Sci论文 - 至繁归于至简,Sci论文网。 设为首页|加入收藏
当前位置:首页 > 管理论文 > 正文

基于公平关注的供应链库存管理效率评价研究论文

发布时间:2024-07-09 11:23:54 文章来源:SCI论文网 我要评论














  【摘要】库存协调是供应链管理中至关重要的组成部分,有助于增强供应链的韧性和效率。为解决库存积压、供应链中断等问题,文中通过改进链接控制DEA方法,在其中嵌入Context-dependent,并基于各方利益最大化冲突引入公平关注,构建三方利益协调机制的改进三阶段DEA模型。研究结果表明,对DEA模型进行改进后,整体效率明显提高,各个决策单元(DMU)之间的差距也有所减小;同时,在加入公平关注效用之后,排序更加准确,避免了出现多个DMU效率相等的情况;针对中间库存差异较大的供应链,成功确定了有效的调整措施。

       【关键词】供应链库存管理,多主体协调,公平关注效用,链接控制DEA

     1引言
 
  在应对地缘政治冲击和各种突发公共事件带来的风险时,企业应当专业化供应链管理,保障库存充足、供应及时,以增强供应链的韧性。此外,在供应链合作中,公平关注能够增强合作伙伴间的信任和合作意愿,促进信息共享和资源协作,降低供应链中的不确定性和风险。现有供应链效率的评价方式未能全面反映库存管理的实际情况,且对于考虑公平关注的库存管理效率评价的研究较少。
 
  基于供应链协调发展理念,第三方物流管理库存模式应运而生,将库存问题转化为三级结构。因此,本研究选择加入第三方仓库的三阶段DEA模型来评价供应链的效率,以降低供应商和零售商的库存水平,缓解供应商的生产压力,同时快速响应用户需求。同时,基于各方利益最大化冲突引入协调机制和公平关注效用,打破传统以效率为主的评价方式,更加综合地考虑供应链的可持续发展及各方利益,以寻找到能够使供应链效率最大且更加公平的最佳分配方案,提高供应链运作的稳定性。
 
  目前,国内外对供应链库存管理优化的研究一直在不断深入与完善。在国际上,As'ad等[1]研究了在集中的两阶段供应链中,优化原材料采购和运输决策。Cai等[2]探讨了VMI模式下,需求不确定时如何使用替代效应和补充策略,以实现最优库存管理。Hill等[3]发现采用协同式供应链管理库存的企业能够与供应商和客户共享信息。在国内,汪小京等[4]使用系统动力学模型发现引入第三方物流可降低供应商与零售商之间的需求信息差异,减少库存量。刘睿智,谭论[5]构建了基于供应链的零售商-供应商协同库存管理模型,以研究库存协同问题,重点考虑了零售商和供应商之间的合作关系,通过共享信息、资源和风险,来优化整个供应链的库存水平和效率。此外,伏开放,周国林[6]以Nash讨价还价博弈的均衡点为参考点,构建了相对公平关切下的供应链决策模型。刘树人等[7]研究了引入公平关切系数对批发价格契约下供应链中库存和定价决策的影响。本研究在此基础上考虑公平性与协调性,研究供应链的排序,为决策者提供了在不同需求情况下的全面排序,以更有效地筛选最优的供应链,建立具体可操作的学习改进目标,提高可持续能力并有效应对危机。
 
  从库存水平管理以及评价方法来看,Cooke,Rohleder[8]构建了一种评价模型,用于计算企业实际和期望的库存水平,以确保两者接近,从而实现有效的库存控制绩效评估。Doĝru等[9]利用均衡假设构建下界解以对动态规划问题进行分解,该假设允许在分配过程中将负库存分配给零售商。谭慧敏等[10]应用系统动力学的原理和方法构建连锁超市多级库存管理系统动力学模型。贺宇[11]应用ABCD分类管理法于中药饮片库存管理,发现成效显著,能提升库存管理整体质量。刘婷[12]运用DEA法对企业库存绩效进行评价,并应用神经网络预测安全库存。韩志杰[13]应用DEA模型从库存控制、客户服务能力以及时间效率三方面对供应链下企业库存绩效评价进行了研究并提出了改进方向。综上所述,目前现有的供应链库存控制绩效评价的方法主要有ABC成本法、DEA等,为库存管理提供了一定的理论基础。本研究考虑实际供应链中的多主体库存管理模式,运用链接控制DEA方法,以期在考虑多个主体之间的关联性和协同效应的情况下评价库存绩效,使供应链库存绩效评价更具准确性和有效性。
 
