,微孔(孔径<2 nm)是吸附的主要孔径类型;介孔(孔径2~50 nm)是吸附质分子的快速扩散通道;大孔(孔径>50 nm)允许大分子通过[8]。
 
  由图5可知,吸附前后Mn-BC的N2吸附容量随相对压力(P/P0)的增大而增大,表明在相同相对压力下,未吸附TC的Mn-BC对氮气的吸附能力较强,表明吸附前Mn-BC的孔隙结构更加丰富。活性炭是多孔材料,所以会形成滞后回环。图中P/P0=0.45,说明Mn-BC具有介孔,滞后回环产生的原因是介孔存在会导致毛细管发生凝结现象,因此使得脱附线与吸附线不重合[9]。由表2所知,吸附前Mn-BC的比表面积为18.567 5 m2/g,吸附之后变为11.232 8 m2/g,孔体积从0.043 3 cm3/g下降至0.033 0 cm3/g,均小于吸附前的。是因为吸附后TC分子均匀分散于Mn-BC的表面和内部的孔隙中,从而造成了比表面积、总孔隙体积的降低。

\
 
  3结语
 
  本文以玄参根废渣为原料,采用高温烧结法制备玄参根药渣生物活性炭,再经化学共沉淀法将二氧化锰负载到生物活性炭上,制得Mn-BC,考察改性比、固液比、TC初始浓度、pH值和温度对Mn-BC吸附TC的影响。采用SEM、BET对吸附前后生物炭形貌、孔隙结构进行表征。吸附结果表明,以改性比例1∶10,固液比0.8 g/L,初始浓度150 mg/L,pH值为5,于308 K下吸附144 0 min时,Mn-BC吸附TC量达到162.08 mg/g,经4次吸附-脱附循环后,Mn-BC对TC吸附效率为85.53%。Mn-BC吸附TC符合准一级动力学模型,说明吸附过程以物理吸附为主,化学吸附为辅。Mn-BC能成功吸附TC,Mn-BC具有不规则多孔结构和良好比表面积和孔隙,表明Mn-BC作为吸附剂在抗生素废水处理提供新思路。

\
 
  参考文献:
 
  [1]卿馨文.中药渣综合利用研究现状及展望[J].现代农业科技,2024(7):116-123.
 
  [2]吕大雷,范玮,冯宁川.黄芪废渣活性炭的制备及其对Cu2+和Cd2+的吸附特性[J].兰州理工大学学报,2019,45(1):73-77.
 
  [3]隋丽丽,伍静,王琪,等.黄芪中药渣碳化吸附剂对水中阿莫西林的吸附特性研究[J].化工管理,2023(11):122-125.
 
  [4]吴媛颖,周丹,李海霞,等.基于黄药子药渣制备微孔碳材料及其吸附氯霉素的研究[J].化学研究与应用,2023,35(1):161-167.
 
  [5]刘依茹,刘考铧,秦路平,等.中药玄参的化学成分、药理活性、炮制及临床应用的研究进展[J].中国中药杂志,2023,48(16):4302-4319.
 
  [6]JANG H M,YOO S,CHOI Y K,et al.Adsorption isotherm,kinetic modeling and mechanism of tetracycline on Pinus taeda-derived activated biochar[J].Bioresource technology,2018,259:24-31.
 
  [7]ZHU X,LIU Y,QIAN F,et al.Preparation of magnetic porous carbon from waste hydrochar by simultaneous activation and magnetization for tetracycline removal[J].Bioresource technology,2014,154:209-214.
 
  [8]梁译方.小球藻基氮磷共掺杂碳材料的制备及亚甲基蓝吸附性能研究[D].合肥:合肥工业大学,2022.
 
  [9]李传宝.炭材料载体/二氧化锰复合材料去除甲醛的研究[D].天津:天津工业大学,2016.

文章出自SCI论文网转载请注明出处:https://www.lunwensci.com/guanlilunwen/81902.html

相关内容

发表评论

Sci论文网 - Sci论文发表 - Sci论文修改润色 - Sci论文期刊 - Sci论文代发
Copyright © Sci论文网 版权所有 | SCI论文网手机版 | 鄂ICP备2022005580号-2 | 网站地图xml | 百度地图xml