  2模型构建
 
  2.1改进的链接控制DEA模型
 
  在供应链系统中,制造商的商品库存与生产计划密切相关,需满足市场需求并保持适当的库存水平。零售商需根据市场需求向供应商订购商品,同时考虑制造商产能的影响。生产企业和零售企业的库存相互影响,因此,为了达到双方相互协作的目的,基于传统的链接控制模型[14]构建两者相互协调领导的三阶段DEA模型。图1呈现了简单三阶段供应链结构。

  \
 
  具体思路为:
 
  ①在制造商—仓库阶段,最优链接值由前一个阶段确定,该链路只是在前一阶段的控制下的输出,这一情形被称为供应商管理库存(VMI),已被用于减少实际供应链系统中的牛鞭效应,避免生产过剩等问题。
 
  ②在仓库—零售商阶段,最优链接值由下一个阶段确定,链接在下一阶段的控制中起着输入的唯一作用,这种方法的优点在于其基于需求的长期预测或供应链中真实信息的支持。
 
  ③将制造商-仓库-零售商三阶段分为前后两个两阶段来观察,分别采取①和②的思路进行约束,最终得到一个基于Context-dependent的协调控制的三阶段模型。

  \
 
  具体符号定义如表1所示。基于Hassanzadeh,Mostafaee[14]的链接控制模型,建立如下三阶段模型:

 \
 
  其中,w1,w2,w3是各阶段的权重,且w1+w2+w3=1。第三和第四个约束条件分别表示库存由制造商和零售商决定,因此将分别得到两个期望中间值。如果目标函数值S0=1,则代表DMUo是整体有效的;否则,称为整体效率低下。
 
  需要注意的是,模型(1)可以使制造商和零售商各自决定最优库存,以获取整体最大效率值。然而,由于两者仅考虑自身情况来决定库存,可能导致两者期望中间值之间的矛盾,从而缺乏公平性。因此,本研究将在该模型的基础上引入公平关注效用,以鼓励子DMU参与评估过程,并保护弱势群体。
 
  2.2定义公平关注效用
 
  公平关注效用是指在资源分配和决策制定中,考虑所有利益相关者的利益和福祉,以确保决策结果对所有利益相关者是公平和公正的。关于公平关注在网络结构DEA模型中的运用,Wu等[15]做出了初步的研究。

\
 
  在供应链中,遭受不利不平等的心理感知大于遭受有利不平等的心理感知。对制造商来说,生产越多,库存越大,将会产生更多的成本,因此供大于求是处于不利不平等的状态,即β1>α1;对于零售商来说,销售量不足将导致客户流失,因此,生产量小于销售量时处于不利不平等的状态,即β2>α2。

       2.3基于公平关注的多主体协调供应链库存管理效率模型
 
  通过对改进三阶段链接控制模型的扩展,建立具有公平性的合作模式。为了同时最大化子DMU的效用,公平关注的多主体协调供应链库存管理效率模型如下:

\
 
       该模型在模型(1)的基础上引入了公平关注。其中,第五和第六个约束条件分别表示对第一个两阶段和第二个两阶段的公平关注效用。
 
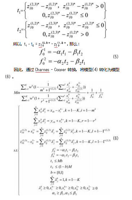
  模型(4)是一种难以直接计算的非线性规划模型,因此我们令:

\
 
\
 
       3案例研究与结果分析
 
  3.1指标体系构建与数据来源
 
  本文选取Zamzam集团的案例,通过将ZamZam伊朗制造商生产的饮料分发到当地仓库,然后再销售给零售商。从管理的角度来看,对ZamZam供应链的绩效评估是有益的,因为它有助于决策者确定所考虑的供应链的优势和待改进的方向。ZamZam集团的供应链结构为三级结构,其中包含10个DMU,每个DMU都有三个输入、两个中间产值和一个最终输出。各阶段的输入、输出和中间产品如下:
 
  工厂(第一阶段):
 
  输入(x工厂):每瓶苏打水中的糖、提取物和水
 
  中间产出(z工厂-仓库):苏打水的生产量

       仓库(第二阶段):
 
  中间产出(z仓库-零售商):苏打水的订购量

       零售商(第三阶段):
 
  最终产出(y零售商):苏打水销售量
 
  表2展示了ZamZam供应链1-10决策单元的输入、输出和中间链接值信息。

\
 
       3.2结果分析
 
  首先,本研究先将未加入公平关注改进的多主体协调链接控制DEA模型(1)与传统前一阶段领导的DEA原模型[14]进行对比,结果如表3所示。

\
 
       在原模型评价结果中,有五个DMU整体有效,效率值为1,而其余五个DMU的效率范围在(0.5,1)之间,最小效率值为0.585,呈现较大的差异。而在改进的链接控制三阶段DEA模型中,有五个DMU整体有效,三个DMU的效率接近于1,其余两个DMU的效率最小值也为0.7703。值得注意的是,在协调控制作用下,DMU5和DMU6的效率直接从0.585、0.607都提升至1,根据表3原始值可以看出,在原始模型中z2作为输出,z1作为输入,而在改进模型中,z2作为输入,y作为输出。以DMU5为例,在原始模型中,输入为10.927,输出为10.198,因此输入输出比为10.927/10.198;而在改进模型中,输入为10.198,输出为11.704,输入输出比则为10.198/11.704。显然地,改进模型中整体效率有显著提高。由此可知,改进模型提高了整体效率,减小了DMU之间的差距,这表明从制造商和零售商的角度出发进行改进后,可使得结果更加合理、公平。
 
  进一步地,加入公平关注效用约束条件后,由于内疚参数(α1,α2)和后悔参数(β1,β2)会影响整体效用,这些参数对DMU具有重要意义。然而,目前在实证应用中还没有统一的标准来确定这些参数(α1,α2,β1,β2)的值。因此,本文将讨论不同参数(α1,α2,β1,β2)对效用的影响。
 
  目标值与α1、α2、β1和β2相关,为了保证公平性,本文设置α=α1=α2、β=β1=β2,并考虑三种情况:α=0.1、β=0.2(轻微的不平等厌恶),α=1、β=1.1和α=1、β=3(极端的不平等厌恶)。因此,我们计算了不同DMU在不同情况下的效用及排序来观察DMU的变化,以帮助企业了解自身相对于同行业竞争对手的相对效率。计算结果如表4所示。

\
 
       从表4可知,加入公平关注效用后,排序更为准确,避免了出现多个DMU效率相等的情况,模型(6)不仅考虑到协作效率,同时考虑到对对方的公平性。那么,讨论两种情况,即轻微不平等厌恶和极端不平等厌恶。我们设置α=0.1、β=0.2来呈现一个轻微的不平等厌恶的情况,这意味着子DMU几乎不关心不平等。从第五列的排名中可以看出,引入公平关注后,DMU5、DMU6、DMU8的排序明显下降,这是因为公平关注与期望链接值密切相关,当期望链接值相差很小时,公平关注效用就会越大(表5),从原始数值中可以观察到,z1、z2差距本就不大,经过协调作用后,差距将进一步缩小,导致公平关注效用变大,那么总效用就会越小。相反,在极端不平等厌恶的情况下(我们设置α=1、β=3),子DMU将尽可能降低它们的负效用(f1和f2),那么总效用将会增加。

\
 
  3.3公平关注下的最优链接值
 
  通过四个参数的变化,得到的两个期望链接值也相应地发生变化,加入不同公平关注参数后的中间产值与原始值对比如表6所示。

\
 
  通过结果可以看出,当α=0.1、β=0.2时,各链接值几乎保持不变,这表明对不平等厌恶关注度低,那么很大可能保持原有的结果;当α=1、β=1.1时,对不平等厌恶的关注度一般,DMU2、DMU5、DMU7、DMU9、DMU10的值发生了变化,并往z(1,2)和z(2,3)靠近的方向调整,从而缩小两者之间的差距,减少制造商理想供货量和零售商理想订购量之间的差距。例如DMU5,z(1,2)和z(2,3)的值从10.937、10.198都变为10.198,保持一致;当α=1、β=3时,对不公平厌恶的关注度较高,此时DMU2、DMU5、DMU7、DMU9、DMU10的z值相对于原数据也发生了变化,且DMU7相对于α=1、β=1.1时,z(1,2)值从5.170增加到8.068,z(1,2)、z(2,3)的差值进一步减小。这一规律也反映了对不公平关注度越大,系统将会做出更大程度的调整,以提高双方的满意度。因此,该结果表明,引入公平关注后的模型更符合实际,更满足协调性。
 
  4结论与展望
 
  对企业而言,库存管理是一项重要的经营内容,合理评估公司内部各项物料的库存水平,有助于控制成本并满足用户需求,是促进内部协调和企业发展的关键环节,因此,库存管理的协调尤其重要。因此,本文将DEA模型与供应链绩效评价相结合,基于供应链整体绩效的视角,从投入与产出方面评价三阶段供应链在协调机制与公平关注下的效用以及效率值,旨在寻找能够使供应链效率最大且更加公平的最佳分配方案,提高供应链运作的稳定性。
 
  评价供应链需考虑效率最大化、协调性与公平性原则,该研究的公平结果仅出现在前后两个期望链接值相同时。此外也需考虑不同的场景,比如通常情况下供应量不等于需求量,因此需要考虑安全库存的问题,并进一步探讨其随着库存量变化时的结果。

      [参考文献]
 
  [1]As'ad R,Hariga M,Alkhatib O.Two stage closed loop supply chain models under consignment stock agreement and different procurement strategies[J].Applied Mathematical Modelling,2019,65:164-186.
 
  [2]Cai J,Tadikamalla P R,Shang J,et al.Optimal inventory decisions under vendor managed inventory:Substitution effects and replenishment tactics[J].Applied Mathematical Modelling,2017,43:611-629.
 
  [3]Hill C A,Zhang G P,Miller K E.Collaborative planning,forecasting,and replenishment&firm performance:An Empirical evaluation[J].International Journal of Production economics,2018,196:12-23.
 
  [4]汪小京,刘志学,徐娟.基于系统动力学的第三方物流管理库存模型[J].系统管理学报,2016,25(2):317-325.
 
  [5] 刘睿智,谭论.基于供应链的零售商 -供应商协同管理库存策略[J].武汉科技学院学报,2005,18(3):54-56.
 
  [6]伏开放,周国林.相对公平关切下学习行为对供应链库存策略的影响[J].物流科技,2019,42(11):124-128.
 
  [7]刘树人,黄颖娜,陈丽丽.公平关切下的供应链库存与定价决策[J].中国管理科学,2013,21(S2):474-479.
 
  [8]Cooke D L,Rohleder T R.Inventory evaluation and product slate management in large-scale continuous process industries[J].Journal of Operations Management,2006,24(3):235-249.

       [9]Mustafa-K Doĝru,De Kok A-G,van Houtum Geert-Jan.A numerical study on the effect of the balance assumption in one-warehouse multi-retailer inventory systems[J].Flexible Services and Manufacturing Journal,2009,21(3-4):114-147.

       [10]谭慧敏,白桦,闫星臣,等.基于系统动力学的连锁超市多级库存优化研究[J].物流工程与管理,2022,44(02):36-39.
 
  [11]贺宇.ABCD分类管理法在提高中药饮片库存周转率中的作用[J].中医药管理杂志,2021,29(24):96-97.
 
  [12]刘婷.基于神经网络和数据包络分析方法的安全库存预测及评价研究[D].重庆:重庆交通大学,2008.
 
  [13]韩志杰.基于DEA的供应链库存控制绩效评价方法及应用研究[D].天津:河北工业大学,2010.
 
  [14]Amir Hassanzadeh,Amin Mostafaee.Measuring the efficiency of network structures:Link control approach[J].Computers&Industrial Engineering,2019,128:437-446.

       [15]Wu J,Xu G,Zhu Q,et al.Two-stage DEA models with fairness concern:Modelling and computational aspects[J].Omega,2021,105:102521.
 
  [16]Bolton GE,Ockenfels A.ERC:A theory of equity,reciprocity,and competition[J].The American Economics Review,2000,90(1):166-193.
 
  [17]Fehr E,Schmidt KM.A theory of fairness,competition,and cooperation[J].The Quarterly Journal of Economics,1999,114(3):817-168.
 
  [18]Cui TH,Raju JS,Zhang ZJ.Fairness and channel coordination[J].Managernent Science,2007,53(8):1303-1314.

       [19]Blanco M,Engelmann D,Normann H T.A within-subjectanalysis of other-regarding preferences[J].Games andEconomic Behavior,2011,72(2):321-338.

文章出自SCI论文网转载请注明出处:https://www.lunwensci.com/guanlilunwen/77998.html

相关内容

发表评论

Sci论文网 - Sci论文发表 - Sci论文修改润色 - Sci论文期刊 - Sci论文代发
Copyright © Sci论文网 版权所有 | SCI论文网手机版 | 鄂ICP备2022005580号-2 | 网站地图xml | 百度地图xml